NEET Biology Biomolecules MCQs Set 02

Practice NEET Biology Biomolecules MCQs Set 02 provided below. The MCQ Questions for NEET Biomolecules Biology with answers and follow the latest NEET/ NCERT and KVS patterns. Refer to more Chapter-wise MCQs for NEET NEET Biology and also download more latest study material for all subjects

MCQ for NEET Biology Biomolecules

NEET Biology students should review the 50 questions and answers to strengthen understanding of core concepts in Biomolecules

Biomolecules MCQ Questions NEET Biology with Answers

Question. Match the terms in columns – I with suitable terms in column – II :

  Column – I                           Column – II
P. Glucose                             i (C6 H10O5)n
Q. Maltose                            ii R-COOH
R. Glycogen                          iii (CH2O)n=m
S. Fatty acids                        iv Cn(H2O)n-1
a) P iv Q i R iii S ii
b) P iv Q iii R i S ii
c) P iii Q iv R ii S i
d) P iii Q iii R i S ii
 
Answer: D
 
Question. Match the terms in column-I with suitable terms in column-II
 
   Column – I                           Column – II
P. C6H10O5                               i Glyceraldehyde
Q. C3H6O                              ii Galactose
R. C5H10O                             iii Ribulose
S. C6H12O                             iv Deoxy ribose sugar 
a) P i Q iii R ii S iv
b) P iv Q iii R ii S i
c) P iii Q i R iv S ii
d) P i Q iii R ii S iv
 
Answer: C
 
Question. Match the terms in column-I with suitable terms in column-II.
 
            Column – I                            Column – II
P. Butyric acid                           i Long chain Unsaturated fatty acid
Q. Stearic acid                          ii Short chain Unsaturated fatty acid
R. Oleic acid                             iii Short chain Saturated fatty acid
S. Crotonic acid                        iv Long chain Saturated fatty acid
a) P iii Q iv R i S ii
b) P iii Q i R iv S ii
c) P iv Q iii R i S ii
d) P iv Q iii R ii S I
 
Answer: A
 
Question. Match the terms in column-I with suitable terms in column-II.
 
 Column – I                      Column – II
P. Glucose                   i Stored food in plants
Q. ellulose                  ii Reserve food in animals
R. Starch                   iii The plant cell wall
S. Glycogen               iv Most widely used in respiration
a) P iv Q iii R ii S i
b) P iv Q iii R i S ii
c) P iii Q i R iv S ii
d) P iii Q iv R ii S i
 
Answer: B
 
Question. Match the terms in column-I with suitable terms in column-II.
 
  Column – I                  Column – II
P. Glycosidic bond           i Triglycerides
Q. Ester bond                 ii Dinucleotide
R. Peptide bond              iii Disaccharide
S. Phosphodiester bond   iv Dipeptide
a) P i Q iii R ii S iv
b) P iii Q iv R i S ii
c) P iii Q i R iv S ii
d) P ii Q iv R iv S iii
 
Answer: C
 
Question. Match the terms in column-I with suitable terms in column-II
 
   Column – I                                 Column – II
P. PGAL                                   i The plant cell wall
Q. Oleic acid                            ii Plasma membrane and membrane of organiles.
R.Glycerol                               iii Unsaturated fatty acid
S. Phospholipid                       iv Phosphate aldotriose sugar
T Cellulose                             v Trihydroxy alcohol
a) P v Q iv R i S ii T iii
b) P iv Q v R ii S i T iii
c) P iii Q iv R ii S v T i
d) P iv Q iii R v S ii T i
 
Answer: D
 
Question. Which the following is the word regarding steroids is not correct?
a) Cortisone
b) Progesterone
b) Glycolipid
d) Ergosterol
 
Answer: C
 
Question. Which of the following statement regarding to properties of starch is not correct?
a) Present of amylose and amylopectin chains.
b) Stored food in plants.
c) Soluble in water.
d) Not sweet.
 
Answer: C
 
Question. Which one of the following pairs is not correctly matched?
a) Triose sugar→Glyceraldehyde →Aldo sugar.
b) Pentose sugar→Ribulose →Keto sugar.
c) Hexoses sugar→Fructose →Aldo sugar.
d) Triose sugar →Dihydroxy acetose →Keto sugar.
 
