NEET Chemistry Haloalkanes and Haloarenes MCQs Set 02

Practice NEET Chemistry Haloalkanes and Haloarenes MCQs Set 02 provided below. The MCQ Questions for NEET Haloalkanes and Haloarenes Chemistry with answers and follow the latest NEET/ NCERT and KVS patterns. Refer to more Chapter-wise MCQs for NEET NEET Chemistry and also download more latest study material for all subjects

MCQ for NEET Chemistry Haloalkanes and Haloarenes

NEET Chemistry students should review the 50 questions and answers to strengthen understanding of core concepts in Haloalkanes and Haloarenes

Haloalkanes and Haloarenes MCQ Questions NEET Chemistry with Answers

 

 

Question: Which of the following is least reactive towards nucleophilic substitution?

  • a)

    NEET Chemistry Haloalkanes and Haloarenes Online Test Set B-SB-Q16-1

  • b)

    NEET Chemistry Haloalkanes and Haloarenes Online Test Set B-SB-Q16-2

  • c)

    NEET Chemistry Haloalkanes and Haloarenes Online Test Set B-SB-Q16-3

  • d)

    NEET Chemistry Haloalkanes and Haloarenes Online Test Set B-SB-Q16-4

Answer:

NEET Chemistry Haloalkanes and Haloarenes Online Test Set B-SB-Q16-4

 

Question:  Among the following

NEET Chemistry Haloalkanes and Haloarenes Online Test Set B-SB-Q17

The correct order of reactivity towards ArSN mechanism is

  • a) I > III > II > IV
  • b) I > II > IV > III
  • c) III > II > IV > I
  • d) I > IV > II > III

Answer: I > IV > II > III

 

Question:  Which of the following does not give yellow precipitate with AgNO3?

  • a) (CH3)3C—CH2—I
  • b) CH2==CH—CH2—I
  • c)

    NEET Chemistry Haloalkanes and Haloarenes Online Test Set B-SB-Q18

  • d)

    NEET Chemistry Haloalkanes and Haloarenes Online Test Set B-SB-Q18-4

Answer:

NEET Chemistry Haloalkanes and Haloarenes Online Test Set B-SB-Q18

 

 

Question:

NEET Chemistry Haloalkanes and Haloarenes Online Test Set B-SB-Q19

What is C?

  • a) CH3–CH3
  • b)

    NEET Chemistry Haloalkanes and Haloarenes Online Test Set B-SB-Q19-2

  • c)

    NEET Chemistry Haloalkanes and Haloarenes Online Test Set B-SB-Q19-3

  • d) CH2= CH2

Answer:  CH3–CH3

 

Question:

NEET Chemistry Haloalkanes and Haloarenes Online Test Set B-SB-Q20

The product (C) is

  • a)

    NEET Chemistry Haloalkanes and Haloarenes Online Test Set B-SB-Q20-1

  • b)

    NEET Chemistry Haloalkanes and Haloarenes Online Test Set B-SB-Q20-2

  • c)

    NEET Chemistry Haloalkanes and Haloarenes Online Test Set B-SB-Q20-3

  • d) Mixture of (1) & (2)

Answer: Mixture of (1) & (2)

 

Question:  In the given reaction

NEET Chemistry Haloalkanes and Haloarenes Online Test Set B-SB-Q21

The product will be

  • a) Cis-2-butene
  • b) Trans-2-butene
  • c) 2-butyne
  • d) Buta-1, 3-diene

Answer: Trans-2-butene

 

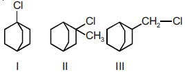
Question: Under identical conditions, solvolysis of which of the following substrate would lead to maximum racemisation?

  • a)

    NEET Chemistry Haloalkanes and Haloarenes Online Test Set B-SB-Q22-1

  • b)

    NEET Chemistry Haloalkanes and Haloarenes Online Test Set B-SB-Q22-2

  • c)

    NEET Chemistry Haloalkanes and Haloarenes Online Test Set B-SB-Q22-3

  • d)

    NEET Chemistry Haloalkanes and Haloarenes Online Test Set B-SB-Q22-4

Answer:

NEET Chemistry Haloalkanes and Haloarenes Online Test Set B-SB-Q22-2

 

Question:  The correct orders of reactivity towards SN1 reaction is

NEET Chemistry Haloalkanes and Haloarenes Online Test Set B-SB-Q23

  • a) I > II > III
  • b) II > III > I
  • c) III > II > I
  • d) I > III > II

Answer: II > III > I

 

