CBSE Class 12 Mathematics Applications Of Derivatives Assignment Set 01

Read and download the CBSE Class 12 Mathematics Applications Of Derivatives Assignment Set 01 for the 2026-27 academic session. We have provided comprehensive Class 12 Mathematics school assignments that have important solved questions and answers for Chapter 6 Applications Of Derivatives. These resources have been carefuly prepared by expert teachers as per the latest NCERT, CBSE, and KVS syllabus guidelines.

Solved Assignment for Class 12 Mathematics Chapter 6 Applications Of Derivatives

Practicing these Class 12 Mathematics problems daily is must to improve your conceptual understanding and score better marks in school examinations. These printable assignments are a perfect assessment tool for Chapter 6 Applications Of Derivatives, covering both basic and advanced level questions to help you get more marks in exams.

Chapter 6 Applications Of Derivatives Class 12 Solved Questions and Answers

Question. The radius of the cylinder of maximum volume, which can be inscribed a sphere of radius R is:
a. 2/3 R
b. √2/3 R
c. 3/4 R
d. √3/4 R
Answer : B

Question. The abscissae of the points of the curve y3 = x in the interval [–2, 2], where the slope of the tangent can be obtained by mean value theorem for the interval [– 2, 2] are:
a. ± 2/√3 
b. ± √3/2
c. ± 3
d. 0
Answer : A

Question. If the line ax+by+c = 0 is a normal to the curve xy = 1, then:
a. a > 0,b > 0
b. a > 0,b < 0
c. a < 0,b > 0
d. a < 0,b < 0
Answer : B, C

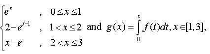
Question. If f(x) = 

""CBSE-Class-12-Mathematics-Applications-Of-Derivatives-Assignment-Set-A-1

a. f (x) is increasing on[−1,2]
b. f (x) is continuous on[−1,3]
c. f '(2) does not exist
d. f (x) has the maximum value at x = 2
Answer : ALL

Question. Let 2 3 h(x) = f (x) − ( f (x)) + ( f (x)) for every real number x. Then:
a. h is increasing whenever f is increasing
b. h is increasing whenever f is decreasing
c. h is decreasing whenever f is decreasing
d. nothing can be said in general
Answer : A, C

Question. The function f(x) = ∫−1x (et -1) (t - 1) (t - 2)3 (t - 3)5 dt has a local minimum at x equals to:
a. 0
b. 1
c. 2
d. 3
Answer : B, D

Question. In the mean-value theorem f (b) - f(a) / b - a = f(c), if a = 0, b = 1/2 and f (x) = x(x −1)(x − 2), the value of c is:
a. 1 - √15/6
b. 1 + √15
c. 1 - √21/6
d. 1 + √21
Answer : C

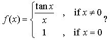
Question. If f (x) 

""CBSE-Class-12-Mathematics-Applications-Of-Derivatives-Assignment-Set-A

then:
a. g(x) has local maxima at 1 log 2 e x = + and local minima at x = e
b. f (x) has local maxima at x = 1 and local minima x = 2
c. g(x) has no local minima
d. g(x) has no local maxima
Answer : B, C

Question. Let f be a real-valued function defined on the interval (0,∞), by f (x) = Inx + ∫0x √1 + sintdt . Then which of the following statement(s) is(are) true?
a. f ′′(x) exists for all x∈(0,∞)
b. f ′(x) exists for all x∈(0,∞) and f ′ is continuous on (0,∞), but not differentiable on (0,∞)
c. there existsα > 1 such that╿f ′(x)╿< f (x)╿for all x∈(0,∞)
d. there exists β > 0 such that ╿f╿( x) + ╿f '( x)╿≤ β from all x∈(0,∞)
Answer : B, C

Question. If (x) = ∫0x et2 (t - 2) (t - 2) (t - 3) dt ∀x∈ ∞ then:
a. f has a local maximum at x = 2
b. f is decreasing on (2, 3)
c. there exists some c∈(0,∞) such that f ′′(c) = 0
d. f has a local minimum at x = 3
Answer : ALL

Question. A rectangular sheet of fixed perimeter with sides having their lengths in the ratio 8 : 15 is converted into an open rectangular box by folding after removing squares of equal area from all four corners. If the total area of removed squares is 100, the resulting box has maximum volume. The lengths of the sides of the rectangular sheet are:
a. 24
b. 32
c. 45
d. 60
Answer : A, D

Question. The function f ( x) = 2x + x + 2││x + 2− 2x ││has a local minimum or a local maximum at x is equal to:
a. –2
b. −2/3
c. 2
d. 2/3
Answer : A, B