Answer: C
 
Question. Which the folowing pair regarding to biological importance of carbohydrates is not correctly matched?
a) Cellulose→Forms the plant cell wall.
b) Glycogen →Reserve food in animals.
c) Ribose sugar→Structural components of ATP.
d) Galactose→The most widely used in respiration.
 
Answer: D
 
Question. Which the following regarding to examples of Keto sugar is not correctly?
a) Fructose
b) Ribulose
c) Ribose sugar
d) Dihydroxy acetose.
 
Answer: C
 
Question. Which of the following pairs is not correctly matched?
a) Butter – Glycerol + 3 Fatty acids.
b) Waxes – Monohydroxy alcohol + 1 Fatty acid.
c) Cortisone – Present of –COOH or >C=O group.
d) Glycolipid – Glycerol + Lipid.
 
Answer: D

Question. Which of the following option is not correctly for this molecule?
a) It is Keto hexoses sugar.
b) Hydrolysis of a molecule of maltose
c) It can pass through the cell membarane
d) Found in the juice of fruits.

Answer: B

Question. Which one of the following pairs is not correctly matched?
a) Galactose – Lactose
b) Fructose – Glucose
c) Fructose – Galactose
d) Ribose – Deoxyribose.

Answer: A

Question. Which one of the following pairs is not correctly matched?
a) Triose sugar – DHAP.
b) Starch – amylase and amyloprectin.
c) Phospholipid – plasma membarane.
d) Cortisone – sterols.

Answer: D

Question. Which one of the following pairs is correctly matched?
a) Fats → Long saturated Fatty acidss chain.
b) Derivatives of Lipid → Vitamins A, D, E.
c) Deoxyribose → RNA.
d) Glycogen →Forms the plant cell wall.

Answer: A

Question. Lipids are relatively insoluble in….
a) Chloroform
b) Water
b) Benzene
d) Ether.

Answer: B

Question. Which of the following statement regarding the Fatty acid is not correct?
a) Unsaturated fatty acids are two successive carbon atoms at certain places therein are linked by a double bond.
b) Saturated fatty acids are capable of accepting hydrogen or halogen atoms.
c) Butyric acid and palmitic acids are Saturated fatty acids
d) Crotonic acid and oleic acid are Unsaturated fatty acids.

Answer: B

Question. Which of the following statement regarding to Lipid is not correct?
a) Lipids are of three types i Simple ii Complex iii Steroids
b) The lipids are a heterogenous group of compounds related to Fatty acids.
c) Lipids are the important constituents of the diet because of their high energy value.
d) Lipids are formed of C, H and O atoms, The number of H atom is less than ahat of O.

Answer: D

Question. Which of the following statement regarding to Amylase is not correct?
a) Unbranched polysaccharide chains made up of glucose units.
b) Amylase occur in the constitution of glycogen.
c) Amylase occur in more amount in starch.
d) None of these.

Answer: B

More Questions.....................................

 

Question: In the formation of triglyceride, glycerol get linked with any Fatty acids by

  • a) –COOH
  • b) –CHO
  • c) >C=O
  • d) –NH2

Answer: –COOH

 

Question:  Which of the following the correct option for statement P and statement Q.

P : Steroids do not contain Fatty acids.

Q : In the structure of wax an alcohol molecule is one monohydroxy alcohol

  • a) If both ‘A’ and ‘R’ true and ‘R’ is a correct explaination of’ A’
  • b) If both ‘A’ and ‘R’ true and ‘R’ isnot a correct explaination of’A
  • c) If A is ture the R is false
  • d) If A is false the R is ture

Answer: If both ‘A’ and ‘R’ true and ‘R’ is a correct explaination of’ A’

 

Question: Which of the following the correct option for statement P and statement Q.

P : The presence of lipid is inevitable for the activity of glucose phosphatase.

Q : Copper is co-factor for the activation of enzymes like phosphatase.

  • a) If A is ture the R is false
  • b) If A is false the R is ture
  • c) If both ‘A’ and ‘R’ true and ‘R’ isnot a correct explaination of’A
  • d) If both ‘A’ and ‘R’ true and ‘R’ is a correct explaination of’ A’

Answer: If A is ture the R is false

 

Question:  Which of the following the correct option for statement P and statement Q.

