NEET Chemistry Alcohols Phenols and Ethers MCQs Set 02

Practice NEET Chemistry Alcohols Phenols and Ethers MCQs Set 02 provided below. The MCQ Questions for NEET Alcohols Phenols and Ethers Chemistry with answers and follow the latest NEET/ NCERT and KVS patterns. Refer to more Chapter-wise MCQs for NEET NEET Chemistry and also download more latest study material for all subjects

MCQ for NEET Chemistry Alcohols Phenols and Ethers

NEET Chemistry students should review the 50 questions and answers to strengthen understanding of core concepts in Alcohols Phenols and Ethers

Alcohols Phenols and Ethers MCQ Questions NEET Chemistry with Answers

Question:

NEET Chemistry Alcohols Phenols and Ethers Online Test Set C-Q17

B is

  • a) (CH3)3CHO
  • b)

    NEET Chemistry Alcohols Phenols and Ethers Online Test Set C-Q17-2

  • c) (CH3)2CHCOCH3
  • d)

    NEET Chemistry Alcohols Phenols and Ethers Online Test Set C-Q17-4

Answer:

NEET Chemistry Alcohols Phenols and Ethers Online Test Set C-Q17-2

Question:

NEET Chemistry Alcohols Phenols and Ethers Online Test Set C-Q18

Product (C) is

  • a)

    NEET Chemistry Alcohols Phenols and Ethers Online Test Set C-Q18-1

  • b)

    NEET Chemistry Alcohols Phenols and Ethers Online Test Set C-Q18-2

  • c)

    NEET Chemistry Alcohols Phenols and Ethers Online Test Set C-Q18-3

  • d)

    NEET Chemistry Alcohols Phenols and Ethers Online Test Set C-Q18-4

Answer:

NEET Chemistry Alcohols Phenols and Ethers Online Test Set C-Q18-3

 

Question: Ethyl chloride is converted into diethyl ether by

  • a) Perkin’s reaction
  • b) Grignard reaction
  • c) Wurtz synthesis
  • d) Williamson’s synthesis

Answer: Williamson’s synthesis

 

Question: Ethylene oxide when treated with Grignard reagent yields

  • a) Primary alcohol
  • b) Secondary alcohol
  • c) Tertiary alcohol
  • d) Cyclopropyl alcohol

Answer: Primary alcohol

Question:

NEET Chemistry Alcohols Phenols and Ethers Online Test Set C-Q21

Product (C) is

  • a)

    NEET Chemistry Alcohols Phenols and Ethers Online Test Set C-Q21-1

  • b)

    NEET Chemistry Alcohols Phenols and Ethers Online Test Set C-Q21-2

  • c)

    NEET Chemistry Alcohols Phenols and Ethers Online Test Set C-Q21-3

  • d)

    NEET Chemistry Alcohols Phenols and Ethers Online Test Set C-Q21-4

Answer:

NEET Chemistry Alcohols Phenols and Ethers Online Test Set C-Q21-3

Question:

NEET Chemistry Alcohols Phenols and Ethers Online Test Set C-Q22

  • a) Alkyl iodide
  • b) Vinyl chloride
  • c) Vinyl iodide
  • d) Allyl chloride

Answer: Allyl chloride

Question:

NEET Chemistry Alcohols Phenols and Ethers Online Test Set C-Q23

The product is

  • a)

    NEET Chemistry Alcohols Phenols and Ethers Online Test Set C-Q23-1

  • b)

    NEET Chemistry Alcohols Phenols and Ethers Online Test Set C-Q23-2

  • c) Mixture of (1) & (2)
  • d) No reaction

Answer:

NEET Chemistry Alcohols Phenols and Ethers Online Test Set C-Q23-1

 

Question:

NEET Chemistry Alcohols Phenols and Ethers Online Test Set C-Q24

What is B?

