NEET Chemistry Alcohols Phenols and Ethers MCQs Set 01

Practice NEET Chemistry Alcohols Phenols and Ethers MCQs Set 01 provided below. The MCQ Questions for NEET Alcohols Phenols and Ethers Chemistry with answers and follow the latest NEET/ NCERT and KVS patterns. Refer to more Chapter-wise MCQs for NEET NEET Chemistry and also download more latest study material for all subjects

MCQ for NEET Chemistry Alcohols Phenols and Ethers

NEET Chemistry students should review the 50 questions and answers to strengthen understanding of core concepts in Alcohols Phenols and Ethers

Alcohols Phenols and Ethers MCQ Questions NEET Chemistry with Answers

 

 

Question: Which among the following is alcohol?

  • a)

    NEET Chemistry Alcohols Phenols and Ethers Online Test Set A-Q1-1

  • b)

    NEET Chemistry Alcohols Phenols and Ethers Online Test Set A-Q1-2

  • c)

    NEET Chemistry Alcohols Phenols and Ethers Online Test Set A-Q1-3

  • d)

    NEET Chemistry Alcohols Phenols and Ethers Online Test Set A-Q1-4

Answer:

NEET Chemistry Alcohols Phenols and Ethers Online Test Set A-Q1-2

 

Question: Which one is ether?

  • a)

    NEET Chemistry Alcohols Phenols and Ethers Online Test Set A-Q2-1

  • b)

    NEET Chemistry Alcohols Phenols and Ethers Online Test Set A-Q2-2

  • c)

    NEET Chemistry Alcohols Phenols and Ethers Online Test Set A-Q2-3

  • d) All of these

Answer: All of these

 

Question: Which one is phenol?

  • a)

    NEET Chemistry Alcohols Phenols and Ethers Online Test Set A-Q3-1

  • b)

    NEET Chemistry Alcohols Phenols and Ethers Online Test Set A-Q3-2

  • c)

    NEET Chemistry Alcohols Phenols and Ethers Online Test Set A-Q3-3

  • d)

    NEET Chemistry Alcohols Phenols and Ethers Online Test Set A-Q3-4

Answer:

NEET Chemistry Alcohols Phenols and Ethers Online Test Set A-Q3-1

 

Question:   IUPAC name of HOCH2CH2OH is:

  • a) Ethylene glycol
  • b) Ethane-1,2-diol 
  • c) Ethyl-1,2-diol 
  • d) Ethylene diol

Answer:  Ethane-1,2-diol 

 

Question:  IUPAC name of 

NEET Chemistry Alcohols Phenols and Ethers Online Test Set A-Q5

is

  • a) Ethyl propyl ether
  • b) Propyl elhoxide
  • c) Ethoxy propane
  • d) Propoxy ethane

Answer: Ethoxy propane

 

Question:  IUPAC name of

NEET Chemistry Alcohols Phenols and Ethers Online Test Set A-Q6

is

  • a) Benzyl ethoxide
  • b) Ethoxy benzyl
  • c) Benzene ethoxide
  • d) Ethoxy benzene

Answer: Ethoxy benzene

 

Question: Which among the following show tautomerism?

  • a) Alcohols
  • b) Phenol
  • c) Ethers
  • d) Anisole

Answer: Phenol

 

Question: Alcohols and ethers are

  • a) Position isomers
  • b) Functional isomers
  • c) Chain isomers
  • d) Metamers

Answer: Functional isomers

 

Question: Which one will be optically active?

  • a)

    NEET Chemistry Alcohols Phenols and Ethers Online Test Set A-Q9-1

  • b)

    NEET Chemistry Alcohols Phenols and Ethers Online Test Set A-Q9-2

  • c)

    NEET Chemistry Alcohols Phenols and Ethers Online Test Set A-Q9-3

  • d)

    NEET Chemistry Alcohols Phenols and Ethers Online Test Set A-Q9-4

Answer:

NEET Chemistry Alcohols Phenols and Ethers Online Test Set A-Q9-1

 

Question: Which one is optically active aromatic ether?