P : Cortisone molecules which contain only Carboxyl (-COOH) or keto C>C=O group.

Q : Cortisone do not contain Fatty acids

  • a) If both ‘A’ and ‘R’ true and ‘R’ is a correct explaination of’ A’
  • b) If both ‘A’ and ‘R’ true and ‘R’ isnot a correct explaination of’A
  • c) If A is ture the R is false
  • d) If A is false the R is ture

Answer: If both ‘A’ and ‘R’ true and ‘R’ is a correct explaination of’ A’

 

Question:  Which of the following the correct option for statement P and statement Q.

P : In animal the food is stored as glycogen

Q : Amylase and amylopectin are occuring in the constitution of glycogen

  • a) If A is ture the R is false
  • b) If A is false the R is ture
  • c) If both ‘A’ and ‘R’ true and ‘R’ isnot a correct explaination of’A
  • d) If both ‘A’ and ‘R’ true and ‘R’ is a correct explaination of’ A’

Answer: If A is ture the R is false

 

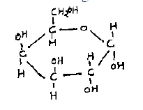
Question: Which of the following structure shows the molecules

d1

  • a) Glucose
  • b) Fructose
  • c) Galactose
  • d) None of these

Answer: Glucose

 

Question: Which of the following structure show the types of sugar

d2

  • a) Keto pentose sugar
  • b) Keto triose sugar
  • c) Aldo pentose sugar
  • d) Aldo triose sugar

Answer: Keto pentose sugar

 

Question: Which molecules are the consist of a following molecule structure?

d3

  • a) 1 glycerol + 3 fatty acid
  • b) 3 glycerol + 1 fatty acid
  • c) 3 glycerol + 3 fatty acid
  • d) glycerol + fatty acid

Answer: 1 glycerol + 3 fatty acid

 

Question: Which of the following the general formula of Carbohydrate?

d4

  • a) Cn(H2O)n-1
  • b) Cn(H2O)m
  • c) C6H1O5)n
  • d) None of these

Answer: Cn(H2O)n-1

 

Question: Which sentence is suitable for this diagram

d5

  • a) Long chain unsaturated Fatty acid
  • b) Long chain saturated Fatty acid
  • c) Short chain unsaturated Fatty acid
  • d) Short chain saturated Fatty acid

Answer: Long chain unsaturated Fatty acid

 

Question:

A : Cholesterol do not contain Fatty acids.

R : Cholesterol do not contain Carboxyl (- COOH) or Keto (>C=O) group.

  • a) If both the assertion and the reason are true and the reason is not a correct explanation of the assertion.
  • b) If both the assertion and the reason are true and the reason is a correct explanation of the assertion.
  • c) Assertion is true but the reason is false.
  • d) Assertion is false but the reason is True

Answer: If both the assertion and the reason are true and the reason is not a correct explanation of the assertion.

 

Question:

A :Palmitic acids are long chain unsaturated fatty acid.

R :Two successive carbon atoms at certain places there in are linked by double bond.

  • a) Assertion is true but the reason is false.
  • b) Assertion is false but the reason is True
  • c) If both the assertion and the reason are true and the reason is not a correct explanation of the assertion
  • d) If both the assertion and the reason are true and the reason is a correct explanation of the assertion

Answer: Assertion is true but the reason is false.

 

Question:

A :Amylopectin chains occur in the constitution of glycogen.

R : In animal the food is stored as glycogen.

  • a) If both the assertion and the reason are true and the reason is not a correct explanation of the assertion.
  • b) If both the assertion and the reason are true and the reason is a correct explanation of the assertion.
  • c) Assertion is true but the reason is false.
  • d) Assertion is false but the reason is True

Answer: If both the assertion and the reason are true and the reason is not a correct explanation of the assertion.

 

Question:

A : Lipids are insoluble in water.

R : In structure of lipid the number of H atoms is much more than that of O.

