NCERT Solutions Class 9 Mathematics Chapter 1 Number Systems

Get the most accurate NCERT Solutions for Class 9 Mathematics Chapter 1 Number Systems here. Updated for the 2026-27 academic session, these solutions are based on the latest NCERT textbooks for Class 9 Mathematics. Our expert-created answers for Class 9 Mathematics are available for free download in PDF format.

Detailed Chapter 1 Number Systems NCERT Solutions for Class 9 Mathematics

For Class 9 students, solving NCERT textbook questions is the most effective way to build a strong conceptual foundation. Our Class 9 Mathematics solutions follow a detailed, step-by-step approach to ensure you understand the logic behind every answer. Practicing these Chapter 1 Number Systems solutions will improve your exam performance.

Class 9 Mathematics Chapter 1 Number Systems NCERT Solutions PDF

Exercise 1.1

Q.1) Is zero a rational number? Can you write it in the form 𝑝/𝑞, where p and q are integers and 𝑞 ≠ 0 ?
Sol.1) Yes 0 is a rational number because it can be written in form of 0/1, 0/2.......... 𝑎/0 and so on And according to definition of rational number which can be expressed in term form of 𝑝/𝑞 when q is non zero integer and p is a integer . And here 0 is an integer and 1,2 .. are nonzero integers.
Hence, 0 is a rational number

Q.2) Find six rational numbers between 3 and 4.
Sol.2) There are infinite rational numbers in between 3 and 4. 3 and 4 can be represented as
24/8 and 32/8 respectively. Therefore, six rational numbers between 3 and 4 are 25/8, 26/8, 27/8, 28/8, 29/8, 30/8 

Q.3) Find five rational numbers between 3/5 and 4/5.
Sol.3) There are infinite rational numbers in between 3/5 and 4/5
3/5 = 3×6/5×6 = 18/30 
4/5 = 4×6/5×6 = 24/30
Therefore, five rational numbers between
3/5 and 4/5 are 19/30, 20/30, 21/30, 22/30, 23/30

Q.4) State whether the following statements are true or false. Give reasons for your answers.
(i) Every natural number is a whole number.
(ii) Every integer is a whole number.
(iii) Every rational number is a whole number.
Sol.4) (i) Every natural number is a whole number.
True, since the collection of whole numbers contains all natural numbers & in addition zero.
(ii) Every integer is a whole number.
False, negative integers are not whole number.
(iii) Every rational number is a whole number.
False, numbers such as 2/3, 3/4, −3/5 etc., are rational numbers but not whole numbers.

Exercise 1.2

Q.1) State whether the following statements are true or false. Justify your answers
(i) Every irrational number is a real number.
(ii) Every point on the number line is of the form √𝑚, where 𝑚 is a natural number.
(iii) Every real number is an irrational number
Sol.1) (i) True,
since the collection of real numbers is made up of rational and irrational numbers.
(ii) False,
since positive number cannot be expressed as square roots.
(iii) False,
as real numbers include both rational and

Q.2) Are the square roots of all positive integers irrational? If not, give an example of the square root of a number that is a rational number
Sol.2) No, the square roots of all positive integers are not irrational. For example √4 = 2 which is a rational number.

Q.3) Show how √5 can be represented on the number line.
Sol.3) Step 1: Let AB be a line of length 2 unit on number line.
Step 2: At B, draw a perpendicular line BC of length 1 unit. Join CA.
Step 3: Now, ABC is a right angled triangle.
Applying Pythagoras theorem,
𝐴𝐵2 + 𝐵𝐶2 = 𝐶𝐴2
⇒ 22 + 12 = 𝐶𝐴2
⇒ 𝐶𝐴2 = 5
⇒ 𝐶𝐴2 = √5
Thus, 𝐶𝐴 is a line of length √5 unit.
Step 4: Taking CA as a radius and A as a centre draw an arc touching the number line.
The point at which number line get intersected by arc is at √5 distance from 0 because it is a radius of the circle whose centre was A.
Thus, √5 is represented on the number line as shown in the figure:

