NEET Chemistry Haloalkanes and Haloarenes MCQs Set 01

Practice NEET Chemistry Haloalkanes and Haloarenes MCQs Set 01 provided below. The MCQ Questions for NEET Haloalkanes and Haloarenes Chemistry with answers and follow the latest NEET/ NCERT and KVS patterns. Refer to more Chapter-wise MCQs for NEET NEET Chemistry and also download more latest study material for all subjects

MCQ for NEET Chemistry Haloalkanes and Haloarenes

NEET Chemistry students should review the 50 questions and answers to strengthen understanding of core concepts in Haloalkanes and Haloarenes

Haloalkanes and Haloarenes MCQ Questions NEET Chemistry with Answers

 

 

Question: Which of the following is a secondary alkyl halide?

  • a) Isobutyl chloride
  • b) Isopentyl chloride
  • c) Neopentyl chloride
  • d) Isopropyl chloride

Answer: Isopropyl chloride

 

Question: The IUPAC name of the compound

NEET Chemistry Haloalkanes and Haloarenes Online Test Set A-Q2

  • a) 4-Bromobut-2-ene
  • b) 1-Bromobut-2-ene
  • c) 3-Bromobut-2-ene
  • d) Allyl bromide

Answer: 1-Bromobut-2-ene

 

Question: Which of the following may be classified as an aryl halide?

  • a)

    NEET Chemistry Haloalkanes and Haloarenes Online Test Set A-Q3-1

  • b)

    NEET Chemistry Haloalkanes and Haloarenes Online Test Set A-Q3-2

  • c)

    NEET Chemistry Haloalkanes and Haloarenes Online Test Set A-Q3-3

  • d)

    NEET Chemistry Haloalkanes and Haloarenes Online Test Set A-Q3-4

Answer:

NEET Chemistry Haloalkanes and Haloarenes Online Test Set A-Q3-3

 

 

Question: Which of the following belongs to the class of vinyl halides?

  • a)

    NEET Chemistry Haloalkanes and Haloarenes Online Test Set A-Q4-1

  • b)

    NEET Chemistry Haloalkanes and Haloarenes Online Test Set A-Q4-2

  • c)

    NEET Chemistry Haloalkanes and Haloarenes Online Test Set A-Q4-3

  • d)

    NEET Chemistry Haloalkanes and Haloarenes Online Test Set A-Q4-4

Answer:

NEET Chemistry Haloalkanes and Haloarenes Online Test Set A-Q4-2

 

 

Question: Which one of the following reagents will not convert ethyl alcohol into ethyl chloride?

  • a) HCl – ZnCl2  
  • b) CCl4
  • c) PCl 
  • d) SOCl2

Answer:  CCl4

 

Question: The addition of HBr is easiest with

  • a)

    NEET Chemistry Haloalkanes and Haloarenes Online Test Set A-Q6-1

  • b)

    NEET Chemistry Haloalkanes and Haloarenes Online Test Set A-Q6-2

  • c)

    NEET Chemistry Haloalkanes and Haloarenes Online Test Set A-Q6-3

  • d)

    NEET Chemistry Haloalkanes and Haloarenes Online Test Set A-Q6-4

Answer:

NEET Chemistry Haloalkanes and Haloarenes Online Test Set A-Q6-4

 

Question:

NEET Chemistry Haloalkanes and Haloarenes Online Test Set A-Q7

The major product ‘P’ is

  • a)

    NEET Chemistry Haloalkanes and Haloarenes Online Test Set A-Q7-1

  • b)

    NEET Chemistry Haloalkanes and Haloarenes Online Test Set A-Q7-2

  • c)

    NEET Chemistry Haloalkanes and Haloarenes Online Test Set A-Q7-3

  • d)

    NEET Chemistry Haloalkanes and Haloarenes Online Test Set A-Q7-4

Answer:

NEET Chemistry Haloalkanes and Haloarenes Online Test Set A-Q7-1

 

Question: The intermediate during the addition of HCl to propene in presence of peroxide is

  • a)

    NEET Chemistry Haloalkanes and Haloarenes Online Test Set A-Q8-1

  • b)

    NEET Chemistry Haloalkanes and Haloarenes Online Test Set A-Q8-2

  • c)