  • a) If both the assertion and the reason are true and the reason is not a correct explanation of the assertion
  • b) If both the assertion and the reason are true and the reason is a correct explanation of the assertion.
  • c) Assertion is true but the reason is false
  • d) Assertion is false but the reason is True

Answer: If both the assertion and the reason are true and the reason is not a correct explanation of the assertion

 

Question:

A : Vitamins A, D and E are fat soluble

R : Vitamins D and E are synthesized from the derivatives of lipids

  • a) If both the assertion and the reason are true and the reason is not a correct explanation of the assertion.
  • b) If both the assertion and the reason are true and the reason is a correct explanation of the assertion.
  • c) Assertion is true but the reason is false.
  • d) Assertion is false but the reason is True

Answer: If both the assertion and the reason are true and the reason is not a correct explanation of the assertion.

 

Question:

A : Hydrolysis of a molecule of sucrose yields glucose + fructose.

R : Hydrolysis of disaccharide yields two molecules of monosaccharide

  • a) If both the assertion and the reason are true and the reason is a correct explanation of the assertion
  • b) If both the assertion and the reason are true and the reason is not a correct explanation of the assertion.
  • c) Assertion is true but the reason is false.
  • d) Assertion is false but the reason is True

Answer: If both the assertion and the reason are true and the reason is a correct explanation of the assertion

 

Question:  Assertion (P) and (Q) type Questions

A : DHAP is an example of the phosphate of ketotriose sugar.

R : DHAP formed during respiration.

  • a) If both the assertion and the reason are true and the reason is not a correct explanation of the assertion.
  • b) Assertion is true but the reason is false.
  • c) Assertion is false but the reason is True
  • d) Assertion is false but the reason is True

Answer: If both the assertion and the reason are true and the reason is not a correct explanation of the assertion.

 

Question:  Assertion (P) and (Q) type Questions

A : Polysaccharide, Protiens compounds have molecular weights in the range of ten thousand Daltons and above.

R : The exception of Lipids, have molecular weights in the range of ten thousand Daltons and above.

  • a) If both the assertion and the reason are true and the reason is not a correct explanation of the assertion.
  • b) If both the assertion and the reason are true and the reason is a correct explanation of the assertion.
  • c) Assertion is true but the reason is false
  • d) Assertion is false but the reason is True

Answer: If both the assertion and the reason are true and the reason is not a correct explanation of the assertion.

 

Question:  Assertion (P) and (Q) type Questions

A : The myelin sheath around the nerve fibre contain lipid.

R : That prevents the passage of nerve impulses in the adjacent nerve fibres.

  • a) If both the assertion and the reason are true and the reason is a correct explanation of the assertion.
  • b) If both the assertion and the reason are true and the reason is not a correct explanation of the assertion.
  • c) Assertion is true but the reason is false
  • d) Assertion is false but the reason is True

Answer: If both the assertion and the reason are true and the reason is a correct explanation of the assertion.

 

Question:  Assertion (P) and (Q) type Questions

A : In acts as a solvent for fat soluble vitamins .

R : Vitamins A, B, C, E are fat soluble.

  • a) Assertion is true but the reason is false
  • b) Assertion is false but the reason is True
  • c) If both the assertion and the reason are true and the reason is not a correct explanation of the assertion.
  • d) If both the assertion and the reason are true and the reason is a correct explanation of the assertion.

Answer: Assertion is true but the reason is false

 

Question:  Assertion (P) and (Q) type Questions

A : Oleic acid contain 18 carbon atoms and two successive carbon atoms at certain places therein are linked by double bond.

R : Oleic acid are long chain unsaturated fatty acid

  • a) If both the assertion and the reason are true and the reason is a correct explanation of the assertion.
  • b) If both the assertion and the reason are true and the reason is not a correct explanation of the assertion
  • c) Assertion is true but the reason is false
  • d) Assertion is false but the reason is True

Answer: If both the assertion and the reason are true and the reason is a correct explanation of the assertion.

 

Question:  Assertion (P) and (Q) type Questions

A : The general formula of disaccharide is Cn(H2O)n-1

R : The formula of sucrose is C12H22O11

  • a) If both the assertion and the reason are true and the reason is a correct explanation of the assertion.
  • b) If both the assertion and the reason are true and the reason is not a correct explanation of the assertion
  • c) Assertion is true but the reason is false
  • d) Assertion is false but the reason is True

Answer: If both the assertion and the reason are true and the reason is a correct explanation of the assertion.