  • a)

    NEET Chemistry Alcohols Phenols and Ethers Online Test Set A-Q11-1

  • b)

    NEET Chemistry Alcohols Phenols and Ethers Online Test Set A-Q11-2

  • c)

    NEET Chemistry Alcohols Phenols and Ethers Online Test Set A-Q11-3

  • d)

    NEET Chemistry Alcohols Phenols and Ethers Online Test Set A-Q11-4

Answer:

NEET Chemistry Alcohols Phenols and Ethers Online Test Set A-Q11-1

 

 

Question: How many minimum number of carbons are needed for an optically active ether?

  • a) 2
  • b) 3
  • c) 4
  • d) 5

Answer: 5

 

Question:  3° alkyl halides form alcohols preferably via

  • a) SN2    
  • b) SN1
  • c) Transition state
  • d) SNi

Answer:  SN1

 

Question:  ROH + SOCl2  ——→ ?

The final product is

  • a) Alkyl chloride
  • b) Alkyl sulphate
  • c) Alkene
  • d) Ether

Answer: Alkyl chloride

 

Question:  Which one is preferable reagent for given reaction?

R CH2— X —→ HO — CH2R

  • a) (H2O + KOH) 
  • b) (ROH + KOH)
  • c) (ROH + KOH) / Δ   
  • d) (H2O + KOH) / Δ

Answer: (H2O + KOH) 

 

Question:  SN1 mechanism is observed in

  • a)

    NEET Chemistry Alcohols Phenols and Ethers Online Test Set A-Q15-1

  • b)

    NEET Chemistry Alcohols Phenols and Ethers Online Test Set A-Q15-2

  • c)

    NEET Chemistry Alcohols Phenols and Ethers Online Test Set A-Q15-3

  • d)

    NEET Chemistry Alcohols Phenols and Ethers Online Test Set A-Q15-4

Answer:

NEET Chemistry Alcohols Phenols and Ethers Online Test Set A-Q15-1

 

Question:

NEET Chemistry Alcohols Phenols and Ethers Online Test Set A-Q15-4

Reaction happens via

  • a) SN
  • b) SN2
  • c) SN
  • d) ArSN1

Answer:  SN

 

Question:

NEET Chemistry Alcohols Phenols and Ethers Online Test Set A-Q17

major product is

  • a)

    NEET Chemistry Alcohols Phenols and Ethers Online Test Set A-Q17-1

  • b)

    NEET Chemistry Alcohols Phenols and Ethers Online Test Set A-Q17-2

  • c) CH3CH2CH2OH
  • d)

    NEET Chemistry Alcohols Phenols and Ethers Online Test Set A-Q17-4

Answer:

NEET Chemistry Alcohols Phenols and Ethers Online Test Set A-Q17-2

 

Question:

NEET Chemistry Alcohols Phenols and Ethers Online Test Set A-Q18

Product (B) is

  • a) RCHO + HCHO
  • b) RCHO + HCOOH
  • c) RCOOH + HCOOH
  • d)  RCH2OH + CH3OH

Answer:  RCH2OH + CH3OH

 

Question: Reaction involving anti addition is

  • a)

    NEET Chemistry Alcohols Phenols and Ethers Online Test Set A-Q19-1

  • b)

    NEET Chemistry Alcohols Phenols and Ethers Online Test Set A-Q19-2

  • c)

    NEET Chemistry Alcohols Phenols and Ethers Online Test Set A-Q19-3

  • d)

    NEET Chemistry Alcohols Phenols and Ethers Online Test Set A-Q19-4

Answer:

NEET Chemistry Alcohols Phenols and Ethers Online Test Set A-Q19-3

 

Question: Grignard reagent is suitable reagent for the preparation of which of the following, from carbonyl compound?