    NEET Chemistry Haloalkanes and Haloarenes Online Test Set A-Q8-3

  • d)

    NEET Chemistry Haloalkanes and Haloarenes Online Test Set A-Q8-4

Answer:

NEET Chemistry Haloalkanes and Haloarenes Online Test Set A-Q8-2

 

Question:

NEET Chemistry Haloalkanes and Haloarenes Online Test Set A-Q9

  • a)

    NEET Chemistry Haloalkanes and Haloarenes Online Test Set A-Q9-1

  • b)

    NEET Chemistry Haloalkanes and Haloarenes Online Test Set A-Q9-2

  • c)

    NEET Chemistry Haloalkanes and Haloarenes Online Test Set A-Q9-3

  • d)

    NEET Chemistry Haloalkanes and Haloarenes Online Test Set A-Q9-4

Answer:

NEET Chemistry Haloalkanes and Haloarenes Online Test Set A-Q9-2

 

Question: The addition of propene with HOCl proceeds via the addition of

  • a) H+ in the first step
  • b) Cl+ in the first step
  • c) OH in the first step
  • d) Either H+ or OH in first step

Answer:  Cl+ in the first step

 

Question:

NEET Chemistry Haloalkanes and Haloarenes Online Test Set A-Q11

The major product ‘P’ is

  • a)

    NEET Chemistry Haloalkanes and Haloarenes Online Test Set A-Q11-1

  • b)

    NEET Chemistry Haloalkanes and Haloarenes Online Test Set A-Q11-2

  • c)

    NEET Chemistry Haloalkanes and Haloarenes Online Test Set A-Q11-3

  • d)

    NEET Chemistry Haloalkanes and Haloarenes Online Test Set A-Q11-4

Answer:

NEET Chemistry Haloalkanes and Haloarenes Online Test Set A-Q11-2

 

Question:

NEET Chemistry Haloalkanes and Haloarenes Online Test Set A-Q12

  • a)

    NEET Chemistry Haloalkanes and Haloarenes Online Test Set A-Q12-1

  • b)

    NEET Chemistry Haloalkanes and Haloarenes Online Test Set A-Q12-2

  • c)

    NEET Chemistry Haloalkanes and Haloarenes Online Test Set A-Q12-3

  • d)

    NEET Chemistry Haloalkanes and Haloarenes Online Test Set A-Q12-4

Answer:

NEET Chemistry Haloalkanes and Haloarenes Online Test Set A-Q12-2

 

Question:  Which of the following is correct for the reaction?

NEET Chemistry Haloalkanes and Haloarenes Online Test Set A-Q13

  • a) Electrophilic substitution
  • b) Anti-Markovnikov’s addition
  • c) Nucleophilic substitution
  • d) Markovnikov’s addition

Answer: Anti-Markovnikov’s addition

 

Question:

NEET Chemistry Haloalkanes and Haloarenes Online Test Set A-Q13-1

Product (P) is

  • a)

    NEET Chemistry Haloalkanes and Haloarenes Online Test Set A-Q14-1

  • b)

    NEET Chemistry Haloalkanes and Haloarenes Online Test Set A-Q14-2

  • c)

    NEET Chemistry Haloalkanes and Haloarenes Online Test Set A-Q14-3

  • d)

    NEET Chemistry Haloalkanes and Haloarenes Online Test Set A-Q14-4

Answer:

NEET Chemistry Haloalkanes and Haloarenes Online Test Set A-Q14-3

 

Question:

NEET Chemistry Haloalkanes and Haloarenes Online Test Set A-Q15

(Major), Product (P) is

  • a)

    NEET Chemistry Haloalkanes and Haloarenes Online Test Set A-Q15-1

  • b)

    NEET Chemistry Haloalkanes and Haloarenes Online Test Set A-Q15-2

  • c)

    NEET Chemistry Haloalkanes and Haloarenes Online Test Set A-Q15-3

  • d)

    NEET Chemistry Haloalkanes and Haloarenes Online Test Set A-Q15-4

Answer:

NEET Chemistry Haloalkanes and Haloarenes Online Test Set A-Q15-3

 

Question: Which is most stable radical?

