CBSE Class 11 Physics Units Dimensions Vectors Solved Examples

Read and download the CBSE Class 11 Physics Units Dimensions Vectors Solved Examples. Designed for 2026-27, this advanced study material provides Class 11 Physics students with detailed revision notes, sure-shot questions, and detailed answers. Prepared by expert teachers and they follow the latest CBSE, NCERT, and KVS guidelines to ensure you get best scores.

Advanced Study Material for Class 11 Physics Chapter 1 Units and Measurement

To achieve a high score in Physics, students must go beyond standard textbooks. This Class 11 Chapter 1 Units and Measurement study material includes conceptual summaries and solved practice questions to improve you understanding.

Class 11 Physics Chapter 1 Units and Measurement Notes and Questions

Ex.1. If A = 4i – 3j and B = 6i + 8j, find the scalar magnitude and direction of A, B, A + B, A – B and B – A with respect to positive direction of x-axis.

class_12_physics_useful_0227

class_12_physics_useful_0228

Ex.2. If vectors A = 3i + j – 2k, B = –i + 3j + 4k and C = 4i –2j –6k can be represented by the sides of a triangle, find the two vectors which will give the third vector as a resultant.
Sol.: If any one of these two vectors are added, their resultant should be equal to the third vector as their resultant.
A + B = (3i + j – 2k) + (–i + 3j + 4k) = 2i + 4j + 2k ≠ C
A + C = (3i + j – 2k) + (4i –2j –6k) = (7i – j – 8k) ≠ B
B + C = (–i + 3j + 4k) + (4i –2j –6k) = (3i + j –2k) = A

vectors B and C combine to give resultant A

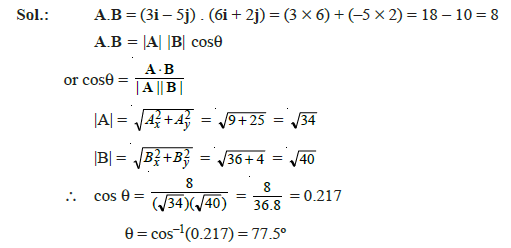
Ex.3 Find the scalar product and angle between vectors A = 3i – 5j and B = 6i + 2j

class_12_physics_useful_0229

Ex.4 A partical moves from the position 2i + 3j – 5k to position 12i + 15j + 8k in metre units and a uniform force 5i + 2j + 3k , Newton acts on it. Calculate the work done by this force.
Sol.: If F is force applied to displace a particle through distance S, work W is given by
W = F . S
S = r2 – r1 = (12i + 15j + 8k) – (2i + 3j – 5k) = 10i + 12j + 13k
W = (5i + 2j + 3k) . (10i + 12j + 13k) = 50 + 24 + 39 = 113 J

Ex.5 If a force F = 4i – 10j Newton is applied to the rim of a disc at a distance or r = –5i – 4j from its axis of rotation, find the torque applied.

class_12_physics_useful_0230

Ex.6: A plane is flying with speed 700 km/h in north-eastern direction and wind is blowing at 100 km/h north to south. Find the resultant displacement of plane in 2hours.
Sol.: Let v1 be velocity of plane in north eastern direction & v2 be velocity of wind from north to south and
i and j be unit vectors in east and north direction.

class_12_physics_useful_0231

CBSE Class 11 Physics Chapter 1 Units and Measurement Study Material

Students can find all the important study material for Chapter 1 Units and Measurement on this page. This collection includes detailed notes, Mind Maps for quick revision, and Sure Shot Questions that will come in your CBSE exams. This material has been strictly prepared on the latest 2026 syllabus for Class 11 Physics. Our expert teachers always suggest you to use these tools daily to make your learning easier and faster.

Chapter 1 Units and Measurement Expert Notes & Solved Exam Questions

Our teachers have used the latest official NCERT book for Class 11 Physics to prepare these study material. We have included previous year examination questions and also step-by-step solutions to help you understand the marking scheme too. After reading the above chapter notes and solved questions also solve the practice problems and then compare your work with our NCERT solutions for Class 11 Physics.

Complete Revision for Physics

To get the best marks in your Class 11 exams you should use Physics Sample Papers along with these chapter notes. Daily practicing with our online MCQ Tests for Chapter 1 Units and Measurement will also help you improve your speed and accuracy. All the study material provided on studiestoday.com is free and updated regularly to help Class 11 students stay ahead in their studies and feel confident during their school tests.

What is included in the advanced study material for Class 11 Physics Chapter Chapter 1 Units and Measurement?

Our advanced study package for Chapter Chapter 1 Units and Measurement includes detailed concepts, diagrams, Mind Maps, and explanation of complex topics to ensure Class 11 students learn as per syllabus for 2026 exams.

How do Mind Maps for Physics Chapter Chapter 1 Units and Measurement help in revision?

The Mind Maps provided for Chapter Chapter 1 Units and Measurement act as visual anchors which will help faster recall during high-pressure exams.

Are these Physics resources suitable for both classroom teaching and self-study?

Yes, teachers use our Class 11 Physics resources for lesson planning as they are in simple language and have lot of solved examples.

Is this advanced study material for Chapter Chapter 1 Units and Measurement free to download in PDF?

Yes, You can download the complete, mobile-friendly PDF of the Physics Chapter Chapter 1 Units and Measurement advanced resources for free.

Does this material cover rationalized content for the 2026-27 CBSE session?

Yes, our subject matter experts have updated the Chapter Chapter 1 Units and Measurement material to align with the rationalized NCERT textbooks and have removed deleted topics and added new competency-based questions.