  • a) 1° alcohols 
  • b) 2° alcohols 
  • c) 3° alcohols
  • d) All of these

Answer: All of these

 

Question:

NEET Chemistry Alcohols Phenols and Ethers Online Test Set A-Q21

A is

  • a)

    NEET Chemistry Alcohols Phenols and Ethers Online Test Set A-Q21-1

  • b)

    NEET Chemistry Alcohols Phenols and Ethers Online Test Set A-Q21-2

  • c)

    NEET Chemistry Alcohols Phenols and Ethers Online Test Set A-Q21-3

  • d)

    NEET Chemistry Alcohols Phenols and Ethers Online Test Set A-Q21-4

Answer:

NEET Chemistry Alcohols Phenols and Ethers Online Test Set A-Q21-1

 

 

Question:

NEET Chemistry Alcohols Phenols and Ethers Online Test Set A-Q22

Here reagent is

  • a) LiAlH4
  • b) NaBH4
  • c) Ni/H2 
  • d) All of these

Answer: All of these

 

Question:

NEET Chemistry Alcohols Phenols and Ethers Online Test Set A-Q23

Here reagent is

  • a) LiAlH4   
  • b) NaBH4
  • c) Both (1) & (2)
  • d) Red P/HI

Answer:  LiAlH4   

 

Question: Boiling point will be least for

  • a)

    NEET Chemistry Alcohols Phenols and Ethers Online Test Set A-Q24-1

  • b)

    NEET Chemistry Alcohols Phenols and Ethers Online Test Set A-Q24-2

  • c)

    NEET Chemistry Alcohols Phenols and Ethers Online Test Set A-Q24-3

  • d)

    NEET Chemistry Alcohols Phenols and Ethers Online Test Set A-Q24-4

Answer:

NEET Chemistry Alcohols Phenols and Ethers Online Test Set A-Q24-2

 

Question: Which one is most viscous?

  • a)

    NEET Chemistry Alcohols Phenols and Ethers Online Test Set A-Q25-1

  • b)

    NEET Chemistry Alcohols Phenols and Ethers Online Test Set A-Q25-2

  • c)

    NEET Chemistry Alcohols Phenols and Ethers Online Test Set A-Q25-3

  • d)

    NEET Chemistry Alcohols Phenols and Ethers Online Test Set A-Q25-4

Answer:

NEET Chemistry Alcohols Phenols and Ethers Online Test Set A-Q25-3

 

 

Question: Lowest boiling point is for

  • a) Butanol
  • b) Pentanol
  • c) 2-methyl propane-2-ol
  • d) 2-methyl butane-2-ol

Answer:  2-methyl propane-2-ol

 

Question:

NEET Chemistry Alcohols Phenols and Ethers Online Test Set A-Q27

  • a)

    R — X

  • b) Alkene
  • c) Both (1) & (2)
  • d) No product

Answer:  R — X

 

Question:  1° alcohols preferably undergo dehydration via

  • a) E1 
  • b) E2
  • c) SN1  
  • d) SN2

Answer:  E2

 

Question: Which one is inter-molecular dehydration?

  • a)

    NEET Chemistry Alcohols Phenols and Ethers Online Test Set A-Q30-1

  • b)

    NEET Chemistry Alcohols Phenols and Ethers Online Test Set A-Q30-2

  • c)

    NEET Chemistry Alcohols Phenols and Ethers Online Test Set A-Q30-3

  • d)

    NEET Chemistry Alcohols Phenols and Ethers Online Test Set A-Q30-4

Answer:

NEET Chemistry Alcohols Phenols and Ethers Online Test Set A-Q30-1

 

 

Question: Order of nucleophilicity is

  • a) CH3O < C2H5O– 
  • b) C2H5O < C2H5S
  • c) CH3O < CH3S  
  • d) All of these

Answer: All of these

 

More Questions............................................

 

Question:

NEET Chemistry Alcohols Phenols and Ethers Online Test Set B-Q31

Products are

  • a)

    NEET Chemistry Alcohols Phenols and Ethers Online Test Set B-Q31-1

  • b)

    NEET Chemistry Alcohols Phenols and Ethers Online Test Set B-Q31-2

  • c)

    NEET Chemistry Alcohols Phenols and Ethers Online Test Set B-Q31-3

  • d)

    NEET Chemistry Alcohols Phenols and Ethers Online Test Set B-Q31-4

Answer:

NEET Chemistry Alcohols Phenols and Ethers Online Test Set B-Q31-1

 

Question: Lucas test is used to distinguish

  • a) Phenols
  • b) Ethers
  • c) Alcohols
  • d) Alkyl halides

Answer: Alcohols

 

Question: In Lucas test immediate turbidity is caused by

  • a) 3° alcohols 
  • b) 2° alcohols 
  • c) 1° alcohols
  • d) Phenol

Answer:  3° alcohols 

 