  • a) CH3
  • b)

    NEET Chemistry Haloalkanes and Haloarenes Online Test Set A-Q16-2

  • c)

    NEET Chemistry Haloalkanes and Haloarenes Online Test Set A-Q16-3

  • d)

    NEET Chemistry Haloalkanes and Haloarenes Online Test Set A-Q16-4

Answer:

NEET Chemistry Haloalkanes and Haloarenes Online Test Set A-Q16-2

 

Question:

NEET Chemistry Haloalkanes and Haloarenes Online Test Set A-Q17

The reagent R is

  • a) NH3
  • b) H2O
  • c) KCN
  • d) Na/ether

Answer: Na/ether

 

Question: Which of the following halogen exchange reaction will occur in acetone?

  • a)

    NEET Chemistry Haloalkanes and Haloarenes Online Test Set A-Q18-1

  • b)

    NEET Chemistry Haloalkanes and Haloarenes Online Test Set A-Q18-2

  • c)

    NEET Chemistry Haloalkanes and Haloarenes Online Test Set A-Q18-3

  • d)

    NEET Chemistry Haloalkanes and Haloarenes Online Test Set A-Q18-4

Answer:

NEET Chemistry Haloalkanes and Haloarenes Online Test Set A-Q18-3

 

Question:

NEET Chemistry Haloalkanes and Haloarenes Online Test Set A-Q19

P is

  • a)

    NEET Chemistry Haloalkanes and Haloarenes Online Test Set A-Q19-1

  • b)

    NEET Chemistry Haloalkanes and Haloarenes Online Test Set A-Q19-2

  • c)

    NEET Chemistry Haloalkanes and Haloarenes Online Test Set A-Q19-3

  • d)

    NEET Chemistry Haloalkanes and Haloarenes Online Test Set A-Q19-4

Answer:

NEET Chemistry Haloalkanes and Haloarenes Online Test Set A-Q19-2

 

Question:

NEET Chemistry Haloalkanes and Haloarenes Online Test Set A-Q20

the reaction is called

  • a) Nucleophilic substitution
  • b) Free radical addition
  • c) Electrophilic substitution
  • d) Free radical substitution

Answer: Electrophilic substitution

 

Question:

NEET Chemistry Haloalkanes and Haloarenes Online Test Set A-Q21

this reaction is named as

  • a) Sandmeyer
  • b) Swarts
  • c) Wurtz-Fittig
  • d) Finkelstein

Answer: Sandmeyer

 

Question: Which is most reactive nucleophile in polar protic solvent?

  • a) F
  • b) Cl 
  • c) Br 
  • d) I

Answer:  I

 

Question: Which is most reactive nucleophile in polar aprotic solvent?

  • a) F
  • b) Cl
  • c) Br 
  • d) I

Answer: F

 

Question: Which cannot act as an ambident nucleophile?

  • a) CN– 
  • b) 

    NEET Chemistry Haloalkanes and Haloarenes Online Test Set A-Q24

  • c) SCN
  • d) OH

Answer: OH

 

Question: Which of the following solvent is suitable for SN1 reaction?

  • a) Non-polar
  • b) Polar protic
  • c) Polar aprotic
  • d) All of these

Answer: Polar protic

 

Question:  For SN1 mechanism, which of the following is correct?

  • a) Inversion (100%)
  • b) Formation of carbocation
  • c) Non-polar solvent
  • d) Elimination

Answer: Formation of carbocation

 

Question:

NEET Chemistry Haloalkanes and Haloarenes Online Test Set A-Q28

Product P (major) is

  • a)

    NEET Chemistry Haloalkanes and Haloarenes Online Test Set A-Q28-1

  • b)

    NEET Chemistry Haloalkanes and Haloarenes Online Test Set A-Q28-2

  • c)

    NEET Chemistry Haloalkanes and Haloarenes Online Test Set A-Q28-3

  • d)

    NEET Chemistry Haloalkanes and Haloarenes Online Test Set A-Q28-4

Answer:

NEET Chemistry Haloalkanes and Haloarenes Online Test Set A-Q28-4

 

 

Question:  The reaction,

NEET Chemistry Haloalkanes and Haloarenes Online Test Set A-Q27

proceeds mainly by the mechanism

  • a) SN1
  • b) SN2
  • c) SE1
  • d) SE2

Answer:  SN2

 