""NCERT-Solutions-Class-9-Mathematics-Chapter-1-Number-Systems

Exercise 1.3

Q.1) Write the following in decimal form and say what kind of decimal expansion each has:
i) 36/100
ii) 1/11
iii) 4(1/8)
iv) 3/13
v) 2/11
vi) 329/400

""NCERT-Solutions-Class-9-Mathematics-Chapter-1-Number-Systems-1

""NCERT-Solutions-Class-9-Mathematics-Chapter-1-Number-Systems-2

""NCERT-Solutions-Class-9-Mathematics-Chapter-1-Number-Systems-3

Q.3) Express the following in the form 𝑝/𝑞, where p and q are integers and 𝑞 ≠ 0.

""NCERT-Solutions-Class-9-Mathematics-Chapter-1-Number-Systems-4

Sol.3) (i) 0.6 = 0.666...
Let 𝑥 = 0.666. . .
10𝑥 = 6.666. . .
10𝑥 = 6 + 𝑥
9𝑥 = 6
𝑥 = 2/3

(ii) 0.47 = 0.4777. . .
= 4/10 + 0.777/10
𝐿𝑒𝑡 𝑥 = 0.777 …
10𝑥 = 7.777 …
10𝑥 = 7 + 𝑥
𝑥 = 7/9
4/10 + 0.777/10
= 4/10 + 7/90
= 36/90 + 7/90
= 43/90

(iii) 0.001 = 0.001001. ..
Let 𝑥 = 0.001001 …
1000𝑥 = 1.001001 …
1000𝑥 = 1 + 𝑥
999𝑥 = 1
𝑥 = 1/999

Q.4) Express 0.99999…in the form p/q. Are you surprised by your answer? With your teacher and classmates discuss why the answer makes sense.
Sol.4) Let x = 0.9999 …
10x = 9.9999 …
10x = 9 + x
9x = 9
x = 1
The difference between 1 and 0.999999 is 0.000001 which is negligible. Thus, 0.999 is too much near 1, Therefore, the 1 as answer can be justified.

Q.5) What can the maximum number of digits be in the repeating block of digits in the decimal expansion of 1/17 ? Perform the division to check your answer.
Sol.5) 1/17 = 0.0588235294117647
There are 16 digits in the repeating block of the decimal expansion of 1/17.
Division Check:

""NCERT-Solutions-Class-9-Mathematics-Chapter-1-Number-Systems-5

= 0.0588235294117647

Q.6) Look at several examples of rational numbers in the form p/q (q ≠ 0) where p and q are integers with no common factors other than 1 and having terminating decimal representations (expansions). Can you guess what property q must satisfy?
Sol.6) We observe that when 𝑞 is 2, 4, 5, 8, 10 … then the decimal expansion is terminating. For
example:
1/2 = 0.5, denominator q = 21
7/8 = 0.875, denominator q = 23
4/5 = 0.8, denominator q = 51
We can observed that terminating decimal may be obtained in the situation where prime factorisation of the denominator of the given fractions has the power of 2 only or 5 only or both.

Q.7) Write three numbers whose decimal expansions are non-terminating non-recurring
Sol.7) Three numbers whose decimal expansions are non-terminating non-recurring are:
0.303003000300003 …
0.505005000500005 …
0.7207200720007200007200000 …

Q.8) Find three different irrational numbers between the rational numbers 5/7 and 9/11.
Sol.8) 5/7 = 0.714285
9/11 = 0.81
Three different irrational numbers are:
0.73073007300073000073 …
0.75075007300075000075 …
0.76076007600076000076 …

Q.9) Classify the following numbers as rational or irrational:
(i) √23 (ii) √225 (iii) 0.3796 (iv) 7.478478
(v) 1.101001000100001 …
Sol.9) (i) √23 = 4.79583152331 …
Since the number is non-terminating non-recurring therefore, it is an irrational number.
(ii) √225 = 15 = 15/1
Since the number is rational number as it can represented in p/q form.
(iii) 0.3796
Since the number is terminating therefore, it is a rational number.
(iv) 7.478478 = 7.478
Since this number is non-terminating recurring, therefore, it is a rational number.
(v) 1.101001000100001 …
Since the number is non-terminating non-repeating, therefore, it is an irrational number.