Question: Phenols can be distinguished from alcohols by

  • a) FeCl3(neutral) 
  • b) Fehling solution
  • c) Tollen’s reagent
  • d) 2,4-DNP

Answer:  FeCl3(neutral) 

 

Question: Most acidic among the following is

  • a)

    NEET Chemistry Alcohols Phenols and Ethers Online Test Set B-Q35-1

  • b)

    NEET Chemistry Alcohols Phenols and Ethers Online Test Set B-Q35-2

  • c)

    NEET Chemistry Alcohols Phenols and Ethers Online Test Set B-Q35-3

  • d)

    NEET Chemistry Alcohols Phenols and Ethers Online Test Set B-Q35-4

Answer:

NEET Chemistry Alcohols Phenols and Ethers Online Test Set B-Q35-4

 

 

Question: Correct acidic order of acidity is

  • a)

    NEET Chemistry Alcohols Phenols and Ethers Online Test Set B-Q36-1

  • b)

    NEET Chemistry Alcohols Phenols and Ethers Online Test Set B-Q36-2

  • c)

    NEET Chemistry Alcohols Phenols and Ethers Online Test Set B-Q36-3

  • d)

    NEET Chemistry Alcohols Phenols and Ethers Online Test Set B-Q36-4

Answer:

NEET Chemistry Alcohols Phenols and Ethers Online Test Set B-Q36-1

 

Question:

NEET Chemistry Alcohols Phenols and Ethers Online Test Set B-Q37

major product is

  • a)

    NEET Chemistry Alcohols Phenols and Ethers Online Test Set B-Q37-1

  • b)

    NEET Chemistry Alcohols Phenols and Ethers Online Test Set B-Q37-2

  • c)

    NEET Chemistry Alcohols Phenols and Ethers Online Test Set B-Q37-3

  • d)

    NEET Chemistry Alcohols Phenols and Ethers Online Test Set B-Q37-4

Answer:

NEET Chemistry Alcohols Phenols and Ethers Online Test Set B-Q37-4

 

Question:

NEET Chemistry Alcohols Phenols and Ethers Online Test Set B-Q38

above conversion is

  • a) LiAlH4
  • b) Zn
  • c)

    NEET Chemistry Alcohols Phenols and Ethers Online Test Set B-Q38-3

  • d) NaBH4

Answer: Zn

 

Question: In Reimer-Tiemann reaction, the major product is

  • a) Ortho isomer due to intra molecular H-bonding
  • b) Meta isomer
  • c) Para isomer due to symmetry
  • d) None of these

Answer: Ortho isomer due to intra molecular H-bonding

 

Question: Electrophile in Reimer-Tiemann reaction

  • a) CHCl3
  • b) : CH2
  • c) : CCl
  • d) CO2

Answer:  : CCl

 

Question: Molecule which does not oxidise using PCC

  • a)

    NEET Chemistry Alcohols Phenols and Ethers Online Test Set B-Q41-1

  • b)

    NEET Chemistry Alcohols Phenols and Ethers Online Test Set B-Q41-2

  • c)

    NEET Chemistry Alcohols Phenols and Ethers Online Test Set B-Q41-3

  • d)

    NEET Chemistry Alcohols Phenols and Ethers Online Test Set B-Q41-4

Answer:

NEET Chemistry Alcohols Phenols and Ethers Online Test Set B-Q41-1

 

 

Question: Which one of the following is best Lewis base?

  • a)

    NEET Chemistry Alcohols Phenols and Ethers Online Test Set B-Q42-1

  • b)

    NEET Chemistry Alcohols Phenols and Ethers Online Test Set B-Q42-2

  • c)

    NEET Chemistry Alcohols Phenols and Ethers Online Test Set B-Q42-3

  • d)

    NEET Chemistry Alcohols Phenols and Ethers Online Test Set B-Q42-4

Answer:

NEET Chemistry Alcohols Phenols and Ethers Online Test Set B-Q42-2

 

 

Question:

NEET Chemistry Alcohols Phenols and Ethers Online Test Set B-Q43

Product/(s) will be:

  • a)

    NEET Chemistry Alcohols Phenols and Ethers Online Test Set B-Q43-1

  • b)