Question:

NEET Chemistry Haloalkanes and Haloarenes Online Test Set A-Q29

(B) is

  • a)

    NEET Chemistry Haloalkanes and Haloarenes Online Test Set A-Q29-1

  • b)

    NEET Chemistry Haloalkanes and Haloarenes Online Test Set A-Q29-2

  • c)

    NEET Chemistry Haloalkanes and Haloarenes Online Test Set A-Q29-3

  • d)

    NEET Chemistry Haloalkanes and Haloarenes Online Test Set A-Q29-4

Answer:

NEET Chemistry Haloalkanes and Haloarenes Online Test Set A-Q29-1

 

Question:  An SN2 reaction at an asymmetric carbon of a compound always gives

  • a) An enantiomer of the substrate
  • b) A product with opposite optical rotation
  • c) A mixture of diastereomers
  • d) A product with 100% inversion

Answer: A product with 100% inversion

 

More Questions.................................

 

Question:

NEET Chemistry Haloalkanes and Haloarenes Online Test Set B

the compound (C) is

  • a)

    NEET Chemistry Haloalkanes and Haloarenes Online Test Set B-Q31-1

  • b)

    NEET Chemistry Haloalkanes and Haloarenes Online Test Set B-Q31-2

  • c)

    NEET Chemistry Haloalkanes and Haloarenes Online Test Set B-Q31-3

  • d)

    NEET Chemistry Haloalkanes and Haloarenes Online Test Set B-Q31-4

Answer:

NEET Chemistry Haloalkanes and Haloarenes Online Test Set B-Q31-3

 

Question:   Which one is the most reactive towards SN1 reaction?

  • a)

    NEET Chemistry Haloalkanes and Haloarenes Online Test Set B-Q32-1

  • b)

    NEET Chemistry Haloalkanes and Haloarenes Online Test Set B-Q32-2

  • c)

    NEET Chemistry Haloalkanes and Haloarenes Online Test Set B-Q32-3

  • d)

    NEET Chemistry Haloalkanes and Haloarenes Online Test Set B-Q32-4

Answer:

NEET Chemistry Haloalkanes and Haloarenes Online Test Set B-Q32-4

 

Question:

NEET Chemistry Haloalkanes and Haloarenes Online Test Set B-Q33

The reaction goes through

  • a) SN1  
  • b) SN2
  • c) E2
  • d) E1

Answer: SN2

 

Question:  The order of E2 elimination for alkyl halide is

  • a) 1° > 2° > 3°
  • b) 3° > 2° > 1°
  • c) 2° > 3° > 1°
  • d) 3° > 1° > 2°

Answer: 3° > 2° > 1°

 

Question:  2-Bromopentane is heated with EtO- Nain ethanol. The major product obtained is

  • a) 2-Ethoxypentane
  • b) Pent-1-ene
  • c) Isobutane
  • d) Pent-2-ene

Answer: Pent-2-ene

 

Question:

NEET Chemistry Haloalkanes and Haloarenes Online Test Set B-Q36

B is

  • a)

    NEET Chemistry Haloalkanes and Haloarenes Online Test Set B-Q36-1

  • b)

    NEET Chemistry Haloalkanes and Haloarenes Online Test Set B-Q36-2

  • c)

    NEET Chemistry Haloalkanes and Haloarenes Online Test Set B-Q36-3

  • d)

    NEET Chemistry Haloalkanes and Haloarenes Online Test Set B-Q36-4

Answer:

NEET Chemistry Haloalkanes and Haloarenes Online Test Set B-Q36-4

 

Question:

NEET Chemistry Haloalkanes and Haloarenes Online Test Set B-Q37

Product (P) is

  • a)

    NEET Chemistry Haloalkanes and Haloarenes Online Test Set B-Q37-1

  • b)

    NEET Chemistry Haloalkanes and Haloarenes Online Test Set B-Q37-2

  • c)

    NEET Chemistry Haloalkanes and Haloarenes Online Test Set B-Q37-3

  • d)

    NEET Chemistry Haloalkanes and Haloarenes Online Test Set B-Q37-4

Answer:

NEET Chemistry Haloalkanes and Haloarenes Online Test Set B-Q37-4

 

Question:

NEET Chemistry Haloalkanes and Haloarenes Online Test Set B-Q38

  • a) N2
  • b) CHCl3/KOH (alcoholic)
  • c) NH3
  • d) KCN

Answer:  CHCl3/KOH (alcoholic)

 

Question: Which of the following acts as a poisonous gas?