 

Question:  Assertion (P) and (Q) type Questions

A : Complex lipid which contain a non lipid constituent in addition ti alcohol and fatty acids.

R : Phospholipid and Glycolipid are example of complex lipid

  • a) If both the assertion and the reason are true and the reason is not a correct explanation of the assertion.
  • b) If both the assertion and the reason are true and the reason is a correct explanation of the assertion.
  • c) Assertion is true but the reason is false.
  • d) Assertion is false but the reason is True

Answer: If both the assertion and the reason are true and the reason is not a correct explanation of the assertion.

 

Question:  Assertion (P) and (Q) type Questions

A: In the structure of oils, a molecules of three fatty acids and one glycerol.

R : In the structure of oils only one Glycosidic bond.

  • a) Assertion is true but the reason is false
  • b) Assertion is false but the reason is True
  • c) If both the assertion and the reason are true and the reason is not a correct explanation of the assertion.
  • d) If both the assertion and the reason are true and the reason is a correct explanation of the assertion.

Answer: Assertion is true but the reason is false

 

Question: Assertion (P) and (Q) type Questions

A: The subcutaneous fat layer under the skin, which maintains body temperature.

R : Lipid form an insulating layer.

  • a) If both the assertion and the reason are true and the reason is a correct explanation of the assertion.
  • b) If both the assertion and the reason are true and the reason is not a correct explanation of the assertion.
  • c) Assertion is true but the reason is false.
  • d) Assertion is false but the reason is True

Answer: If both the assertion and the reason are true and the reason is a correct explanation of the assertion.

 

Question:  Assertion (P) and (Q) type Questions

A : In the structure of wax one molecule of monohydroxy alcohol.

R : Lipids such as wax form a protective layer on the outer surface of the aerial plant organs

  • a) If both the assertion and the reason are true and the reason is not a correct explanation of the assertion.
  • b) If both the assertion and the reason are true and the reason is a correct explanation of the assertion.
  • c) Assertion is true but the reason is false.
  • d) Assertion is false but the reason is True

Answer: If both the assertion and the reason are true and the reason is not a correct explanation of the assertion.

 

Question: Assertion (P) and (Q) type Questions

A: In plants food is stored as starch.

R : Starch is made up of amylase and amylopectin

  • a) If both the assertion and the reason are true and the reason is not a correct explanation of the assertion
  • b) If both the assertion and the reason are true and the reason is a correct explanation of the assertion
  • c) Assertion is true but the reason is false.
  • d) Assertion is false but the reason is True

Answer: If both the assertion and the reason are true and the reason is not a correct explanation of the assertion

 

Question: Assertion (P) and (Q) type Questions

A: In fish liver oil, glycerol is present as alcohol.

R : Glycerol are monohydroxy alcohol.

  • a) Assertion is true but the reason is false.
  • b) If both the assertion and the reason are true and the reason is not a correct explanation of the assertion
  • c) If both the assertion and the reason are true and the reason is a correct explanation of the assertion
  • d) Assertion is false but the reason is True

Answer: Assertion is true but the reason is false.

 

Question: Which of the following group is not organic group?

  • a) Co-factors, Hormones, Water, Minerals
  • b) Fats, Proteins , Enzymes, Hormones
  • c) Proteins, Carbohydrates, Nucleic acid, Hormones
  • d) Proteins, Carbohydrates, Fats, Enzymes

Answer: Co-factors, Hormones, Water, Minerals

 

Question: The middle Lamella is made up of _____

  • a) Calcium pectate
  • b) Muramic acid
  • c) Phosphoglycerol
  • d) Hemicellulose

Answer: Calcium pectate

 

Question: The chemical formula of starch is……

  • a) (C6H10O5)n
  • b) (C6H12O6)n
  • c) C12H22O11
  • d) CH3COOH

Answer:  (C6H10O5)n

 

Question: Find out the wrongly matched pair

  • a) Cellulose - Heteropolymer
  • b) Protein - Insulin
  • c) Secondary metabolite - Insulin
  • d) Primary metabolite - Ribose

Answer: Cellulose - Heteropolymer

 

Question: Chitin is a ___

  • a) Nitrogenous polysaccharide
  • b) Polysaccharide
  • c) Lipoprotein
  • d) Protein

Answer: Nitrogenous polysaccharide

 

Question: In a polysaccharide, the individual monosaccharides are linked by a......