    NEET Chemistry Alcohols Phenols and Ethers Online Test Set B-Q43-2

  • c)

    NEET Chemistry Alcohols Phenols and Ethers Online Test Set B-Q43-3

  • d)

    NEET Chemistry Alcohols Phenols and Ethers Online Test Set B-Q43-4

Answer:

NEET Chemistry Alcohols Phenols and Ethers Online Test Set B-Q43-1

 

Question:

NEET Chemistry Alcohols Phenols and Ethers Online Test Set B-Q44

  • a) CH3OH + CH3CH2I   
  • b) CH3I + CH3CH2OH
  • c) CH3I + CH3CH2I   
  • d) CH3OH + CH3CH2OH

Answer:  CH3I + CH3CH2I   

 

Question:

NEET Chemistry Alcohols Phenols and Ethers Online Test Set B-Q45

X and Y respectively are

  • a) Toluene, propene
  • b) Toluene, propylchloride
  • c) Phenol, acetone
  • d) Phenol, acetaldehyde

Answer: Phenol, acetone

 

Question:

NEET Chemistry Alcohols Phenols and Ethers Online Test Set B-SB-Q1

What is the major product A?

  • a)

    NEET Chemistry Alcohols Phenols and Ethers Online Test Set B-SB-Q1-1

  • b)

    NEET Chemistry Alcohols Phenols and Ethers Online Test Set B-SB-Q1-2

  • c)

    NEET Chemistry Alcohols Phenols and Ethers Online Test Set B-SB-Q1-3

  • d)

    NEET Chemistry Alcohols Phenols and Ethers Online Test Set B-SB-Q1-4

Answer:

NEET Chemistry Alcohols Phenols and Ethers Online Test Set B-SB-Q1-3

 

 

Question:

NEET Chemistry Alcohols Phenols and Ethers Online Test Set B-SB-Q2

What is the major product B?

  • a)

    NEET Chemistry Alcohols Phenols and Ethers Online Test Set B-SB-Q2-1

  • b)

    NEET Chemistry Alcohols Phenols and Ethers Online Test Set B-SB-Q2-2

  • c)

    NEET Chemistry Alcohols Phenols and Ethers Online Test Set B-SB-Q2-3

  • d)

    NEET Chemistry Alcohols Phenols and Ethers Online Test Set B-SB-Q2-4

Answer:

NEET Chemistry Alcohols Phenols and Ethers Online Test Set B-SB-Q2-4

 

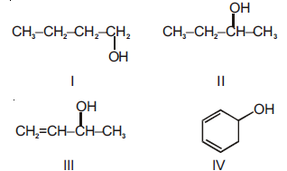
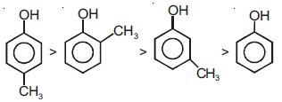
Question:  Which of the following is the correct increasing order of boiling point of following compounds?

NEET Chemistry Alcohols Phenols and Ethers Online Test Set B-SB-Q3

  • a) II < I < III
  • b) III < II < I
  • c) I < II < III
  • d) II < III < I

Answer: III < II < I

 

Question:

NEET Chemistry Alcohols Phenols and Ethers Online Test Set B-SB-Q4

What is Y?

  • a)

    NEET Chemistry Alcohols Phenols and Ethers Online Test Set B-SB-Q4-1

  • b)

    NEET Chemistry Alcohols Phenols and Ethers Online Test Set B-SB-Q4-2

  • c)

    NEET Chemistry Alcohols Phenols and Ethers Online Test Set B-SB-Q4-3

  • d)

    NEET Chemistry Alcohols Phenols and Ethers Online Test Set B-SB-Q4-4

Answer:

NEET Chemistry Alcohols Phenols and Ethers Online Test Set B-SB-Q4-1

 

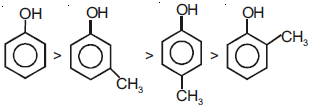
Question:  Which of the following is the correct ease of dehydration?