Question. On the ellipse 4x2 + 9y2 = 1, the point at which the tangents are parallel to the line 8x = 9 y, are:
a. (2/5, 1/5)
b. (- 2/5, 1/5)
c. (- 2/5, - 1/5)
d. (2/5, - 1/5)
Answer : B, D

Question. If f (x) is cubic polynomial which has local maximum at x = −1. If f (2) = 18, f (1) = −1 and f ′(x) has local minimum at x = 0, then:
a. the distance between (−1,2) and (a, f (a)) where x = a is the point of local minima, is 2 5.
b. f ( x) is increasing for x∈ [1,2 √5]
c. f ( x) has local minima at x = 1
d. the value of f (0) = 5
Answer : B, C

Question. The function f (x) = x(x + 3)e-1/2x satisfies all the condition of Rolle's theorem in [– 3, 0]. The value of c is:
a. 0
b. 1
c. – 2
d. – 3
Answer : C

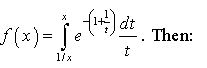
Question. Let f : (0,∞) → R be given by

""CBSE-Class-12-Mathematics-Applications-Of-Derivatives-Assignment-Set-A-2
a. f (x) is monotonically increasing on [1,∞)
b. f (x) is monotonically decreasing on [0,1)
c. f (x) + f (1/x) = 0, for all x∈(0,∞)
d. (2 ) x f is an odd function of x on R
Answer : A, C, D

Assertion and Reason

Note: Read the Assertion (A) and Reason (R) carefully to mark the correct option out of the options given below:
a. If both assertion and reason are true and the reason is the
correct explanation of the assertion.
b. If both assertion and reason are true but reason is not the
correct explanation of the assertion.
c. If assertion is true but reason is false.
d. If the assertion and reason both are false.
e. If assertion is false but reason is true.

Question. Let f (x) = 2√x and g(x) = 3 - 1/x , x > 1?
Assertion: f (x) > g(x)(x > 1)
Reason: f (x) − g(x) increases on (1, ∞)

Answer : A

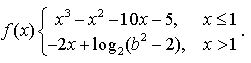
Question. Let f be a function defined by

""CBSE-Class-12-Mathematics-Applications-Of-Derivatives-Assignment-Set-A-3

Assertion: x = 0 is point of maxima of f
Reason: f ′(0) = 0

Answer : B

Question. Assertion:│cot x − cot│≤│x − y│for all x,y ∈ (- π/2, π/2)
Reason: If f is differentiable on an open interval and │f ′(x)│≤ M then │f (x) − f (y)│≤ M│x − y

Answer : D

Question. Let f (x) = x4 − 2x2 +5be defined on [−2, 2] ?
Assertion: The rang of f (x) is [2, 13]
Reason: The greatest value of f is attained at x = 2

Answer : D

Question. Let y = x + a2/x (a, > 0) ?
Assertion: ymax  = −2a (local mix)
Reason: ymin  = 2a (local min)

Answer : B

Question. Assertion: The function f (x) = 2sin x + cos 2x(0 ≤ x ≤ 2π ) has minimum at x = π/3 and maximum at 5π/3
Reason: The function f (x) above decreases on (0, π/3) increases on (π/3, 5π/3) and decreases on (5π/3, 2π)

Answer : A

Question. Let f(x) tan-1 1 - x / 1 + x ?
Assertion: The difference between the greatest and smallest value of f (x) on [0, 1] is π/4

Reason: If a function g decrease on [a, b] then the greatest value of g = g(a) and least value of g is g(b) .
Answer : A

Question. Let a,b ∈ R be such that the function f given by f (x) = logx+ bx2 + ax, x ≠ 0 has extreme values at x = −1 and x = 2.
Assertion: f has local maximum at x = −1 and at x = 2.
Reason: a = 1/2 and b = 1/4

Answer : A

Question. Assertion eπ
Reason: The function x-1/x (x > 0) has local maximum at x = e.

Answer : D

Question. Let f(x) = x/logx ?
Assertion: The minimum value of f (x) is e.
Reason: log x >1 for x > e and < 1 for x < e

Answer : .A

Comprehension Based

Paragraph –I

Consider the function f : (−∞,∞)→(−∞,∞) defined by f (x) = x2 - ax + 1 / x2 + ax + 1, 0 < 2

Question. Which of the following is true?
a. (2 + a)2 f "(1) + (2 − a)2 f "(−1) = 0
b. (2 − a)2 f "(1) − (2 + a)2 f "(−1) = 0
c. f '(1) f '(−1) = (2 − a)2
d. f '(1) f '(−1) = −(2 + a)2
Answer : A

