Question. Which of the following groups of following formula involved in peptide bond between different amino acids?
(a) 2 and 3
(b) 1 and 3
(c) 1 and 4
(d) 2 and 4
Question.
.

Question.

.
Which of the above is Zwitterionic form?
(a) A
(b) C
(c) B
(d) All
Question. Match correctly between Column I and Column II –
(a) Polypeptides
(b) Enzymes
(c) Amino acid
(d) Protein
Question.
(a) Polypeptides
(b) Enzymes
(c) Amino acid
(d) Protein
Question. In some places a protein molecule may be folded back on itself. This is called ________ structure and folds or coils are held together in place by ______.
(a) 2°, H – bonds
(b) 2°, Peptide bond
(c) 3°, H – bonds
(d) 1°, Peptide bond
Question. A protein has how many terminal amino acids are called _________?
(a) 2; N-terminal amino acid and C – terminal amino acid
(b) 3; N-terminal amino acid, C-terminal amino acid, R – terminal amino acid
(c) 1; C-terminal amino acid
(d) 4; N-terminal amino acid
Question.
(a) X is C-terminal amino acid and Y is N-terminal acid
(b) Both X and Y are C-terminal amino acids
(c) X is N-terminal amino acid and Y is C-terminal amino acid
(d) Both X and Y are N-terminal amino acid
Question. The primary structure of a protein is determined by its –
(a) Disulfide brides
(b) α-helix structure
(c) Order of amino acids
(d)3D structure
Question. A β-pleated sheet organization in a polypeptide chain is an example of –
(a) 1°structure
(b) 2° structure
(c) 3° Structure
(d) 4° structure
Question. The _____ structure of a protein relates to how separate polypeptides assemble together –
(a) 1°
(b) 2°
(c) 3°
(d) 4°
Question. An α helix is the example of which level of protein structure?
(a) 1°
(b) 2°
(c) 3°
(d) 4°

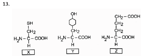
The correct name of X, Y and Z amino acids are –
(a) Glutamic acid, tyrosine and cysteine respectively
(b) Tyrosine, cysteine and glutamic acid
(c) Cysteine, tyrosine and glutamic acid respectively
(d) Cysteine, glutamic acid and tyrosine respectively
Question. The overall three dimensional shape of polypeptide is called the –
(a) 1° structure
(b) 2° structure
(c) 3° structure
(d) 4° structure
Question. Which is the highest structural organization found in all enzymes?
(a) 2°
(b) 3°
(c) 1°
(d) 4°
Question.
What is the structure enclosed by a box?
(a) Amino acid
(b) Peptide bond
(c) Glycosidic bond
(d) Zwitterion
Question. Arachnidonic acid and palmatic acids have many carbons in each of them –
(a) 16, 16
(b) 16, 20
(c) 20, 16
(d) 18, 18
Question. Lecithin is –
(a) Phospholipid
(b) Carbohydrate
(c) Protein
(d) Amino acid
Question. This molecule is related to –
(a) Phospholipid
(b) Lecithin
(c) Cholesterol
(d) Oleic acid
Question. Which of following diagrams represents a molecule of simple lipid?
(a) a
(b) b
(c) c
(d) d
Question.
The above diagram represent the nitrogenous bases. Identify the correct combination –
(a) A = Adenine; B = Thymine
(b) A = Guanine; B = Thymine
(c) A = Adenine; B = Uracil
(d) A = Guanine; B = Uracil
Question.
A is –
(a) Glycosidic bond
(b) Phosphate bond
(c) Ester bond
(d) Ionic bond
Question. Plants produce an enormous diversity of substances that have no apparent roles in growth and development processes are classified under the heading of –
(a) Primary metabolites
(b) Secondary metabolites
(c) Necessary metabolites
(d) Tertiary metabolites
(a) Glucose
(b) Ribose
(c) Sucrose
(d) Deoxyribose
Question. The below structural formula belongs to –
(a) Glucose
(b) Ribose
(c) Sucrose
(d) Deoxyribose
Question. Which kind of reaction is shown by the following diagram?
(a) Hydrolysis
(b) Dehydration
(c) Denaturation
(d) Hydration