  • a)

    NEET Chemistry Alcohols Phenols and Ethers Online Test Set C-Q24-1

  • b)

    NEET Chemistry Alcohols Phenols and Ethers Online Test Set C-Q24-2

  • c)

    NEET Chemistry Alcohols Phenols and Ethers Online Test Set C-Q24-3

  • d)

    NEET Chemistry Alcohols Phenols and Ethers Online Test Set C-Q24-4

Answer:

NEET Chemistry Alcohols Phenols and Ethers Online Test Set C-Q24-1

 

Question:

NEET Chemistry Alcohols Phenols and Ethers Online Test Set C-Q25

Product (C) is

  • a)

    NEET Chemistry Alcohols Phenols and Ethers Online Test Set C-Q25-1

  • b)

    NEET Chemistry Alcohols Phenols and Ethers Online Test Set C-Q25-2

  • c)

    NEET Chemistry Alcohols Phenols and Ethers Online Test Set C-Q25-3

  • d)

    NEET Chemistry Alcohols Phenols and Ethers Online Test Set C-Q25-4

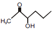
Answer:

NEET Chemistry Alcohols Phenols and Ethers Online Test Set C-Q25-2

Question: Reaction of phenol with chloroform in presence of dilute sodium hydroxide finally introduces which one of the following functional group?

  • a) –CHCl2 
  • b) –CHO
  • c) –CH2Cl 
  • d) –COOH

Answer:  –CHO

Question:  Which of the following is not the product of dehydration of 

NEET Chemistry Alcohols Phenols and Ethers Online Test Set C-Q2

  • a)

    NEET Chemistry Alcohols Phenols and Ethers Online Test Set C-Q2-1

  • b)

    NEET Chemistry Alcohols Phenols and Ethers Online Test Set C-Q2-2

  • c)

    NEET Chemistry Alcohols Phenols and Ethers Online Test Set C-Q2-3

  • d)

    NEET Chemistry Alcohols Phenols and Ethers Online Test Set C-Q2-4

Answer:

NEET Chemistry Alcohols Phenols and Ethers Online Test Set C-Q2-4

Question:  Which of the following reaction(s) can be used for the preparation of alkyl halides?

NEET Chemistry Alcohols Phenols and Ethers Online Test Set C-Q3-

  • a) (IV) only
  • b) (III) and (IV) only
  • c) (I), (III) and (IV) only
  • d) (I) and (II) only

Answer: (I), (III) and (IV) only

Question:  The reaction

NEET Chemistry Alcohols Phenols and Ethers Online Test Set C-Q4

is called 

  • a) Gatterman - Koch reaction
  • b) Williamson synthesis
  • c) Williamson continuous etherification process
  • d) Etard reaction

Answer: Williamson synthesis

Question: Among the following sets of reactants which one produces anisole ?

  • a) CH3CHO; RMgX 
  • b) C6H5OH; NaOH; CH3I
  • c) C6H5OH; netural FeCl3
  • d) C6H5–CH3; CH3COCl; AlCl3  

Answer:  C6H5OH; NaOH; CH3I

Question:  Among the following ethers, which one will produce methyl alcohol on treatment with hot concentrated HI ?

  • a)

    NEET Chemistry Alcohols Phenols and Ethers Online Test Set C-Q7-1

  • b)

    NEET Chemistry Alcohols Phenols and Ethers Online Test Set C-Q7-2

  • c)

    NEET Chemistry Alcohols Phenols and Ethers Online Test Set C-Q7-3

  • d)  CH3–CH2–CH2–CH2–O–CH3

Answer:

NEET Chemistry Alcohols Phenols and Ethers Online Test Set C-Q7-2

Question:  In the following reaction :

NEET Chemistry Alcohols Phenols and Ethers Online Test Set C-Q8

The major product is

  • a)

    NEET Chemistry Alcohols Phenols and Ethers Online Test Set C-Q8-1

  • b)

    NEET Chemistry Alcohols Phenols and Ethers Online Test Set C-Q8-2

  • c)

    NEET Chemistry Alcohols Phenols and Ethers Online Test Set C-Q8-3

  • d)

    NEET Chemistry Alcohols Phenols and Ethers Online Test Set C-Q8-4

Answer:

NEET Chemistry Alcohols Phenols and Ethers Online Test Set C-Q8-3

Question:  Identity Z in the sequence of reactions

NEET Chemistry Alcohols Phenols and Ethers Online Test Set C-Q6

  • a) CH3–(CH2)3–O–CH2CH3
  • b) (CH3)2CH2–O–CH2CH3
  • c) CH3(CH2)4–O–CH3
  • d) CH3CH2–CH(CH3)–O–CH2CH3

Answer:   CH3–(CH2)3–O–CH2CH3

Question:  In the following reactions,

NEET Chemistry Alcohols Phenols and Ethers Online Test Set C-Q9

The major products (A) and (C) are respectively 

  • a)

    NEET Chemistry Alcohols Phenols and Ethers Online Test Set C-Q9-1

  • b)

    NEET Chemistry Alcohols Phenols and Ethers Online Test Set C-Q9-2

  • c)

    NEET Chemistry Alcohols Phenols and Ethers Online Test Set C-Q9-3

  • d)

    NEET Chemistry Alcohols Phenols and Ethers Online Test Set C-Q9-4

Answer:

NEET Chemistry Alcohols Phenols and Ethers Online Test Set C-Q9-3

Question: Which among the following show tautomerism?

  • a) Alcohols
  • b) Phenol
  • c) Ethers
  • d) Anisole

Answer: Phenol

Question:  Among the following four compounds

a. Phenol

b. Methyl phenol

c. m-Nitrophenol

d. P-nitrophenol

The acidity order is 

  • a) d > c > a > b
  • b) c > d > a > b
  • c) a > d > c > b
  • d) b > a > c > d

Answer: d > c > a > b

 

Question: When glycerol is treated with excess of HI, it produces

  • a) 2-iodopropane 
  • b) Allyl iodide
  • c) Propene
  • d) Glycerol triiodide

Answer:  2-iodopropane 

Question: Which one of the following compounds has the most acidic nature ?

  • a)

    NEET Chemistry Alcohols Phenols and Ethers Online Test Set C-Q10-1

  • b)

    NEET Chemistry Alcohols Phenols and Ethers Online Test Set C-Q10-2

  • c)

    NEET Chemistry Alcohols Phenols and Ethers Online Test Set C-Q10-3

  • d)

    NEET Chemistry Alcohols Phenols and Ethers Online Test Set C-Q10-4

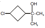
Answer:

NEET Chemistry Alcohols Phenols and Ethers Online Test Set C-Q10-2

Question: Which one of the following compounds will be most readily dehydrated ?

  • a)

    NEET Chemistry Alcohols Phenols and Ethers Online Test Set C-Q14-1

  • b)

    NEET Chemistry Alcohols Phenols and Ethers Online Test Set C-Q14-2

  • c)

    NEET Chemistry Alcohols Phenols and Ethers Online Test Set C-Q14-3

  • d)

    NEET Chemistry Alcohols Phenols and Ethers Online Test Set C-Q14-4

Answer:

NEET Chemistry Alcohols Phenols and Ethers Online Test Set C-Q14-3

Question: Which of the following conformers for ethylene glycol is most stable?

  • a)

    NEET Chemistry Alcohols Phenols and Ethers Online Test Set C-Q15-1

  • b)

    NEET Chemistry Alcohols Phenols and Ethers Online Test Set C-Q15-2

  • c)

    NEET Chemistry Alcohols Phenols and Ethers Online Test Set C-Q15-3

  • d)

    NEET Chemistry Alcohols Phenols and Ethers Online Test Set C-Q15-4

Answer:

NEET Chemistry Alcohols Phenols and Ethers Online Test Set C-Q15-4

Question:  Consider the following reaction,

NEET Chemistry Alcohols Phenols and Ethers Online Test Set C-Q16

  • a) CH3CH2–O–CH2–CH3
  • b) CH3–CH2–O–SO3H  
  • c) CH3CH2OH
  • d) CH2= CH2

Answer:  CH3CH2OH

Question:  Consider the following reaction

NEET Chemistry Alcohols Phenols and Ethers Online Test Set C-Q17-

The product Z is 

  • a) Benzaldehyde
  • b) Benzoic acid
  • c) Benzene
  • d) Toluene

Answer: Benzoic acid

Question:  H2COH.CH2OH on heating with periodic acid gives 

  • a) 2HCOOH
  • b)