Question:  When cis-but-2-ene is treated with Br2 in CCl4 medium the product formed will be 

  • a) (2R, 3S) dibromobutane
  • b) (2R, 3R) dibromobutane
  • c) (2S, 3S) dibromobutane
  • d) Mixture of (2R, 3R) and (2S, 3S) dibromobutane

Answer: Mixture of (2R, 3R) and (2S, 3S) dibromobutane

 

Question:

NEET Chemistry Haloalkanes and Haloarenes Online Test Set B-SB-Q25

Above equilibrium is more towards right because

  • a) NaI is more reactive than NaCl
  • b) CH3I is more reactive than CH3Cl
  • c) NaCl is less soluble than NaI in acetone
  • d) It is Finkelstein’s reaction

Answer: NaCl is less soluble than NaI in acetone

 

Question:   Two possible stereo-structures of CH3CHOH.COOH, which are optically active, are called 

  • a) Enantiomers
  • b) Mesomers
  • c) Diastereomers
  • d) Atropisomers

Answer: Enantiomers

  

Question:  In an SN1 reaction on chiral centres, there is 

  • a) 100% retention
  • b) 100% inversion
  • c) 100% racemization
  • d) Inversion more than retention leading to partial racemization

Answer: Inversion more than retention leading to partial racemization

 

Question:   In which of the following compounds, the C – Cl bond ionisation shall give most stable carbonium ion?

  • a)

    NEET Chemistry Haloalkanes and Haloarenes Online Test Set C-Q3

  • b)

    NEET Chemistry Haloalkanes and Haloarenes Online Test Set C-Q3-2

  • c)

    NEET Chemistry Haloalkanes and Haloarenes Online Test Set C-Q3-3

  • d)

    NEET Chemistry Haloalkanes and Haloarenes Online Test Set C-Q3-4

Answer:

NEET Chemistry Haloalkanes and Haloarenes Online Test Set C-Q3-3

 

 

Question:   What products are formed when the following compound is treated with Brin the presence of FeBr3?

NEET Chemistry Haloalkanes and Haloarenes Online Test Set C-Q4

  • a)

    NEET Chemistry Haloalkanes and Haloarenes Online Test Set C-Q4-1

  • b)

    NEET Chemistry Haloalkanes and Haloarenes Online Test Set C-Q4-2

  • c)

    NEET Chemistry Haloalkanes and Haloarenes Online Test Set C-Q4-3

  • d)

    NEET Chemistry Haloalkanes and Haloarenes Online Test Set C-Q4-4

Answer:

NEET Chemistry Haloalkanes and Haloarenes Online Test Set C-Q4-3

 

 

Question:   Which of the following compounds will undergo racemisation when solution of KOH hydrolyses ?

NEET Chemistry Haloalkanes and Haloarenes Online Test Set C-Q5

  • a) (i) and (ii)
  • b) (ii) and (iv)
  • c) (iii) and (iv)
  • d) (i) and (iv)

Answer: (i) and (iv)

 

Question:  In the replacement reaction

NEET Chemistry Haloalkanes and Haloarenes Online Test Set C-Q6

The reaction will be most favourable if M happens to be

  • a) Na
  • b) K
  • c) Rb
  • d) Li

Answer: Li

 

Question: Which of the following compounds undergoes nucleophilic substitution reaction most easily ?

  • a)

    NEET Chemistry Haloalkanes and Haloarenes Online Test Set C-Q7-1

  • b)

    NEET Chemistry Haloalkanes and Haloarenes Online Test Set C-Q7-2

  • c)

    NEET Chemistry Haloalkanes and Haloarenes Online Test Set C-Q7-3

  • d)

    NEET Chemistry Haloalkanes and Haloarenes Online Test Set C-Q7-4

Answer:

NEET Chemistry Haloalkanes and Haloarenes Online Test Set C-Q7-3

 

 

Question:  Consider the reactions

NEET Chemistry Haloalkanes and Haloarenes Online Test Set C-Q8

The mechanisms of reactions (i) and (ii) are respectively

  • a) SN2 and SN
  • b) SN2 and SN1
  • c) SN1 and SN2  
  • d) SN1 and SN1

Answer: SN2 and SN

 

Question:  The correct order of increasing reactivity of C–X bond towards nucleophile in the following compound is

NEET Chemistry Haloalkanes and Haloarenes Online Test Set C-Q9

  • a) I < II < IV < III
  • b) II < III < I < IV
  • c) IV < III < I < II
  • d) III < II < I < IV

Answer: I < II < IV < III

 

Question:  Which one is most reactive towards SN1 reaction ? 