Question. Which of the following is true?
a. f (x) is decreasing on (–1, 1) and has a local minimum at x = 1.
b. f (x) is increasing on (–1, 1) and has a local maximum at x = 1.
c. f (x) is increasing on (–1, 1) but has neither a local maximum nor a local minimum at x = 1.
d. f (x) is decreasing on (–1, 1) but has neither a local maximum nor a local minimum at x = 1.
Answer : A

Question. Let f(x) = ∫0ax  f"(t) / 1 + t0 dt. Which of the following is true?
a. g '(x) is positive on (−∞,0) and negative on (0,∞)
b. g′(x) is negative on (−∞,0) and positive on (0,∞)
c. g′(x) changes sign on both (−∞,0) and (0,∞)
d. g′(x) does not change sign (−∞,∞)
Answer : B

Paragraph –II

Let f (x) = (1−x)2 sin2 x+x2 for all x∈R and let

""CBSE-Class-12-Mathematics-Applications-Of-Derivatives-Assignment-Set-A-4

f (t) dt for all x ∈ (1,∞).

Question. Which of the following is true?
a. g is increasing on (1,∞)
b. g is decreasing on (1,∞)
c. g is increasing on (1, 2) and decreasing on (2,∞)
d. g is decreasing on (1, 2) and increasing on (2,∞)
Answer : B

Question. Consider the statements:
A.There exists some x ∈ R such that 2 f (x) + 2x = 2(1+ x )
B. There exists some x ∈ R such that 2 f (x) +1 = 2x(1+ x) Then,

a. Both A and B are true
b. A is true and B is false
c. A is false and B is true
d. Both A and B are false
Answer : C

Paragraph –III

Let f : [0,1]→ R (the set of all real numbers) be a function.
Suppose the function f is twice differentiable, f (0) = f (1) = 0 and satisfies "( ) 2 '( ) ( ) , x f x − f x + f x ≥ e x ∈ [0,1].

Question. Which of the following is true for 0 < x <1?
a. 0 < f (x) < ∞
b. - 1/2 < f (x) < 1/2
c. −1/ 4 < f (x) < 1
d. −∞ < f (x) < 0
Answer : D

Question. If the function e−x f(x) assumes its minimum in the interval [0,1] a x =1/ 4, which of the following is true?
a. f (x) < f (x) 1/4 < x < 3/4
b. f (x) > f (x), 0 < x < 1/4
c. f (x) < f (x) 0 < x < 1/4
d. f (x) < f (x) 3/4 < x < 1
Answer : A

Integer

Question. The curve y = ax3 + bx2 + cx + b touches the x-axis P(−2,0) and cuts the y-axis at a point Q where its gradient is 3, then the value of −10a −100b +1000c must be
Answer : 3080

Question. Tangent at a point P1 (other than (0, 0)) on the curve y = x3 meets the curve again at 2P .The tangent at P2 meets the curve again at P3 and so on, then we get P1, P2, P3, … Pn are is GP, then the ratio area (ΔP1 P2 P3) / area (ΔP2, P3 P4) λ/μ, then the value of 251/2 λ/μ⋅ must be
Answer : 2008

Question. If the value maximum slope of f (x) = x3 + 8x2 − 13x − 18 is λ, then the value of 15λ must be:
Answer : 125

Question. Rolle’s theorem holds for the function f (x) = x3 + bx2 + cx, 1 ≤ x ≤ 2 at the point 4/3 then the value of 100c − 500b must be:
Answer : 3300

Question. If the approximate value of 10 log (4.04) 0 abcdef, It is given that 4 log 4 = 0.6021 and 10 log e = 0.4343, then the value of abcd must be:
Answer : 1

Question. If the greatest and least values of the function f (x) = x3 − 6x2 + 9x + 1 on [0, 2] are λ and μ , then the value of λ4 +μ8must be:
Answer : 626

Question. The three sides of a trapezium are equal each being 6 cm long. If area of trapezium when it is maximum is A, then the value of 43 Amust be:
Answer : 324

Question. Let f (x) = x3 + 6x2 + ax + 2. If the largest possible interval in which f (x) is a decreasing function in (−3,−1), then the value of a must be:
Answer : 9

Question. The number of critical points of the function f (x) = xe−x must be:
Answer : 2

Question. Let 

""CBSE-Class-12-Mathematics-Applications-Of-Derivatives-Assignment-Set-A-5

. If f (x) has greatest value at x = 1, then [b2 ∈ (2, λ )]. Then,λ must be:
Answer : 130

Question. The indicated horse power I of an engines is calculated from the formula I = PLAN / 33000 where, A = π/4 d2 Assuming that error of 10% may have been made in measuring P, L, N and d. If the greatest possible in I is λ%then λ must be:
Answer : 50