    NEET Chemistry Alcohols Phenols and Ethers Online Test Set C-Q18--

  • c)

    NEET Chemistry Alcohols Phenols and Ethers Online Test Set C-Q17--3

  • d) 2 CO2

Answer:

NEET Chemistry Alcohols Phenols and Ethers Online Test Set C-Q17--3

Question:   The major organic product in the reaction, CH3–O– CH(CH3)2+ HΙ→ Product is

  • a) CH3OH + (CH3)2CHI  
  • b) ΙCH2OCH(CH3)2
  • c)

    NEET Chemistry Alcohols Phenols and Ethers Online Test Set C-Q19-3

  • d) CH3 Ι + (CH3)2CHOH

Answer:  CH3 Ι + (CH3)2CHOH

Question: Ethylene oxide when treated with Grignard reagent yields

  • a) Secondary alcohol
  • b) Tertiary alcohol
  • c) Cyclopropyl alcohol
  • d) Primary alcohol

Answer: Primary alcohol

Question: Which one of the following compounds is most acidic?

  • a) Cl–CH2–CH2–OH
  • b)

    NEET Chemistry Alcohols Phenols and Ethers Online Test Set C--Q21-2

  • c)

    NEET Chemistry Alcohols Phenols and Ethers Online Test Set C--Q21-3

  • d)

    NEET Chemistry Alcohols Phenols and Ethers Online Test Set C--Q21-4

Answer:

NEET Chemistry Alcohols Phenols and Ethers Online Test Set C--Q21-2

Question:  When 3, 3-dimethyl 2-butanol is heated with H2SO4, the major product obtained is

  • a) 2, 3-dimethyl 2-butene
  • b) cis and trans isomers of 2, 3-dimethyl 2-butene
  • c) 2, 3-dimethyl 1-butene
  • d) 3, 3-dimethyl 1-butene

Answer: 2, 3-dimethyl 2-butene

 

Question:  Decreasing order of reactivity of hydrogen halide acids in the conversion of ROH → RX is

  • a) HCl > HBr > HI > HF
  • b) HI > HBr > HCl > HF
  • c) HF > HCl > HBr > HI
  • d) HF > HBr > HI > HCl

Answer: HI > HBr > HCl > HF

 

Question:  Which reagent converts propene to 1-propanol?

  • a) H2O, H2SO4
  • b) B2H6, H2O2, OH
  • c) B2H6, H2O2, OH
  • d) Aq. KOH

Answer: B2H6, H2O2, OH

 

Question: n-propyl alcohol and isopropyl alcohol can be chemically distinguished by which reagent?

  • a) PCl5  
  • b) Reduction
  • c) Oxidation with potassium dichromate
  • d) Ozonolysis

Answer: Oxidation with potassium dichromate

 

Question: Which one of the following will not form a yellow precipitate on heating with an alkaline solution of iodine?

  • a) CH3CH(OH)CH3  
  • b) CH3CH2CH(OH)CH3
  • c) CH3OH  
  • d) CH3CH2OH

Answer:  CH3OH  

 

Question: The general molecular formula, which represents the homologous series of alkanols is

  • a) CnH2n + 2
  • b) CnH2nO2
  • c) CnH2n
  • d) CnH2n + 1O

Answer: CnH2n + 2

 

Question:  On heating glycerol with conc. H2SO4, a compound is obtained which has bad odour. The compound is

  • a) Acrolein
  • b) Formic acid
  • c) Allyl alcohol
  • d) Glycerol sulphate

Answer: Acrolein

 

Question:  The correct acidic order of the following is

NEET Chemistry Alcohols Phenols and Ethers Online Test Set D-Q30

  • a) I > II > III
  • b) III > I > II
  • c) II > III > I
  • d) I > III > II

Answer: III > I > II

 

Question:  When phenol is treated with CHCland NaOH, the product formed is

  • a) Benzaldehyde
  • b) Salicylaldehyde
  • c) Salicylic acid
  • d) Benzoic acid

Answer: Salicylaldehyde

 