  • a) C6H5CH(C6H5)Br  
  • b) C6H5CH(CH3)Br
  • c) C6H5C(CH3) (C6H5)Br 
  • d) C6H5CH2Br

Answer: C6H5C(CH3) (C6H5)Br 

 

More Questions............................................

 

Question: Which of the following reactions is an example of nucleophilic substitution reaction?

  • a) 2 RX + 2 Na → R–R + 2 NaX  
  • b) RX + H2→RH + HX
  • c) RX + Mg →RMgX 
  • d) RX + KOH →ROH + KX

Answer:  RX + KOH →ROH + KX

 

Question:

NEET Chemistry Haloalkanes and Haloarenes Online Test Set C-Q13

A (predominantly) is

  • a)

    NEET Chemistry Haloalkanes and Haloarenes Online Test Set C-Q13-1

  • b)

    NEET Chemistry Haloalkanes and Haloarenes Online Test Set C-Q13-2

  • c)

    NEET Chemistry Haloalkanes and Haloarenes Online Test Set C-Q13-3

  • d)

    NEET Chemistry Haloalkanes and Haloarenes Online Test Set C-Q13-4

Answer:

NEET Chemistry Haloalkanes and Haloarenes Online Test Set C-Q13-3

 

 

Question:  In a SN2 substitution reaction of the type

NEET Chemistry Haloalkanes and Haloarenes Online Test Set C-Q14

Which one of the following has the highest relative rate?

  • a) CH3CH2Br  
  • b) CH3–CH2–CH2Br
  • c)

    NEET Chemistry Haloalkanes and Haloarenes Online Test Set C-Q14-3

  • d)

    NEET Chemistry Haloalkanes and Haloarenes Online Test Set C-Q14-4

Answer: CH3CH2Br  

 

Question: If there is no rotation of plane polarized light by a compound in a specific solvent, thought to be chiral, it may mean that

  • a) The compound may be a racemic mixture
  • b) The compound is certainly a chiral
  • c) The compound is certainly meso
  • d) There is no compound in the solvent

Answer: The compound is certainly meso

 

Question:  Which of the following undergoes nucleophilic substitution exclusively by SN1 mechanism ?

  • a) Benzyl chloride
  • b) Ethyl chloride
  • c) Chlorobenzene
  • d) Isopropyl chloride

Answer: Benzyl chloride

 

Question:  The chirality of the compound

NEET Chemistry Haloalkanes and Haloarenes Online Test Set C-Q18

is

  • a) R
  • b) S
  • c) Z
  • d) E

Answer: R

 

Question:  For the following

a. I

b. Cl

c. Br

The increasing order of nucleophilicity would be 

  • a) Br < Cl < I– 
  • b) I < Br < Cl–   
  • c) Cl < Br < l  
  • d) I < Cl < Br

Answer:  Cl < Br < l  

 

Question:

NEET Chemistry Haloalkanes and Haloarenes Online Test Set C-Q19

‘C’ has the formula C5H12  which can give four isomeric monochloro derivative. What is the structure of C5H11Br?

  • a)

    NEET Chemistry Haloalkanes and Haloarenes Online Test Set C-Q19-1

  • b)

    NEET Chemistry Haloalkanes and Haloarenes Online Test Set C-Q19-2

  • c)

    NEET Chemistry Haloalkanes and Haloarenes Online Test Set C-Q19-3

  • d)

    NEET Chemistry Haloalkanes and Haloarenes Online Test Set C-Q19-4

Answer:

NEET Chemistry Haloalkanes and Haloarenes Online Test Set C-Q19-1

 

 

Question:   CD2= CH – CH2– Br is subjected to SN1 and SN2 reactions separately, which of the following statement is correct?

  • a) Both SN1 and SN2 give two products
  • b) Both SN1 and SN2 give only one product
  • c) SN1 gives two products but SN2 gives only one product 
  • d) SN1 gives one product but SN2 gives two products

Answer:  SN1 gives two products but SN2 gives only one product 

 

Question:   In the following reaction,

NEET Chemistry Haloalkanes and Haloarenes Online Test Set C-Q11

the product 'X' is

  • a) C6H5CH2OCH2C6H5
  • b) C6H5CH2OH  
  • c) C6H5CH3 
  • d) C6H5CH2CH2C6H5

Answer:  C6H5CH3 

 

Question: In Finkelstein reaction when acetone is replaced by water then

  • a) Reaction occurs in forward direction via SN1 pathway
  • b) Reaction occurs in forward direction via SN2 pathway
  • c) Reaction occurs in backward because NaCl formed in right hand side is soluble in water and cannot ppt.out
  • d) Reaction is not possible

Answer: Reaction occurs in backward because NaCl formed in right hand side is soluble in water and cannot ppt.out

 

Question: Which graph is incorrect?