Exercise 1.4

Q.1) Visualise 3.765 on the number line using successive magnification.
Sol.1)
 We know that the number 3.765 will lie between 3.764 and 3.766.
We know that the numbers 3.764 and 3.766 will lie between 3.76 and 3.77.
We know that the numbers 3.76 and 3.77 will lie between 3.7 and 3.8.
We know that the numbers 3.7 and 3.8 will lie between 3 and 4.
Therefore, we can conclude that we need to use the successive magnification, after locating numbers 3 and 4 on the number line.

""NCERT-Solutions-Class-9-Mathematics-Chapter-1-Number-Systems-13

Q.2) Visualise 4.26 on the number line, up to 4 decimal places.
Sol.2) We know that the number 4. ̅2̅6̅̅ can also be written as 4.262.
We know that the number will lie between 4.261 and 4.263.
We know that the numbers 4.261 and 4.263 will lie between 4.26 and 4.27.
We know that the numbers 4.26 and 4.27 will lie between 4.2 and 4.3.
We know that the numbers 4.2 and 4.3 will lie between 4 and 5.
Therefore, we can conclude that we need to use the successive magnification, after locating numbers 4 and 5 on the number line.
4.26 = 4.2626

""NCERT-Solutions-Class-9-Mathematics-Chapter-1-Number-Systems-14

Exercise 1.5

Q.1) Classify the following numbers as rational or irrational:
(i) 2 – √5 (ii) (3 + √23)– √23 (iii) 2√7/7√7
(iv) 1/√2 (v) 2𝜋
Sol.1)
(i) 2 – √5 = 2 – 2.2360679 … = – 0.2360679 …
Since the number is non-terminating non-recurring therefore, it is an irrational number.

""NCERT-Solutions-Class-9-Mathematics-Chapter-1-Number-Systems-15

Since the number is rational number as it can represented in p/q form.
(iv) 1/√2 = √2/2 = 0.7071067811 …
Since the number is is non-terminating non-recurring therefore, it is an irrational number.
(v) 2𝜋 = 2 × 3.1415 … = 6.2830 …
Since the number is is non-terminating non-recurring therefore, it is an irrational number.

Q.2) Simplify each of the following expressions:
(i) (3 + √3)(2 + √2) (ii) (3 + √3)(3 – √3) (iii) (√5 + √2)2
(iv) (√5 – √2) (√5 + √2)
Sol.2) (i) (3 + √3) (2 + √2)
⇒ 3 × 2 + 2 + √3 + 3√2 + √3 × √2
⇒ 6 + 2√3 + 3√2 + √6

(ii) (3 + √3) (3 – √3)                 [∵ (a + b) (a – b) = a2– b2]]
⇒ 32 – (√3)2
⇒ 9 – 3
⇒ 6

(iii) (√5 + √2)2
[∵ (a + b)2
= a2 + b2 + 2ab]
⇒ (√5)2
+ (√2)2
+ 2 × √5 × √2
⇒ 5 + 2 + 2 × √5 × 2
⇒ 7 + 2√10

(iv) (√5 – √2) (√5 + √2)                 [∵ (a + b) (a – b) = a2 − b2]
⇒ (√5)2
− (√2)2
⇒ 5 – 2
⇒ 3

Q.3) Recall, 𝜋 is defined as the ratio of the circumference (say c) of a circle to its diameter (say d). That is, 𝜋 = 𝑐/𝑑. This seems to contradict the fact that 𝜋 is irrational. How will you resolve this contradiction?
Sol.3) There is no contradiction. When we measure a value with a scale, we only obtain an approximate value. We never obtain an exact value. Therefore, we may not realise that either c or d is irrational. The value of π is almost equal to 22/7 or 3.142857 …