Question: The compound which does not react with sodium, is

  • a) CH3COOH  
  • b) CH3– CHOH – CH3
  • c) C2H5OH 
  • d) CH3– O – CH3

Answer:  CH3– O – CH3

 

Question:  Reaction of 

NEET Chemistry Alcohols Phenols and Ethers Online Test Set D-Q33

with RMgX leads to formation of

  • a) RCH2CH2OH 
  • b) RCHOHCH3
  • c) RCHOHR
  • d)

    NEET Chemistry Alcohols Phenols and Ethers Online Test Set D-Q33-4

Answer:  RCH2CH2OH 

 

Question: Which of the following will not be soluble in sodium hydrogen carbonate?

  • a) 2,4,6-trinitrophenol
  • b) Benzoic acid
  • c) o-Nitrophenol
  • d) Benzenesulphonic acid

Answer: o-Nitrophenol

 

Question:  IUPAC name of HOCH2CH2OH is:

  • a) Ethylene glycol
  • b) Ethane-1,2-diol
  • c) Ethyl-1,2-diol
  • d) Ethylene diol

Answer: Ethane-1,2-diol

 

Question: Which among the following show tautomerism?

  • a) Alcohols
  • b) Phenol
  • c) Ethers
  • d) Anisole

Answer: Phenol

 

Question: Alcohols and ethers are

  • a) Position isomers
  • b) Functional isomers
  • c) Chain isomers
  • d) Metamers

Answer: Functional isomers

 

Question: How many minimum number of carbons are needed for an optically active ether?

  • a) 2
  • b) 3
  • c) 4
  • d) 5

Answer: 5

 

Question:

NEET Chemistry Alcohols Phenols and Ethers Online Test Set D-Q14

The final product is

  • a) Alkyl chloride
  • b) Alkyl sulphate
  • c) Alkene
  • d) Ether

Answer: Alkyl chloride

 

Question: Grignard reagent is suitable reagent for the preparation of which of the following, from carbonyl compound?

  • a) 1° alcohols
  • b) 2° alcohols
  • c) 3° alcohols
  • d) All of these

Answer: All of these

 

Question: Lowest boiling point is for

  • a) Butanol
  • b) Pentanol
  • c) 2-methyl propane-2-ol
  • d) 2-methyl butane-2-ol

Answer:  2-methyl propane-2-ol

 

Question:  3° alkyl halides form alcohols preferably via

  • a) SN2  
  • b) SN1
  • c) Transition state
  • d) SNi

Answer:  SN1

 

Question:  1° alcohols preferably undergo dehydration via

  • a) E1
  • b) E2
  • c) SN
  • d) SN2

Answer: E2

 

Question: Lucas test is used to distinguish

  • a) Phenols
  • b) Ethers
  • c) Alcohols
  • d) Alkyl halides

Answer: Alcohols

 

Question: In Lucas test immediate turbidity is caused by

  • a) 3° alcohols
  • b) 2° alcohols
  • c) 1° alcohols 
  • d) Phenol

Answer:  3° alcohols

 

Question: Phenols can be distinguished from alcohols by

  • a) FeCl3(neutral)
  • b) Fehling solution
  • c) Tollen’s reagent
  • d) 2,4-DNP

Answer:   FeCl3(neutral)

 

Question: Electrophile in Reimer-Tiemann reaction

  • a) CHCl3
  • b) : CH2
  • c) : CCl2
  • d) CO2

Answer: : CCl2

  

Question: Order of nucleophilicity is

  • a) CH3O < C2H5O
  • b) C2H5O < C2H5S
  • c) CH3O < CH3S   
  • d) All of these

Answer: All of these

 

Question: In Reimer-Tiemann reaction, the major product is

  • a) Ortho isomer due to intra molecular H-bonding
  • b) Meta isomer
  • c) Para isomer due to symmetry
  • d) None of these

Answer: Ortho isomer due to intra molecular H-bonding

 

Question:  Which of the following will not give positive test with neutral FeCl3?