  • a)

    NEET Chemistry Haloalkanes and Haloarenes Online Test Set D-Q22

  • b)

    NEET Chemistry Haloalkanes and Haloarenes Online Test Set D-Q22-2

  • c)

    NEET Chemistry Haloalkanes and Haloarenes Online Test Set D-Q22-3

  • d)

    NEET Chemistry Haloalkanes and Haloarenes Online Test Set D-Q22-4

Answer:

NEET Chemistry Haloalkanes and Haloarenes Online Test Set D-Q22-3

 

Question:  Which will undergo fastest SN2 substitution reaction when treated with NaOH?

  • a)

    NEET Chemistry Haloalkanes and Haloarenes Online Test Set D-Q23-1

  • b)

    NEET Chemistry Haloalkanes and Haloarenes Online Test Set D-Q23-2

  • c)

    NEET Chemistry Haloalkanes and Haloarenes Online Test Set D-Q23-3

  • d)

    NEET Chemistry Haloalkanes and Haloarenes Online Test Set D-Q23-4

Answer:

NEET Chemistry Haloalkanes and Haloarenes Online Test Set D-Q23-4

 

 

Question:  Given reaction

NEET Chemistry Haloalkanes and Haloarenes Online Test Set D-Q24

Y in the reaction is

  • a) Hexane
  • b) Cyclohexane
  • c) Cyclohexylcyclohexane
  • d) Cyclohexyl ether

Answer: Cyclohexane

 

Question: Which one of the following alkyl bromides undergoes most rapid solvolysis in methanol solution to give corresponding methyl ether?

  • a)

    NEET Chemistry Haloalkanes and Haloarenes Online Test Set D-Q25-1

  • b)

    NEET Chemistry Haloalkanes and Haloarenes Online Test Set D-Q25-2

  • c)

    NEET Chemistry Haloalkanes and Haloarenes Online Test Set D-Q25-3

  • d)

    NEET Chemistry Haloalkanes and Haloarenes Online Test Set D-Q25-4

Answer:

NEET Chemistry Haloalkanes and Haloarenes Online Test Set D-Q25-1

 

 

Question: Grignard reagent is prepared by the reaction between

  • a) Magnesium and alkane
  • b) Magnesium and aromatic hydrocarbon
  • c) Zinc and alkyl halide
  • d) Magnesium and alkyl halide

Answer: Magnesium and alkyl halide

 

Question: Monobromination of 2-methylbutane gives how many distinct structural isomers?

  • a) One
  • b) Two
  • c) Three
  • d) Four

Answer: Four

 

Question:  The following reaction is described as

NEET Chemistry Haloalkanes and Haloarenes Online Test Set D-Q29

  • a) SN2   
  • b) SN0
  • c) SE2   
  • d) SN1

Answer:  SN2   

 

Question: 2-Bromopentane is heated with potassium ethoxide in ethanol. The major product obtained is

  • a) trans-pentene-2
  • b) Pentene-1
  • c) 2-ethoxypentane
  • d) cis-pentene-2

Answer: trans-pentene-2

 

Question: Reactivity order of halides for dehydrohalogenation is

  • a) R – F > R – Cl > R – Br > R – I
  • b) R – I > R – Br > R – Cl > R – F
  • c) R – I > R – Cl > R – Br > R – F 
  • d) R – F > R – l > R – Br > R – Cl

Answer: R – I > R – Br > R – Cl > R – F

 

Question: Which of the following is not chiral

  • a) 2-hydroxypropanoic acid
  • b) 2-butanol
  • c) 2,3-dibromopentane
  • d) 3-bromopentane

Answer: 3-bromopentane

 

Question:  An organic compound A(C4H9Cl) on reaction with Na/diethyl ether gives a hydrocarbon which on monochlorination gives only one chloro derivative then, A is

  • a) t-butyl chloride
  • b) Secondary butyl chloride
  • c) Isobutyl chloride
  • d) n-butyl chloride

Answer: t-butyl chloride

 

Question: Which of the following compounds is not chiral?