NEET Chemistry Alcohols Phenols and Ethers Online Test Set B-SB-Q5

  • a) I > III > II > IV
  • b) IV > III > II > I
  • c) IV > II > III > I
  • d) III > IV > II > I

Answer: IV > III > II > I

 

Question:

NEET Chemistry Alcohols Phenols and Ethers Online Test Set B-SB-Q6

  • a) Sodium metal
  • b) Neutral FeCl3
  • c) Lucas reagent
  • d) Esterification reaction

Answer: Lucas reagent

 

Question:

NEET Chemistry Alcohols Phenols and Ethers Online Test Set B-SB-Q7

  • a)

    NEET Chemistry Alcohols Phenols and Ethers Online Test Set B-SB-Q7-1

  • b)

    NEET Chemistry Alcohols Phenols and Ethers Online Test Set B-SB-Q7-2

  • c)

    NEET Chemistry Alcohols Phenols and Ethers Online Test Set B-SB-Q7-3

  • d)

    NEET Chemistry Alcohols Phenols and Ethers Online Test Set B-SB-Q7-4

Answer:

NEET Chemistry Alcohols Phenols and Ethers Online Test Set B-SB-Q7-3

 

Question:  Consider the following reaction :

NEET Chemistry Alcohols Phenols and Ethers Online Test Set B-SB-Q8

The product Z is

  • a) Benzene
  • b) Toluene
  • c) Benzaldehyde
  • d) Benzoic acid

Answer: Benzoic acid

 

Question:

NEET Chemistry Alcohols Phenols and Ethers Online Test Set B-SB-Q9

What is X?

  • a)

    NEET Chemistry Alcohols Phenols and Ethers Online Test Set B-SB-Q9-1

  • b)

    NEET Chemistry Alcohols Phenols and Ethers Online Test Set B-SB-Q9-2

  • c)

    NEET Chemistry Alcohols Phenols and Ethers Online Test Set B-SB-Q9-3

  • d)

    NEET Chemistry Alcohols Phenols and Ethers Online Test Set B-SB-Q9-4

Answer:

NEET Chemistry Alcohols Phenols and Ethers Online Test Set B-SB-Q9-4

 

Question:

NEET Chemistry Alcohols Phenols and Ethers Online Test Set B-SB-Q10

What is Y?

  • a)

    NEET Chemistry Alcohols Phenols and Ethers Online Test Set B-SB-Q10-1

  • b)

    NEET Chemistry Alcohols Phenols and Ethers Online Test Set B-SB-Q10-2

  • c)

    NEET Chemistry Alcohols Phenols and Ethers Online Test Set B-SB-Q10-3

  • d)

    NEET Chemistry Alcohols Phenols and Ethers Online Test Set B-SB-Q10-4

Answer:

NEET Chemistry Alcohols Phenols and Ethers Online Test Set B-SB-Q10-4

 

Question:

NEET Chemistry Alcohols Phenols and Ethers Online Test Set B-SB-Q12

What is Y?

  • a)

    NEET Chemistry Alcohols Phenols and Ethers Online Test Set B-SB-Q12-1

  • b)

    NEET Chemistry Alcohols Phenols and Ethers Online Test Set B-SB-Q12-2

  • c)

    NEET Chemistry Alcohols Phenols and Ethers Online Test Set B-SB-Q12-3

  • d)

    NEET Chemistry Alcohols Phenols and Ethers Online Test Set B-SB-Q12-4

Answer:

NEET Chemistry Alcohols Phenols and Ethers Online Test Set B-SB-Q12-3

 

Question:  Which of the following will not give positive test with neutral FeCl3?

  • a) Nitrophenol
  • b) Phenol
  • c) Allyl alcohol
  • d) o-cresol

Answer: Allyl alcohol

 

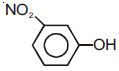
Question: In Dow's process haloarene is converted to phenol with fused NaOH. The most reactive compound is

  • a)

    NEET Chemistry Alcohols Phenols and Ethers Online Test Set B-SB-Q14-1

  • b)

    NEET Chemistry Alcohols Phenols and Ethers Online Test Set B-SB-Q14-2

  • c)

    NEET Chemistry Alcohols Phenols and Ethers Online Test Set B-SB-Q14-3

  • d) All are equally reactive

Answer:

NEET Chemistry Alcohols Phenols and Ethers Online Test Set B-SB-Q14-1

 