  • a) Nitrophenol
  • b) Phenol
  • c) Allyl alcohol
  • d) o-cresol

Answer: Allyl alcohol

 

Question: Reaction of t-butyl bromide with sodium methoxide produces

  • a) Sodium t-butoxide 
  • b) t-butyl methyl ether
  • c) Isobutane
  • d) Isobutylene

Answer: Isobutylene

 

Question: More acidic than ethanol is

  • a) CH3CH2CH2CH2CH2CH2CH2CH3
  • b) CH3CO2CH2CH3 
  • c) CH3COCH2COCH3
  • d) CH3COCH3

Answer:  CH3COCH2COCH3

 

Biomolecule
Biomolecule MCQs
Chemical Bonding
Chemical Bonding MCQs
Chemical Thermodynamics
Chemical Thermodynamics MCQs
Chemistry in Everyday Life
In Everyday Life MCQs
Classification of Elements
Classification of Elements MCQs
D and F Block Elements
D and F Block Elements MCQs
Isolation of Metals
Isolation of Metals MCQs
Organic Chemistry
Organic Chemistry MCQs
Organic Compound Containing Halogens
Organic Compounds Containing Halogens MCQs
Organic Compound Containing Nitrogen
Organic Compound Containing Nitrogen MCQs
Organic Compounds
Organic Compounds MCQs
Organic Compounds Containing Oxygen
Organic Compounds Containing Oxygen MCQs
P Block Elements
P Block Elements MCQs
Practicals
Practicals MCQs
Redox Reactions and Electrochemistry
Redox Reactions and Electrochemistry MCQs
S Block Elements
S Block Elements MCQs
States of Matter
States of Matter MCQs
Structure of Atom
Structure of Atom MCQs

MCQs for Alcohols Phenols and Ethers Chemistry NEET

Students can use these MCQs for Alcohols Phenols and Ethers to quickly test their knowledge of the chapter. These multiple-choice questions have been designed as per the latest syllabus for NEET Chemistry released by NEET. Our expert teachers suggest that you should practice daily and solving these objective questions of Alcohols Phenols and Ethers to understand the important concepts and better marks in your school tests.

Alcohols Phenols and Ethers NCERT Based Objective Questions

Our expert teachers have designed these Chemistry MCQs based on the official NCERT book for NEET. We have identified all questions from the most important topics that are always asked in exams. After solving these, please compare your choices with our provided answers. For better understanding of Alcohols Phenols and Ethers, you should also refer to our NCERT solutions for NEET Chemistry created by our team.

Online Practice and Revision for Alcohols Phenols and Ethers Chemistry

To prepare for your exams you should also take the NEET Chemistry MCQ Test for this chapter on our website. This will help you improve your speed and accuracy and its also free for you. Regular revision of these Chemistry topics will make you an expert in all important chapters of your course.

FAQs

Where can I access latest NEET Chemistry Alcohols Phenols and Ethers MCQs Set 02?

You can get most exhaustive NEET Chemistry Alcohols Phenols and Ethers MCQs Set 02 for free on StudiesToday.com. These MCQs for NEET Chemistry are updated for the 2026-27 academic session as per NEET examination standards.

Are Assertion-Reasoning and Case-Study MCQs included in the Chemistry NEET material?

Yes, our NEET Chemistry Alcohols Phenols and Ethers MCQs Set 02 include the latest type of questions, such as Assertion-Reasoning and Case-based MCQs. 50% of the NEET paper is now competency-based.

How do practicing Chemistry MCQs help in scoring full marks in NEET exams?

By solving our NEET Chemistry Alcohols Phenols and Ethers MCQs Set 02, NEET students can improve their accuracy and speed which is important as objective questions provide a chance to secure 100% marks in the Chemistry.

Do you provide answers and explanations for NEET Chemistry Alcohols Phenols and Ethers MCQs Set 02?

Yes, Chemistry MCQs for NEET have answer key and brief explanations to help students understand logic behind the correct option as its important for 2026 competency-focused NEET exams.

Can I practice these Chemistry NEET MCQs online?

Yes, you can also access online interactive tests for NEET Chemistry Alcohols Phenols and Ethers MCQs Set 02 on StudiesToday.com as they provide instant answers and score to help you track your progress in Chemistry.