Q.4) Represent √9.3 on the number line.
Sol.4) Step 1: Draw a line segment of unit 9.3. Extend it to C so that BC is of 1 𝑢𝑛𝑖𝑡.
Step 2: Now, 𝐴𝐶 = 10.3 𝑢𝑛𝑖𝑡𝑠. Find the centre of AC and name it as O.
Step 3: Draw a semi-circle with radius OC and centre O.
Step 4: Draw a perpendicular line BD to AC at point B which intersect the semicircle at D.
Also, Join OD.
Step 5: Now, OBD is a right angled triangle.

""NCERT-Solutions-Class-9-Mathematics-Chapter-1-Number-Systems-12

⇒ 𝐵𝐷2 = 9.3
⇒ 𝐵𝐷2 = √9.3
Thus, the length of BD is √9.3.
Step 6: Taking BD as radius and B as centre draw an arc which touches the line segment.
The point where it touches the line segment is at a distance of √9.3 from O as shown in the figure.

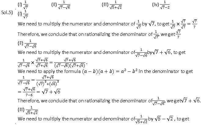
Q.5) Rationalise the denominators of the following:

""NCERT-Solutions-Class-9-Mathematics-Chapter-1-Number-Systems-11

""NCERT-Solutions-Class-9-Mathematics-Chapter-1-Number-Systems-10

""NCERT-Solutions-Class-9-Mathematics-Chapter-1-Number-Systems-6

""NCERT-Solutions-Class-9-Mathematics-Chapter-1-Number-Systems-9

""NCERT-Solutions-Class-9-Mathematics-Chapter-1-Number-Systems-8

""NCERT-Solutions-Class-9-Mathematics-Chapter-1-Number-Systems-7

NCERT Solutions Class 9 Mathematics Chapter 1 Number Systems

Students can now access the NCERT Solutions for Chapter 1 Number Systems prepared by teachers on our website. These solutions cover all questions in exercise in your Class 9 Mathematics textbook. Each answer is updated based on the current academic session as per the latest NCERT syllabus.

Detailed Explanations for Chapter 1 Number Systems

Our expert teachers have provided step-by-step explanations for all the difficult questions in the Class 9 Mathematics chapter. Along with the final answers, we have also explained the concept behind it to help you build stronger understanding of each topic. This will be really helpful for Class 9 students who want to understand both theoretical and practical questions. By studying these NCERT Questions and Answers your basic concepts will improve a lot.

Benefits of using Mathematics Class 9 Solved Papers

Using our Mathematics solutions regularly students will be able to improve their logical thinking and problem-solving speed. These Class 9 solutions are a guide for self-study and homework assistance. Along with the chapter-wise solutions, you should also refer to our Revision Notes and Sample Papers for Chapter 1 Number Systems to get a complete preparation experience.

Where can I find the latest [current-page:node:field_title] for the 2026-27 session?

The complete and updated is available for free on StudiesToday.com. These solutions for Class 9 Mathematics are as per latest NCERT curriculum.

Are the Mathematics NCERT solutions for Class 9 updated for the new 50% competency-based exam pattern?

Yes, our experts have revised the as per 2026 exam pattern. All textbook exercises have been solved and have added explanation about how the Mathematics concepts are applied in case-study and assertion-reasoning questions.

How do these Class 9 NCERT solutions help in scoring 90% plus marks?

Toppers recommend using NCERT language because NCERT marking schemes are strictly based on textbook definitions. Our will help students to get full marks in the theory paper.

Do you offer [current-page:node:field_title] in multiple languages like Hindi and English?

Yes, we provide bilingual support for Class 9 Mathematics. You can access in both English and Hindi medium.

Is it possible to download the Mathematics NCERT solutions for Class 9 as a PDF?

Yes, you can download the entire in printable PDF format for offline study on any device.