  • a) COCl2 
  • b) CCl2F2
  • c) Benzene
  • d) CH3Cl

Answer:  COCl2 

 

Question: Which of the following is used as fire extinguisher under the name pyrene?

  • a) CO 
  • b) CCl4
  • c) CH2= CH—Cl 
  • d) Cl—CH = CH—Cl

Answer:  CCl4

 

Question: Which of the following is used as a refrigerant?

  • a) COCl2 
  • b) CCl4
  • c) CF 
  • d) CF2Cl2

Answer:  CF2Cl2

 

Question: Which of the following is known as freon 12?

  • a) CHCl 
  • b) CCl2F2
  • c) Ph-COCH2Cl  
  • d) Ph – Cl

Answer:  CCl2F2

 

Question:  (p-ClC6H4)2 CHCCl3  is used as a/an

  • a) Antiseptic for wounds
  • b) Insecticide
  • c) Pyrene
  • d) Refrigerant

Answer: Insecticide

 

Question: Which one of the following is gem-dihalide?

  • a) CH3CHBr2 
  • b) CH2Br –CH2Br
  • c) CH3CHBrCH2Br
  • d) CH3CHBrCH2BH2Br Or CH3CHBrCH2B–H2Br Or CH3CHBrCH2CH2Br

Answer: CH3CHBr2 

 

Question:  Which of the following is least reactive towards SN2 mechanism?

  • a)

    NEET Chemistry Haloalkanes and Haloarenes Online Test Set B-SB-Q1

  • b)

    NEET Chemistry Haloalkanes and Haloarenes Online Test Set B-SB-Q1-2

  • c)

    NEET Chemistry Haloalkanes and Haloarenes Online Test Set B-SB-Q1-3

  • d)

    NEET Chemistry Haloalkanes and Haloarenes Online Test Set B-SB-Q1-4

Answer:

NEET Chemistry Haloalkanes and Haloarenes Online Test Set B-SB-Q1-3

 

Question:

NEET Chemistry Haloalkanes and Haloarenes Online Test Set B-SB-Q2

How many moles of CH3OH required to react completely with B ?

  • a) One
  • b) Two
  • c) Three
  • d) Four

Answer: Two

 

Question:  CHIis used as a/an 

  • a) Antiseptic for wounds
  • b) Insecticide
  • c) Pyrene
  • d) Refrigerant

Answer: Antiseptic for wounds

 

Question:

NEET Chemistry Haloalkanes and Haloarenes Online Test Set B-SB-Q3

  • a) Optically active cyanide
  • b) Optically inactive acid
  • c) Optically active acid
  • d) Optically active aldehyde

Answer: Optically inactive acid

 

Question: Which of the following is the least volatile?

  • a) CH3—CH2—CH2—F  
  • b) CH3—CH2—CH2—Cl
  • c)

    NEET Chemistry Haloalkanes and Haloarenes Online Test Set B-SB-1

  • d) CH3—CH2—CH2—Br

Answer:  CH3—CH2—CH2—Br

 

Question: Which of the following will be readily soluble in water?

  • a)

    NEET Chemistry Haloalkanes and Haloarenes Online Test Set B-SB-Q5-1

  • b)

    NEET Chemistry Haloalkanes and Haloarenes Online Test Set B-SB-Q5-2

  • c)

    NEET Chemistry Haloalkanes and Haloarenes Online Test Set B-SB-Q5-3

  • d)

    NEET Chemistry Haloalkanes and Haloarenes Online Test Set B-SB-Q5-4

Answer:

NEET Chemistry Haloalkanes and Haloarenes Online Test Set B-SB-Q5-2

 

Question: Which one of the following is a free-radical substitution reaction?

