CBSE Class 12 Mathematics Sample Paper Set 01 Solved

Read and download the CBSE Class 12 Mathematics Sample Paper Set 01 Solved, designed by expert teachers according to the latest 2026-27 curriculum and examination pattern issued by CBSE, NCERT, and KVS. These Class 12 Mathematics sample papers include detailed step-by-step solutions, helping students to practice and evaluate their performance against the most recent marking schemes.

Solved Sample Paper for Class 12 Mathematics PDF

Our Class 12 Mathematics model papers are important for understanding the weightage of different chapters and the difficulty level of expected questions. By solving these guess papers Class 12 students can identify weak areas and improve time management. We also suggest referring to our Class 12 Mathematics Question Papers of previous years to further strengthen your exam preparation.

Class 12 Mathematics Sample Paper with Solutions

 

 

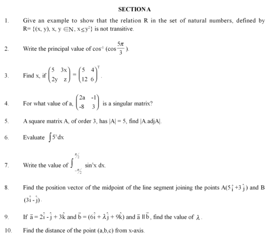
CBSE Class 12 Mathematics Sample Paper Solved Set A

 

Please refer to attached file for CBSE Class 12 Mathematics Sample Paper Solved Set A

How to download CBSE Class 12 Mathematics Sample Paper Set 01 Solved in PDF?

Students can easily download the CBSE Class 12 Mathematics Sample Paper Set 01 Solved from our website to prepare for their upcoming examinations. To score high marks, it is important for Class 12 students to understand the exaact pattern as per which teachers design the question papers. We strongly suggest that you practice these latest sample papers for Mathematics and solve different types of questions that are expected to come this year. You can downloadin PDF format so that you can practice offline. We also recommend that Class 12 students solve these papers actual exam conditions at home.

Why should you solve CBSE Class 12 Mathematics Sample Paper Set 01 Solved?

Practicing these model papers has several benefits for Class 12 students:

  • New Question Bank: This set has fresh questions for Mathematics which are different from previous years.
  • Exam Pattern Knowledge: Solving more sets will help you to understand the weightage of each chapter in Class 12 and also the type of questions asked.
  • Identify Weak Areas: Comparing your score in each set to find out topics in Class 12 Mathematics for which you need hard work.
  • Speed and Accuracy: Attempting MCQ questions and long-form problems for Class 12 Mathematics makes you faster and better and you will be able to finish your exam on time.

What should you do after solving CBSE Class 12 Mathematics Sample Paper Set 01 Solved?

  1. Check Your Work: Match your answers with the solutions given by our teachers in the Mathematics Sample Paper PDF.
  2. Learn from Mistakes: Class 12 students should focus on the questions which you solved incorrectly and understand the error.
  3. Revision: If you find a question difficult you shoul refer to NCERT book for Class 12 Mathematics to understand concepts and then try the question again.
  4. Continuous Practice: Solve multiple sets of Mathematics sample papers from studiestoday.com to build confidence before the CBSE exams.

FAQs

Where can I download the PDF for CBSE Class 12 Mathematics Sample Paper Set 01 Solved?

You can download the complete PDF for CBSE Class 12 Mathematics Sample Paper Set 01 Solved for free from StudiesToday.com. Our resources for Class 12 Mathematics are updated for the latest academic session and follow the official exam pattern.

Are solutions provided for CBSE Class 12 Mathematics Sample Paper Set 01 Solved?

Yes, CBSE Class 12 Mathematics Sample Paper Set 01 Solved comes with detailed, teacher-verified solutions. We have provided step-by-step answers for Mathematics to help students of Class 12 understand correct methodology and marking scheme.

How can practicing CBSE Class 12 Mathematics Sample Paper Set 01 Solved help in exam preparation?

Practicing this Mathematics paper helps in time management and identifying important topics. For Class 12, solving mock papers is the best way to gain confidence and reduce exam-day anxiety.

Is the CBSE Class 12 Mathematics Sample Paper Set 01 Solved accessible on mobile and tablets?

Yes, all our study materials for Class 12 Mathematics are provided in a mobile-friendly PDF format. You can easily download CBSE Class 12 Mathematics Sample Paper Set 01 Solved on your mobile device.