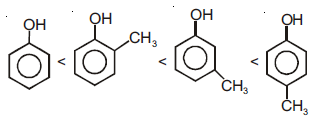
Question:  Among the following four compounds

a. Phenol

b. Methyl phenol

c. Meta nitrophenol

d. Para nitrophenol

The acidity order is

  • a) d > c > a > b
  • b) c > d > a > b
  • c) a > d > c > b
  • d) b > a > c > d

Answer: d > c > a > b

 

Question: Reaction of t-butyl bromide with sodium methoxide produces

  • a) Sodium t-butoxide
  • b) t-butyl methyl ether
  • c) Isobutane
  • d) Isobutylene

Answer: Isobutylene

Biomolecule
Biomolecule MCQs
Chemical Bonding
Chemical Bonding MCQs
Chemical Thermodynamics
Chemical Thermodynamics MCQs
Chemistry in Everyday Life
In Everyday Life MCQs
Classification of Elements
Classification of Elements MCQs
D and F Block Elements
D and F Block Elements MCQs
Isolation of Metals
Isolation of Metals MCQs
Organic Chemistry
Organic Chemistry MCQs
Organic Compound Containing Halogens
Organic Compounds Containing Halogens MCQs
Organic Compound Containing Nitrogen
Organic Compound Containing Nitrogen MCQs
Organic Compounds
Organic Compounds MCQs
Organic Compounds Containing Oxygen
Organic Compounds Containing Oxygen MCQs
P Block Elements
P Block Elements MCQs
Practicals
Practicals MCQs
Redox Reactions and Electrochemistry
Redox Reactions and Electrochemistry MCQs
S Block Elements
S Block Elements MCQs
States of Matter
States of Matter MCQs
Structure of Atom
Structure of Atom MCQs

MCQs for Alcohols Phenols and Ethers Chemistry NEET

Students can use these MCQs for Alcohols Phenols and Ethers to quickly test their knowledge of the chapter. These multiple-choice questions have been designed as per the latest syllabus for NEET Chemistry released by NEET. Our expert teachers suggest that you should practice daily and solving these objective questions of Alcohols Phenols and Ethers to understand the important concepts and better marks in your school tests.

Alcohols Phenols and Ethers NCERT Based Objective Questions

Our expert teachers have designed these Chemistry MCQs based on the official NCERT book for NEET. We have identified all questions from the most important topics that are always asked in exams. After solving these, please compare your choices with our provided answers. For better understanding of Alcohols Phenols and Ethers, you should also refer to our NCERT solutions for NEET Chemistry created by our team.

Online Practice and Revision for Alcohols Phenols and Ethers Chemistry

To prepare for your exams you should also take the NEET Chemistry MCQ Test for this chapter on our website. This will help you improve your speed and accuracy and its also free for you. Regular revision of these Chemistry topics will make you an expert in all important chapters of your course.

FAQs

Where can I access latest NEET Chemistry Alcohols Phenols and Ethers MCQs Set 01?

You can get most exhaustive NEET Chemistry Alcohols Phenols and Ethers MCQs Set 01 for free on StudiesToday.com. These MCQs for NEET Chemistry are updated for the 2026-27 academic session as per NEET examination standards.

Are Assertion-Reasoning and Case-Study MCQs included in the Chemistry NEET material?

Yes, our NEET Chemistry Alcohols Phenols and Ethers MCQs Set 01 include the latest type of questions, such as Assertion-Reasoning and Case-based MCQs. 50% of the NEET paper is now competency-based.

How do practicing Chemistry MCQs help in scoring full marks in NEET exams?

By solving our NEET Chemistry Alcohols Phenols and Ethers MCQs Set 01, NEET students can improve their accuracy and speed which is important as objective questions provide a chance to secure 100% marks in the Chemistry.

Do you provide answers and explanations for NEET Chemistry Alcohols Phenols and Ethers MCQs Set 01?

Yes, Chemistry MCQs for NEET have answer key and brief explanations to help students understand logic behind the correct option as its important for 2026 competency-focused NEET exams.

Can I practice these Chemistry NEET MCQs online?

Yes, you can also access online interactive tests for NEET Chemistry Alcohols Phenols and Ethers MCQs Set 01 on StudiesToday.com as they provide instant answers and score to help you track your progress in Chemistry.