Question. A balloon is in the form of right circular cylinder of radius 1.5m and length 4m and is surmounted by hemispherical ends. If the radius is increased by 0.01 m and the length by 0.05 m, the percentage change in the volume of the balloon is a. bcd%, then the value of abcd must be:
Answer : 2389

Question. When travelling at x km/ h, a truck burns diesel at the rate of 1/300 (900/x + x) L/km If the diesel oil costs 40 paise/L and driver is paid Rs 1.50 per h, if the steady speed that will minimize the total cost of the trip of 500 km is λ km/ h, then the value of 50λ must be:
Answer : 2250

Question. If f (x) = tan-1 (sin x + cos x)3 is an increasing function, then the value of x in (0, 2π ) is x ∈ (aπ/4, bπ/4)  (cπ/4, dπ/4)
Then, the value of a +10b +100c +1000d must be:
Answer : 8

Question. If f (x) = (x −1)(x − 2)(x −3) and a = 0, b = 4, then c the using LMVT is 2 ±λ. Then value of 450 2λ must be
Answer : 600

CBSE Class 12 Mathematics Applications Of Derivatives Assignment Set A

 

Please click the below link to access CBSE Class 12 Mathematics Applications Of Derivatives Assignment Set A

CBSE Class 12 Mathematics Chapter 6 Applications Of Derivatives Assignment

Access the latest Chapter 6 Applications Of Derivatives assignments designed as per the current CBSE syllabus for Class 12. We have included all question types, including MCQs, short answer questions, and long-form problems relating to Chapter 6 Applications Of Derivatives. You can easily download these assignments in PDF format for free. Our expert teachers have carefully looked at previous year exam patterns and have made sure that these questions help you prepare properly for your upcoming school tests.

Benefits of solving Assignments for Chapter 6 Applications Of Derivatives

Practicing these Class 12 Mathematics assignments has many advantages for you:

  • Better Exam Scores: Regular practice will help you to understand Chapter 6 Applications Of Derivatives properly and  you will be able to answer exam questions correctly.
  • Latest Exam Pattern: All questions are aligned as per the latest CBSE sample papers and marking schemes.
  • Huge Variety of Questions: These Chapter 6 Applications Of Derivatives sets include Case Studies, objective questions, and various descriptive problems with answers.
  • Time Management: Solving these Chapter 6 Applications Of Derivatives test papers daily will improve your speed and accuracy.

How to solve Mathematics Chapter 6 Applications Of Derivatives Assignments effectively?

  1. Read the Chapter First: Start with the NCERT book for Class 12 Mathematics before attempting the assignment.
  2. Self-Assessment: Try solving the Chapter 6 Applications Of Derivatives questions by yourself and then check the solutions provided by us.
  3. Use Supporting Material: Refer to our Revision Notes and Class 12 worksheets if you get stuck on any topic.
  4. Track Mistakes: Maintain a notebook for tricky concepts and revise them using our online MCQ tests.

Best Practices for Class 12 Mathematics Preparation

For the best results, solve one assignment for Chapter 6 Applications Of Derivatives on daily basis. Using a timer while practicing will further improve your problem-solving skills and prepare you for the actual CBSE exam.

Where can I download the latest CBSE Class 12 Mathematics Chapter Chapter 6 Applications Of Derivatives assignments?

You can download free PDF assignments for Class 12 Mathematics Chapter Chapter 6 Applications Of Derivatives from StudiesToday.com. These practice sheets have been updated for the 2026-27 session covering all concepts from latest NCERT textbook.

Do these Mathematics Chapter Chapter 6 Applications Of Derivatives assignments include solved questions?

Yes, our teachers have given solutions for all questions in the Class 12 Mathematics Chapter Chapter 6 Applications Of Derivatives assignments. This will help you to understand step-by-step methodology to get full marks in school tests and exams.

Are the assignments for Class 12 Mathematics Chapter Chapter 6 Applications Of Derivatives based on the 2026 exam pattern?

Yes. These assignments are designed as per the latest CBSE syllabus for 2026. We have included huge variety of question formats such as MCQs, Case-study based questions and important diagram-based problems found in Chapter Chapter 6 Applications Of Derivatives.

How can practicing Chapter Chapter 6 Applications Of Derivatives assignments help in Mathematics preparation?

Practicing topicw wise assignments will help Class 12 students understand every sub-topic of Chapter Chapter 6 Applications Of Derivatives. Daily practice will improve speed, accuracy and answering competency-based questions.

Can I download Mathematics Chapter Chapter 6 Applications Of Derivatives assignments for free on mobile?

Yes, all printable assignments for Class 12 Mathematics Chapter Chapter 6 Applications Of Derivatives are available for free download in mobile-friendly PDF format.