CBSE Class 12 Physics VBQs Electromagnetic Induction

Read and download the CBSE Class 12 Physics VBQs Electromagnetic Induction. Designed for the 2026-27 academic year, these Value Based Questions (VBQs) are important for Class 12 Physics students to understand moral reasoning and life skills. Our expert teachers have created these chapter-wise resources to align with the latest CBSE, NCERT, and KVS examination patterns.

VBQ for Class 12 Physics Chapter 6 Electromagnetic Induction

For Class 12 students, Value Based Questions for Chapter 6 Electromagnetic Induction help to apply textbook concepts to real-world application. These competency-based questions with detailed answers help in scoring high marks in Class 12 while building a strong ethical foundation.

Chapter 6 Electromagnetic Induction Class 12 Physics VBQ Questions with Answers

Electromagnetic Induction

VALUE BASED QUESTIONS

ONE MARK QUESTIONS

Question. Predict the direction of induced current in a metal ring when the ring is moved towards a straight conductor with a constant speed v. The conductor is carrying a current I in the direction shown in the figure.
Answer : Clock wise

Question. Mention two characteristics properties of the material suitable for making core of a transformer.
Predict the directions of induced currents in metal rings 1 and 2 lying in the same plane where current I in the wire is increasing steadly.
Answer : Low coercivity and low retentivity

Question. Predict the directions of induced currents in metal rings 1 and 2 lying in the same plane where current I in the wire is increasing steadly.
Answer : Clockwise in ring 1 and anticlockwise in ring2

Question. On what factors does the magnitude of the emf induced in the circuit due to magnetic flux depend?
Answer : Rate of flux, area and orientation.

TWO MARKS QUESTIONS

Question. For a given ac, i= i_m sin⁡ωt, show that the average power dissipated in a resistor R over a complete cycle is 1/2 i_m^2 R.
Answer : Derivation. For resistive circuit
P_av=E_v I_v cosφ or 1/2 i_m^2 R

Question. Given the input current 15 A and the input voltage of 100 V for a step-up transformer having 90% efficiency, Find the output power and the voltage in the secondary if the output current is 3 A.
Answer : 

CBSE Class 12 Physics VBQs Electromagnetic Induction_1

Question. A rectangular coil of area A, having number of turns N is rotated at 'f' revolutions per second in a uniform magnetic field B, the field being perpendicular to the coil. Prove that the maximum emf induced in the coil is 2πf NBA.
Answer :  E=-dφ/dt=NBAω sin⁡ωt or E_max= NBAω=NBA2πf

THREE MARKS QUESTIONS

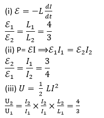
Question. The current flowing in the two coils of self inductance L_1=16mH and L_2=12mH are increasing at the same rate. If the power supplied to the two coils are equal, find the ratio of (i) induced voltage, (ii) the currents and (iii) the energies stored in the two coils at a given instant.
Answer : 

CBSE Class 12 Physics VBQs Electromagnetic Induction_2

Question. An inductor of reactance X_L is connected in series with a bulb B to an ac source. Explain briefly how does the brightness of the bulb change when (i) number of turns of the inductor is reduced and (ii) a capacitance of reactance X_C=X_L is included in the circuit.
Answer : (i) When number of turns in the inductor is reduced
L decreases, z reduces and I increases so brightness increases.
(ii) Brightness decreases
(iii) Brightness increases

Question. (i) An ac source is connected to an ideal inductor show that the average power supplied by the source over a complete cycle is zero.
(ii) A lamp is connected in series with an inductor and an ac source. What happens to the brightness of the lamp when the key is plugged in and an iron rod is inserted inside the conductor? Explain.
Answer :  (i) For inductive circuit average power is zero.
(ii) Brightness decreases