  • a) CH3CHDCH2Cl  
  • b) CH3CH2CHDCl
  • c) DCH2CH2CH2Cl   
  • d) CH3CHClCH2D

Answer:  DCH2CH2CH2Cl   

 

Question: Which of the following is a secondary alkyl halide?

  • a) Isobutyl chloride
  • b) Isopentyl chloride
  • c) Neopentyl chloride
  • d) Isopropyl chloride

Answer: Isopropyl chloride

 

Question:  Which of the following solvent is suitable for SN1 reaction?

  • a) Non-polar
  • b) Polar protic
  • c) Polar aprotic
  • d) All of these

Answer: Polar protic

 

Question: Chloropicrin is obtained by the reaction of

  • a) Steam on carbon tetrachloride
  • b) Nitric acid on chlorobenzene
  • c) Chlorine on pricric acid
  • d) Nitric acid on chloroform

Answer: Nitric acid on chloroform

 

Question: Which of the following is least reactive in a nucleophilic substitution reaction?

  • a) (CH3)3C – Cl 
  • b) CH2= CHCl 
  • c) CH3CH2Cl  
  • d) CH2= CHCH2Cl

Answer: CH2= CHCl 

 

Question: Ethylidene chloride reacts with aq. KOH to form which of the following compound?

  • a) Acetaldehyde
  • b) Ethylene glycol
  • c) Ethyl alcohol
  • d) Acetic acid

Answer: Acetaldehyde

 

Question: Grignard reagent is prepared by the reaction between

  • a) Magnesium and alkane
  • b) Magnesium and aromatic hydrocarbon
  • c) Zinc and alkyl halide
  • d) Magnesium and alkyl halide

Answer: Magnesium and alkyl halide

 

Question: Chloropicrin is obtained by the reaction of

  • a) Steam on carbon tetrachloride
  • b) Nitric acid on chlorobenzene
  • c) Chlorine on pricric acid
  • d) Nitric acid on chloroform

Answer: Nitric acid on chloroform

 

Question:

NEET Chemistry Haloalkanes and Haloarenes Online Test Set A-Q7

The major product ‘P’ is

  • a)

    NEET Chemistry Haloalkanes and Haloarenes Online Test Set A-Q7-1

  • b)

    NEET Chemistry Haloalkanes and Haloarenes Online Test Set A-Q7-2

  • c)

    NEET Chemistry Haloalkanes and Haloarenes Online Test Set A-Q7-3

  • d)

    NEET Chemistry Haloalkanes and Haloarenes Online Test Set A-Q7-4

Answer:

NEET Chemistry Haloalkanes and Haloarenes Online Test Set A-Q7-1

 

Question: Which of the following is not chiral?

  • a) 2-hydroxypropanoic acid
  • b) 2-butanol
  • c) 2,3-dibromopentane
  • d) 3-bromopentane

Answer: 3-bromopentane

 

Question: Which of the following is least reactive in a nucleophilic substitution reaction?

  • a) (CH3)3C – Cl 
  • b) CH2= CHCl
  • c) CH3CH2Cl  
  • d) CH2= CHCH2Cl

Answer:  CH2= CHCl

 

Question: Which of the following compounds is not chiral?

  • a) CH3CHDCH2Cl 
  • b) CH3CH2CHDCl
  • c) DCH2CH2CH2Cl 
  • d) CH3CHClCH2D

Answer: DCH2CH2CH2Cl 

 

Question: Monobromination of 2-methylbutane gives how many distinct structural isomers?

  • a) One
  • b) Two
  • c) Three
  • d) Four

Answer: Four

 

Question:  Two possible stereo-structures of CH3CHOH.COOH, which are optically active, are called 

  • a) Enantiomers
  • b) Mesomers
  • c) Diastereomers
  • d) Atropisomers

Answer: Enantiomers

 

Question:

NEET Chemistry Haloalkanes and Haloarenes Online Test Set B-SB-Q25

Above equilibrium is more towards right because

  • a) NaI is more reactive than NaCl
  • b) CH3I is more reactive than CH3Cl
  • c) NaCl is less soluble than NaI in acetone
  • d) It is Finkelstein’s reaction

Answer: NaCl is less soluble than NaI in acetone

 

Question:  In the given reaction

NEET Chemistry Haloalkanes and Haloarenes Online Test Set B-SB-Q21

The product will be

  • a) Cis-2-butene
  • b) Trans-2-butene
  • c) 2-butyne
  • d) Buta-1, 3-diene

Answer:  Trans-2-butene

 

Question:

NEET Chemistry Haloalkanes and Haloarenes Online Test Set B-SB-Q19

What is C? 