  • a) Glycosidic bond
  • b) Peptide bond
  • c) Ester bond
  • d) Phosphodiester bond

Answer: Glycosidic bond

 

Question: Carbohydrates are commonly found as starch in plant storage organs which of the following five properties of starch make it useful as a storage material?

P. Easily transported.

Q. Chemically non reactive.

R. Easily digested by animals.

S. Osmotically inactive.

T. Synthesized during photosynthesis

  • a) Q and S
  • b) P and T
  • c) Q and R
  • d) P, R and T

Answer: Q and S

 

Question: Match the items in column-I with items in column-II and the correct answer.

Column – I                Column – II

P Triglyceride            i Animal hormones

Q Membrane lipid      ii Feathers and leaves

R Steroid                  iii Phospholipids

S Wax                      iv Fat stored in the form of droplets

  • a) P iv Q iii R i S ii
  • b) P iv Q i R iii S ii
  • c) P iii Q iv R i S ii
  • d) P iv Q i R ii S iii

Answer: P iv Q iii R i S ii

 

Question: Find out the correct combination 

i) Triose sugar – Ribose.

ii) Starch – amylase and amylopectin

iii) Plasma membarane – phospholipid

iv) Malanin – sterols

v) Pitutary hormones – peptide.

  • a) Only ii, iii and v
  • b) Only I and iii
  • c) Only ii, iii and iv
  • d) Only I, ii and iii

Answer:  Only ii, iii and v

 

Question: Generally protein and carbohydarte components are found in cow milk…

  • a) Casin, Lactose
  • b) Globulin, Casin
  • c) Casin, Fructose
  • d) Albumin, Lactose

Answer: Casin, Lactose

 

Question: Starch and Cellulose are the compounds made up to many units of ____

  • a) Simple sugar
  • b) Fatty acid
  • c) Glycerol
  • d) Amino acid

Answer: Simple sugar

 

Question: Which of the following is the characteristic of plants ____

  • a) Cellulose and Starch
  • b) Starch snd Pyruvic acid
  • c) Pyruvic acid and Glucose
  • d) Glucose and Cellulose

Answer: Cellulose and Starch

 

Question: Most common monomer of Carbohydrate is ____

  • a) Glucose
  • b) Sucrose
  • c) Maltose
  • d) Fructose

Answer: Glucose

 

Question: Lipids are insoluble in water because lipid molecules are ____

  • a) Zwitter ions
  • b) Neutral
  • c) Hydrophillic
  • d) Hydrophobic

Answer: Zwitter ions

 

Question: Given below is the chemical formula is ____

66f

  • a) Palmitic acid
  • b) Stearic acid
  • c) Glycerol
  • d) Galactose

Answer: Palmitic acid

 

Question: Given below chemical formula is _____

CH3(CH2)CH = CH(CH2)7COOH

  • a) Ketoglutarate
  • b) Oxalosuccinet
  • c) Oleic acid
  • d) Linolic acid

Answer: Ketoglutarate

 

Question: Which of the following is not a disaccharide?

  • a) Starch
  • b) Maltose
  • c) Sucrose
  • d) Lactose

Answer: Starch

 

Question: The repeating unit of Glycogen is ____

  • a) Mannose
  • b) Fructose
  • c) Glucose
  • d) Galactose

Answer: Mannose

 

Question: Maltose are insoluble in ____

  • a) Acid
  • b) Basic
  • c) Alcohol
  • d) Water

Answer: Acid

 

Question: Which is an organic component found in most cells?