  • a)

    NEET Chemistry Haloalkanes and Haloarenes Online Test Set B-SB-Q6-1

  • b)

    NEET Chemistry Haloalkanes and Haloarenes Online Test Set B-SB-Q6-2

  • c)

    NEET Chemistry Haloalkanes and Haloarenes Online Test Set B-SB-Q6-3

  • d) CH3CHO + HCN—→ CH3CH(OH)CN

Answer:

NEET Chemistry Haloalkanes and Haloarenes Online Test Set B-SB-Q6-1

 

 

Question: Which of the following compounds undergoes nucleophilic substitution reaction most easily?

  • a)

    NEET Chemistry Haloalkanes and Haloarenes Online Test Set B-SB-Q7-1

  • b)

    NEET Chemistry Haloalkanes and Haloarenes Online Test Set B-SB-Q7-2

  • c)

    NEET Chemistry Haloalkanes and Haloarenes Online Test Set B-SB-Q7-3

  • d)

    NEET Chemistry Haloalkanes and Haloarenes Online Test Set B-SB-Q7-4

Answer:

NEET Chemistry Haloalkanes and Haloarenes Online Test Set B-SB-Q7-3

 

 

Question: Replacement of Cl of chlorobenzene to give phenol requires drastic conditions. But chlorine of 2, 4-dinitrochlorobenzene is readily replaced

  • a) NO2 donates electron at meta position 
  • b) NO2 withdraws electron from ortho/para positions
  • c) NO2 make ring electron rich at ortho & para
  • d) NO2 withdraws electron from meta position

Answer: NO2 withdraws electron from ortho/para positions

 

Question: Chloropicrin is obtained by the reaction of

  • a) Steam on carbon tetrachloride
  • b) Nitric acid on chlorobenzene
  • c) Chlorine on pricric acid
  • d) Nitric acid on chloroform

Answer: Nitric acid on chloroform

 

Question:  The reaction of toluene with Cl2 in presence of FeCl3 gives X and reaction in presence of light gives Y. Thus, X and Y are

  • a) X = Benzyl chloride, Y = m-chlorotoluene
  • b) X = Benzal chloride, Y = o-chlorotoluene
  • c) X = m-chlorotoluene, Y = p-chlorotoluene
  • d) Y = o- and p-chlorotoluene, Y = Trichloromethyl benzene

Answer:  Y = o- and p-chlorotoluene, Y = Trichloromethyl benzene

 

Question: Ethylidene chloride reacts with aq. KOH to form which of the following compound?

  • a) Acetaldehyde
  • b) Ethylene glycol
  • c) Ethyl alcohol
  • d) Acetic acid

Answer: Acetaldehyde

 

Question:

NEET Chemistry Haloalkanes and Haloarenes Online Test Set B-SB-Q11

What is B?

  • a)

    NEET Chemistry Haloalkanes and Haloarenes Online Test Set B-SB-Q11-1

  • b)

    NEET Chemistry Haloalkanes and Haloarenes Online Test Set B-SB-Q11-2

  • c)

    NEET Chemistry Haloalkanes and Haloarenes Online Test Set B-SB-Q11-3

  • d)

    NEET Chemistry Haloalkanes and Haloarenes Online Test Set B-SB-Q11-4

Answer:

NEET Chemistry Haloalkanes and Haloarenes Online Test Set B-SB-Q11-4

 

 

Question:  The correct order of reactivity of the following compounds towards aqueous NaCN will be

NEET Chemistry Haloalkanes and Haloarenes Online Test Set B-SB-Q13

  • a) I > II > III > IV
  • b) I > IV > II > III
  • c) IV > II > I > III
  • d) IV > II > III > I

Answer: IV > II > III > I

 

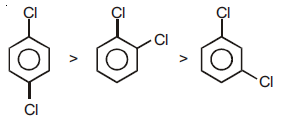
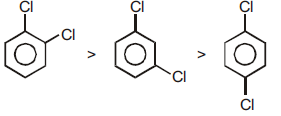
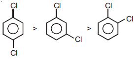
Question: Which among the following is the correct order of melting point?