  • a) CH3–CH3
  • b)

    NEET Chemistry Haloalkanes and Haloarenes Online Test Set B-SB-Q19-2

  • c)

    NEET Chemistry Haloalkanes and Haloarenes Online Test Set B-SB-Q19-3

  • d) CH2= CH2

Answer:  CH3–CH3

 

Question: Chloropicrin is obtained by the reaction of

  • a) Steam on carbon tetrachloride
  • b) Nitric acid on chlorobenzene
  • c) Chlorine on pricric acid
  • d) Nitric acid on chloroform

Answer: Nitric acid on chloroform

Biomolecule
Biomolecule MCQs
Chemical Bonding
Chemical Bonding MCQs
Chemical Thermodynamics
Chemical Thermodynamics MCQs
Chemistry in Everyday Life
In Everyday Life MCQs
Classification of Elements
Classification of Elements MCQs
D and F Block Elements
D and F Block Elements MCQs
Isolation of Metals
Isolation of Metals MCQs
Organic Chemistry
Organic Chemistry MCQs
Organic Compound Containing Halogens
Organic Compounds Containing Halogens MCQs
Organic Compound Containing Nitrogen
Organic Compound Containing Nitrogen MCQs
Organic Compounds
Organic Compounds MCQs
Organic Compounds Containing Oxygen
Organic Compounds Containing Oxygen MCQs
P Block Elements
P Block Elements MCQs
Practicals
Practicals MCQs
Redox Reactions and Electrochemistry
Redox Reactions and Electrochemistry MCQs
S Block Elements
S Block Elements MCQs
States of Matter
States of Matter MCQs
Structure of Atom
Structure of Atom MCQs

MCQs for Haloalkanes and Haloarenes Chemistry NEET

Students can use these MCQs for Haloalkanes and Haloarenes to quickly test their knowledge of the chapter. These multiple-choice questions have been designed as per the latest syllabus for NEET Chemistry released by NEET. Our expert teachers suggest that you should practice daily and solving these objective questions of Haloalkanes and Haloarenes to understand the important concepts and better marks in your school tests.

Haloalkanes and Haloarenes NCERT Based Objective Questions

Our expert teachers have designed these Chemistry MCQs based on the official NCERT book for NEET. We have identified all questions from the most important topics that are always asked in exams. After solving these, please compare your choices with our provided answers. For better understanding of Haloalkanes and Haloarenes, you should also refer to our NCERT solutions for NEET Chemistry created by our team.

Online Practice and Revision for Haloalkanes and Haloarenes Chemistry

To prepare for your exams you should also take the NEET Chemistry MCQ Test for this chapter on our website. This will help you improve your speed and accuracy and its also free for you. Regular revision of these Chemistry topics will make you an expert in all important chapters of your course.

FAQs

Where can I access latest NEET Chemistry Haloalkanes and Haloarenes MCQs Set 02?

You can get most exhaustive NEET Chemistry Haloalkanes and Haloarenes MCQs Set 02 for free on StudiesToday.com. These MCQs for NEET Chemistry are updated for the 2026-27 academic session as per NEET examination standards.

Are Assertion-Reasoning and Case-Study MCQs included in the Chemistry NEET material?

Yes, our NEET Chemistry Haloalkanes and Haloarenes MCQs Set 02 include the latest type of questions, such as Assertion-Reasoning and Case-based MCQs. 50% of the NEET paper is now competency-based.

How do practicing Chemistry MCQs help in scoring full marks in NEET exams?

By solving our NEET Chemistry Haloalkanes and Haloarenes MCQs Set 02, NEET students can improve their accuracy and speed which is important as objective questions provide a chance to secure 100% marks in the Chemistry.

Do you provide answers and explanations for NEET Chemistry Haloalkanes and Haloarenes MCQs Set 02?

Yes, Chemistry MCQs for NEET have answer key and brief explanations to help students understand logic behind the correct option as its important for 2026 competency-focused NEET exams.

Can I practice these Chemistry NEET MCQs online?

Yes, you can also access online interactive tests for NEET Chemistry Haloalkanes and Haloarenes MCQs Set 02 on StudiesToday.com as they provide instant answers and score to help you track your progress in Chemistry.