  • a) Glucose
  • b) Lignin
  • c) Sodium chloride
  • d) Oxygen

Answer: Glucose

 

Question:  Match the terms in columns – I with suitable terms in column – II

Column – I      Column – II

P, Glucose      i (c6 H10O5)

Q, Maltose      ii R-COOH

R , Glycogen   iii (CH2O)n=m

S , Fatty acids  iv Cn(H2O)n-1

  • a) P iii Q iii R i S ii
  • b) P iii Q iv R ii S i
  • c) P iv Q iii R i S ii
  • d) P iv Q i R iii S ii

Answer: P iii Q iii R i S ii

 

Question:  Match the terms in column-I with suitable terms in column-II

Column – I         Column – II

P C6H10O5           i Glyceraldehyde

Q C3H6O         ii Galactose

R C5H10O       iii Ribulose

S C6H12O6        iv Deoxy ribose sugar

  • a) P iii Q i R iv S ii
  • b) P i Q iii R ii S iv
  • c) P iv Q iii R ii S i
  • d) P i Q iii R ii S iv

Answer:  P iii Q i R iv S ii

 

Unit - III
Chapter-12 Biomolecules - II

Question. Which of the following cell organelle is stored the information of synthesize Proteins?
a) Mitochondria
b) Nucleus
c) Chloroplast
d) Cell membrane

Answer: B

Question. Which of following elements are stored the information of Proteins?
a) Lipid
b) Polysaccharide
c) Amino acid
d) Nucleic acid

Answer: D

Question. Find out the Miss matched pairs:
a) Protein – important compounds of nucleus
b) Nucleic acid – major components of chromosomes
c) Amino acid – an amphoteric compound
d) Enzymes – Colloidal catalysts

Answer: A

Question. Which of the following are linked together to form Proteins ?
a) Phosphate
b) Nitrogen base
c) Sugar
d) Amino acids

Answer: D

Question. Which one of the following is incorrect for Protein:
a) They transport some nutrients across cell membrane
b) They are heteropolymer of amino acids
c) They possess C, H, O, N and P in their constitution
d) They are very important compounds of cytoplasm

Answer: C

Question. Total numbers of amino acids are involved in protein synthesis in Plants:
a) 10
b) 22
c) 13
d) 20

Answer: D

Question. Which one is the most abundant protein in the animal world?
a) Collagen
b) keratin
c) RUBISCO
d) Hemoglobin

Answer: A

Question. Full form of RUBISCO is:
a) Ribulose Bisulphate Carboxylase Oxygenare
b) Ribuose Biphosphate Carboxylase Oxygenare
c) Ribuose Bisulphate Carboxylase Oxygenare
d) Ribulose Biphosphate Carboxylase Oxygenare

Answer: D

Question. Polypeptide chain of amino acid is:
a) Nucleic acid
b) Glycogen
c) Protein
d) Cellulose

Answer: A

Question. At high temperature proteins are:
a) Destroyed
b) inactive
c) denatured
d) a or b

Answer: D

Question. The structure of protein can be destroyed by which rays
a) Ultra violet rays
b) Infra red rays
c) Radio waves
d) Micro waves

Answer: A

Question. Amino acid is an amphoteric compound because:
a) It contains an amino group and a carboxyl group
b) It contains an amino group and a functional group
c) It contains a functional group and a carboxyl group
d) It contains one H and a-R group

Answer: A

Question. The unique property of each amino acid is determined by its particular:
a) –COOH group
b) –NH2 group
c) –R group
d) peptide bond

Answer: C

Question. Which of the following is the most widely classification method of amino acid:
a) Whittaker method
b) Linnaeus method
c) Ernest chain method
d) Lehninger method

Answer: D

Question. Which one is the correct group of amino acids with polar and negatively Charged –R group?
a) Glutamate, Tyrosine
b) Argentine, Lysine
c) Tryptophan, Proline
d) Glutamate, Aspartic acid

Answer: D

Question. Find out the one group of amino acids which are related with each other:
a) Valine, Histidine
b) Serine, Tyrosine
c) Glutamate, Proline
d) Lysine, Laucine

Answer: B

Question. Aspartic acid and lysine are linkage each other with which bond:
a) Ester bond
b) Glycoside bond
c) Phosphodiaster bond
d) Peptide bond

Answer: D

Question. Amino acids are attached each other with which bond?
a) Ester bonds
b) Hydrogen bonds
c) Sulphur bonds
d) peptide bonds