  • a)

    NEET Chemistry Haloalkanes and Haloarenes Online Test Set B-SB-Q13-1

  • b)

    NEET Chemistry Haloalkanes and Haloarenes Online Test Set B-SB-Q13-2

  • c)

    NEET Chemistry Haloalkanes and Haloarenes Online Test Set B-SB-Q13-3

  • d)

    NEET Chemistry Haloalkanes and Haloarenes Online Test Set B-SB-Q13-4

Answer:

NEET Chemistry Haloalkanes and Haloarenes Online Test Set B-SB-Q13-3

 

Question:

NEET Chemistry Haloalkanes and Haloarenes Online Test Set B-SB-Q15

For which of the following G, above reaction will be the fastest?

  • a) –OH  
  • b) –CH3 
  • c) –NO2
  • d) –CHO

Answer:  –NO2

 

Biomolecule
Biomolecule MCQs
Chemical Bonding
Chemical Bonding MCQs
Chemical Thermodynamics
Chemical Thermodynamics MCQs
Chemistry in Everyday Life
In Everyday Life MCQs
Classification of Elements
Classification of Elements MCQs
D and F Block Elements
D and F Block Elements MCQs
Isolation of Metals
Isolation of Metals MCQs
Organic Chemistry
Organic Chemistry MCQs
Organic Compound Containing Halogens
Organic Compounds Containing Halogens MCQs
Organic Compound Containing Nitrogen
Organic Compound Containing Nitrogen MCQs
Organic Compounds
Organic Compounds MCQs
Organic Compounds Containing Oxygen
Organic Compounds Containing Oxygen MCQs
P Block Elements
P Block Elements MCQs
Practicals
Practicals MCQs
Redox Reactions and Electrochemistry
Redox Reactions and Electrochemistry MCQs
S Block Elements
S Block Elements MCQs
States of Matter
States of Matter MCQs
Structure of Atom
Structure of Atom MCQs

MCQs for Haloalkanes and Haloarenes Chemistry NEET

Students can use these MCQs for Haloalkanes and Haloarenes to quickly test their knowledge of the chapter. These multiple-choice questions have been designed as per the latest syllabus for NEET Chemistry released by NEET. Our expert teachers suggest that you should practice daily and solving these objective questions of Haloalkanes and Haloarenes to understand the important concepts and better marks in your school tests.

Haloalkanes and Haloarenes NCERT Based Objective Questions

Our expert teachers have designed these Chemistry MCQs based on the official NCERT book for NEET. We have identified all questions from the most important topics that are always asked in exams. After solving these, please compare your choices with our provided answers. For better understanding of Haloalkanes and Haloarenes, you should also refer to our NCERT solutions for NEET Chemistry created by our team.

Online Practice and Revision for Haloalkanes and Haloarenes Chemistry

To prepare for your exams you should also take the NEET Chemistry MCQ Test for this chapter on our website. This will help you improve your speed and accuracy and its also free for you. Regular revision of these Chemistry topics will make you an expert in all important chapters of your course.

FAQs

Where can I access latest NEET Chemistry Haloalkanes and Haloarenes MCQs Set 01?

You can get most exhaustive NEET Chemistry Haloalkanes and Haloarenes MCQs Set 01 for free on StudiesToday.com. These MCQs for NEET Chemistry are updated for the 2026-27 academic session as per NEET examination standards.

Are Assertion-Reasoning and Case-Study MCQs included in the Chemistry NEET material?

Yes, our NEET Chemistry Haloalkanes and Haloarenes MCQs Set 01 include the latest type of questions, such as Assertion-Reasoning and Case-based MCQs. 50% of the NEET paper is now competency-based.

How do practicing Chemistry MCQs help in scoring full marks in NEET exams?

By solving our NEET Chemistry Haloalkanes and Haloarenes MCQs Set 01, NEET students can improve their accuracy and speed which is important as objective questions provide a chance to secure 100% marks in the Chemistry.

Do you provide answers and explanations for NEET Chemistry Haloalkanes and Haloarenes MCQs Set 01?

Yes, Chemistry MCQs for NEET have answer key and brief explanations to help students understand logic behind the correct option as its important for 2026 competency-focused NEET exams.

Can I practice these Chemistry NEET MCQs online?

Yes, you can also access online interactive tests for NEET Chemistry Haloalkanes and Haloarenes MCQs Set 01 on StudiesToday.com as they provide instant answers and score to help you track your progress in Chemistry.