Question. (i) An ac source is connected to an ideal capacitor show that the average power supplied by the source over a complete cycle is zero.
(ii) A bulb is connected in series with a capacitor and an ac source. What happens to the brightness of the bulb when the key is plugged in and capacitance of capacitor is gradually reduced? Explain.
Answer : (i) For capacitive circuit average power is zero.
(ii) Brightness decreases
Xc = 1/ωC
As C decreases, Z increases so brightness decreases

Question. A capacitor of unknown capacitance, a resistor of 100Ω and an inductor of self inductance L= 4/π^(2 ) henery are connected in series to an ac source of 200 V and 50 Hz. Calculate the value of the capacitance and impedance of the circuit when the current is in phase with the voltage. Calculate the power dissipated in the circuit.
Answer :  C=1/(Lω2 )=2.5 ×10-5 F
Z=R=100Ω and power= 400 watt

Question 1. Nita switched on the radio set to listen to her favorite music but found the reception was not clear. Also there was overlapping of signals. So she adjusted the tuner in the set till she heard the music clear.
a) What are the components of tuning circuit in a radio?
b) Name the phenomenon involved here?
c) What value can be associated with this?

Answer: 

(a) By adjusting the tuner, she would have changed the capacitance value and adjusted the frequency.

(b) Resonance. 

(c) Harmony. By being in harmony with nature, life would be beautiful and easy for the future generation.


Question 2. Monica had come from Singapore on a holiday to her grandmother’s place. She had heard a lot about Tirupathi temple and so she went to Tirupathi with her grandmother. She walked through a metal detector and heard a beep sound as she walked through it. When she went back to Singapore she asked her father about the metal detector and its working. Her father explained the working in detail and also the need for installing metal detectors in places where people visited in huge numbers.
a) Name the components present in the detector.
b) What is the phenomenon involved?
c) What value can be attached with this?

Answer: 

(a) An inductor and a capacitor.

(b) Resonance.

(c) Concern for social security.


Question 3. Subhash wanted to see the work of a transformer. He bought a transformer from a shop. He connected the primary to an AC supply. At that time an aluminum ring in his hand falls into the coreof the transformer. Without noticing that he switched on the power supply. The aluminum ring flew up into the air. He became panic. His father, an electrical engineer in EB explained the reason.
i. What value does he exhibit?
ii. Bring out the reason for the above activity.

Answer:

(i) Curiosity,

(ii) Induced current in the aluminum ring acts in the opposite direction to those in Coil and so magnetic field of the ring repels the magnetic field due to the coil. As a result of it the ring shoots in air.


Question 4. Raj Pal Yadav, a retired Physics Teacher was working in his field with his grandson. There was a big high tension tower carrying thick wires in their field. Grandson wanted to know as to why can’t the tower be removed from their field, so that they may get more space for crops. Raj Pal explained him the necessity of HT tower, and said it is very high voltage AC transmission line and is a lifeline of their town.
(i) What values are displayed by Raj Pal Yadav?
(ii)Why Long distance AC transmission is done at very high voltage.
(iii) What is the principle of transformer?
(iv)What are the energy losses in transformer?

Answer:

(i) Social awareness

(ii) To minimize power loss due to generation of heat.

(iii) mutual inductance


Question 5. Mr. Sanjeev, a physics teacher, was doing an experiment in lab using dry cell battery. The dry cell was weak, giving less voltage, which was not sufficient to give proper reading. One of the student asked, “Sir, can’t we step-up the voltage using a transformer?” Teacher replied, No, we cannot step up DC voltage using step-up transformer and explained the reason and working of a transformer .the student then constructed a transformer for his Physics project and studied the factors responsible for losses in a transformer.
(i) What values are displayed by the student
(ii) Why transformer cannot be used to step-up DC voltage

Answer:

(i) Creativeness, curiosity. 

(ii) DC supply does not produce changing magnetic flux in the primary hence no emf is set in the secondary coil of transformer.