Answer: D

Question. Dipeptide means:
a) Two similar amino acids attached by peptide bond
b) Two dissimilar amino acids attached by peptide bond
c) Two similar or dissimilar amino acids attached by peptide bond
d) Two similar or dissimilar proteins attached by peptide bond

Answer: C

Question. Which macromolecule is the most diverse in cell and controlling biochemical Properties?
a) Polynucleotide
b) Polysaccharide
c) Polypeptide
d) polysomes

Answer: C

Question. The primary structure of proteins is due to
a) Ionic bonds
b) Peptide bonds
c) Hydrogen bond
d) S-S Linkages

Answer: B

Question. Proteins means
a) Micromolecule
b) Macromolecule
c) Soluble
d) Colloidal

Answer: B

Biodiversity and its Conservation
Biodiversity and its Conservation MCQs
Biotechnology Its applications
Biotechnology Its applications MCQs
Biotechnology Principles and processes
Biotechnology Principles and processes MCQs
Biotechnology Principles and Processes
Biotechnology Principles and Processes MCQs
Body Fluids and Circulation
Body Fluids and Circulation MCQs
Cell Cycle and Cell Divisions
Cell Cycle and Cell Divisions MCQs
Cell structure
Cell structure MCQs
Chemical Coordination and Control
Chemical Coordination and Control MCQs
Classification of Plant Kingdom
Classification of Plant Kingdom MCQs
Cockroach Comparative Study
Cockroach Comparative Study MCQs
Excretory Products
Excretory Products MCQs
Growth and Development In plants
Growth and Development In plants MCQs
Microbes and Human Welfare
Microbes and Human Welfare MCQs
NEET Full Syllabus MCQs
All Chapters MCQs Set 2
Neural Control and Coordination in Animals
Neural Control and Coordination in Animals MCQs
Organism and Population
Organism and Population MCQs
Sexual Reproduction in Flowering Plants
Sexual Reproduction in Flowering Plants MCQs

MCQs for Biomolecules Biology NEET

Students can use these MCQs for Biomolecules to quickly test their knowledge of the chapter. These multiple-choice questions have been designed as per the latest syllabus for NEET Biology released by NEET. Our expert teachers suggest that you should practice daily and solving these objective questions of Biomolecules to understand the important concepts and better marks in your school tests.

Biomolecules NCERT Based Objective Questions

Our expert teachers have designed these Biology MCQs based on the official NCERT book for NEET. We have identified all questions from the most important topics that are always asked in exams. After solving these, please compare your choices with our provided answers. For better understanding of Biomolecules, you should also refer to our NCERT solutions for NEET Biology created by our team.

Online Practice and Revision for Biomolecules Biology

To prepare for your exams you should also take the NEET Biology MCQ Test for this chapter on our website. This will help you improve your speed and accuracy and its also free for you. Regular revision of these Biology topics will make you an expert in all important chapters of your course.

FAQs

Where can I access latest NEET Biology Biomolecules MCQs Set 02?

You can get most exhaustive NEET Biology Biomolecules MCQs Set 02 for free on StudiesToday.com. These MCQs for NEET Biology are updated for the 2026-27 academic session as per NEET examination standards.

Are Assertion-Reasoning and Case-Study MCQs included in the Biology NEET material?

Yes, our NEET Biology Biomolecules MCQs Set 02 include the latest type of questions, such as Assertion-Reasoning and Case-based MCQs. 50% of the NEET paper is now competency-based.

How do practicing Biology MCQs help in scoring full marks in NEET exams?

By solving our NEET Biology Biomolecules MCQs Set 02, NEET students can improve their accuracy and speed which is important as objective questions provide a chance to secure 100% marks in the Biology.

Do you provide answers and explanations for NEET Biology Biomolecules MCQs Set 02?

Yes, Biology MCQs for NEET have answer key and brief explanations to help students understand logic behind the correct option as its important for 2026 competency-focused NEET exams.

Can I practice these Biology NEET MCQs online?

Yes, you can also access online interactive tests for NEET Biology Biomolecules MCQs Set 02 on StudiesToday.com as they provide instant answers and score to help you track your progress in Biology.