Question 6. Rahul after having lived in US for 12years returned back to India. He had a discussion with his cousin Sumit on domestic power supply in US and in India. In US domestic power supply is at 110v, 50Hz, whereas in India it is 220V, 50Hz. Rahul was stressing that US supply is better than Indian supply. Both went to Sumit’s father an electrical Engineer and asked his opinion on the issue. He explained that both the supplies have advantages as well as disadvantages.

(i) What values are used by Rahul and Sumit?

(ii) Write one advantage and one disadvantage of 220V supply over 110V supply.

Answer:

(i) Critical thinking, awareness.

(ii) Advantage the power loss at 220v supply is less than at 110v
Disadvantage 220v supply has peak value 311v which is much higher than peak value of 155.5V for 110v supply


Question 7. During the Physics period, the teacher had started with alternating current. She recalled the concepts of AC and DC. She also asked the students to draw the graphs of AC/DC in their notebook. Ram did the work. But Leena was not able to draw. She struggled but Ram helped her in the completion of the graph.

i. What values were displayed by Ram?

ii. Draw graphically AC & DC

iii. Why do we prefer AC to DC?

Answer:

i. Sharing the knowledge, helping nature.

ii.

class_12_physics_vbq_2

iii. Less loss of power in AC.


Question 8. A visit to science exhibition was arranged for class XII. They saw the process of electroplating. The students exhibited the electro plating with the help of DC source. Immediately students raised the doubt, “Why don’t we use AC instead of DC?” The teacher in charge explained and cleared their doubts.
i) What value were displayed by these students?
ii) Why should we use dc instead of ac?

Answer:

i. Curiosity, critical thinking and understanding

ii. Because in AC, direction of current changes periodically whereas the electrodes are with fixed polarities.


VALUE BASED QUESTIONS

Question 1. Isabella used an induction stove and explains to her neighbor that due to shortage of LPG one must utilize other sources that are available to produce heat energy; being a Physics teacher Isabella, explains that the Oil companies are trying their best to meet the demands for LPG and that as a good citizen one must use other sources wherever feasible. Isabella uses an induction stove having a value of 7H inductor and the flow of current is from 10Ato 7A in 9 x 10-2 seconds.

a) In the above, what is the quality you find in the Physics teacher?

b) Calculate the emf generated in the above?

Answer:

(a) concern for the nation, cost economic attitude, sharing knowledge,

(b) e = -L dI / dt= 233.3V


Question 2. (A) woman and her daughter of class XII in KV were in the kitchen, preparing a feast for visitors using the new microwave oven purchased last evening. Suddenly, the daughter noticed sparks inside the oven and unplugs the connection after switching it off. She found that inside the microwave oven a metallic container had been kept to cook vegetable. She informs her mother that no metallic object must be used while cooking in microwave oven and explains the reasons for the same. a) What attitude of the daughter inspires you?

(b) Give another use of a microwave oven

(c) The frequency of microwave is 3 x 1011 Hz. Calculate its wavelength.

Answer:

(a) Presence of mind, Knowledge of subject;

(b) used in telecommunication; &

(c) λ= υ /c = (3 x 1011))/ (3 x 108 ). = 10-3.


Question 3. Imran on entering the airport was asked to remove the contents from his pant and shirt pockets; his hand bags and luggage were also checked by airport authorities by using a metal detector. Imran got annoyed and argued with the airport authority as to the reasons for such procedure. The authority tells him that all the passengers and their belongings will be checked for security check to ensure safe travel.

(a) What is the value that imparts us in the above scenario.

(b) Briefly explain the working principle of a metal detector.

Answer:

(a) respecting law and obeying the rules enacted by the nation; self-discipline and avoiding arguments,

(b) change in the magnetic field in a metal detector due to the metals carried by the contents of checking which, induces change in current in the coil of  the metal detector. This detection of change sets up an alarm)


Question 4. Mr. Dinesh Gupta, a retired physics teacher, was working in his field along with his grandson. There was a big high tension tower, supporting HT cables located in their field .The grandson argues that the tower should be removed from their field so that more space should be created for crops. Mr. Gupta explained the necessity of such towers for transmission of electric energy from one place to another.

Answer the following questions based on above information:

(1) Why is electrical energy long distance transmission done at very high voltage? Which device is used to bring down this high voltage to low voltage at receiving station?

(2) Which undesired attitude and value was the grandson displaying in making his observation?

(3) Which values are reflected in the approach of Mr. Dinesh Gupta?

Answer:

(1) In order to reduce the energy losses due to heating in the transmission cables, the energy is transmitted in very high voltage. Step down transformer is used to bring the voltage at receiving station.

(2) The grandson did not remember the social values and concern towards the society.

(3) Scientific temperament and responsibility.


Question 5. One Sunday, Umang and Ruhi went to their friend Pawan’s house. Suddenly, the ceiling fan of the room in which they were sitting stopped working. Umang was an engineer ,so he first switched off the fan and opened the cap of the fan to check the problem. Pawan and Ruhi tried to stop him but he did not listen. The moment he touched the entire part of the fan, he fell down because of electric shock. All friends were scared as to what has happened as the power supply was already switched off.

(1) What negative values have been displayed by Umang?

(2) What could be the possible cause of electric shock?

(3) Write expression of current and emf of the component used in the fan with phase difference

Answer:

(1) Careless attitude towards life

(2) Capacitor

(3) V=۽܄sinwt I = Io sin(wt+ п/2)

Chapter 06 Electromagnetic Induction
CBSE Class 12 Physics VBQs Electromagnetic Induction

VBQs for Chapter 6 Electromagnetic Induction Class 12 Physics

Students can now access the Value-Based Questions (VBQs) for Chapter 6 Electromagnetic Induction as per the latest CBSE syllabus. These questions have been designed to help Class 12 students understand the moral and practical lessons of the chapter. You should practicing these solved answers to improve improve your analytical skills and get more marks in your Physics school exams.

Expert-Approved Chapter 6 Electromagnetic Induction Value-Based Questions & Answers

Our teachers have followed the NCERT book for Class 12 Physics to create these important solved questions. After solving the exercises given above, you should also refer to our NCERT solutions for Class 12 Physics and read the answers prepared by our teachers.

Improve your Physics Scores

Daily practice of these Class 12 Physics value-based problems will make your concepts better and to help you further we have provided more study materials for Chapter 6 Electromagnetic Induction on studiestoday.com. By learning these ethical and value driven topics you will easily get better marks and also also understand the real-life application of Physics.

Where can I find 2026-27 CBSE Value Based Questions (VBQs) for Class 12 Physics Chapter Chapter 6 Electromagnetic Induction?

The latest collection of Value Based Questions for Class 12 Physics Chapter Chapter 6 Electromagnetic Induction is available for free on StudiesToday.com. These questions are as per 2026 academic session to help students develop analytical and ethical reasoning skills.

Are answers provided for Class 12 Physics Chapter Chapter 6 Electromagnetic Induction VBQs?

Yes, all our Physics VBQs for Chapter Chapter 6 Electromagnetic Induction come with detailed model answers which help students to integrate factual knowledge with value-based insights to get high marks.

What is the importance of solving VBQs for Class 12 Chapter Chapter 6 Electromagnetic Induction Physics?

VBQs are important as they test student's ability to relate Physics concepts to real-life situations. For Chapter Chapter 6 Electromagnetic Induction these questions are as per the latest competency-based education goals.

How many marks are usually allocated to VBQs in the CBSE Physics paper?

In the current CBSE pattern for Class 12 Physics, Chapter 6 Electromagnetic Induction Value Based or Case-Based questions typically carry 3 to 5 marks.

Can I download Physics Chapter Chapter 6 Electromagnetic Induction VBQs in PDF for free?

Yes, you can download Class 12 Physics Chapter Chapter 6 Electromagnetic Induction VBQs in a mobile-friendly PDF format for free.