Practice BITSAT Mathematics Continuity and Differentiability MCQs provided below. The MCQ Questions for BITSAT Continuity and Differentiability Mathematics with answers and follow the latest BITSAT/ NCERT and KVS patterns. Refer to more Chapter-wise MCQs for BITSAT BITSAT Mathematics and also download more latest study material for all subjects
MCQ for BITSAT Mathematics Continuity and Differentiability
BITSAT Mathematics students should review the 50 questions and answers to strengthen understanding of core concepts in Continuity and Differentiability
Continuity and Differentiability MCQ Questions BITSAT Mathematics with Answers
Question: The function
is continuous on the interval
- a) [–1, 1]
- b) (–1, 1)
- c) {–1, 1] – { 0 }
- d) (–1, 1) – {0}
Answer: [–1, 1]
Question: If
then f(x) is
- a) Continuous as well as differentiable at x = 0
- b) Continuous but not differentiable at x = 0
- c) Differentiable but not continuous at x = 0
- d) Neither continuous nor differentiable at x = 0
Answer: Continuous as well as differentiable at x = 0
Question: If f (x) =
then the value of f ' (e) is equal to
- a) 1
- b)
- c)
- d)
Answer:
Question: The number of points at which the function
is discontinuous is :
- a) 1
- b) 2
- c) 3
- d) 4
Answer: 3
Question: Let f (x) =
be real valued function. Then f ¢(x) for 1 < x < 26 is
- a) 0
- b)
- c) 2 √x -1-5
- d) None of these
Answer: 0
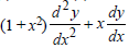
Question: For any differentiable function y of x, 
- a) 0
- b) y
- c) – y
- d) x
Answer: 0
Question: If a function f(x) is given by
then at x = 0, f(x)
- a) Has no limit
- b) Is not continuous
- c) Is continuous but not differentiable
- d) Is differentiable
Answer: Is not continuous
Question: If g is the inverse of function f and f ¢(x) = sin x, then g¢(x) is equal to
- a) cosec {g(x)}
- b) sin {g(x)}
- c)
- d) None of these
Answer:
Question: The number of real roots of the equation ex–1 + x – 2 = 0 is
- a) 1
- b) 2
- c) 3
- d) 4
Answer: 1
Question: If y =
then
is
- a) n2y
- b) – n2y
- c) –y
- d) 2x2y
Answer: n2y
Question:
(cos–1 x + sin–1 x) is
- a) π/2
- b) 0
- c)
- d) None of these
Answer: 0
Question:
Let ( ) =
Then which one of the following is true?
- a) f is differentiable at x = 0 and x =1
- b) f is differentiable at x = 0 but not at x = 1
- c) f is differentiable at x = 1 but not at x = 0
- d) f is neither differentiable at x = 0 nor at x =1
Answer: f is differentiable at x = 0 but not at x = 1
Question: If y =1 + x +
then
is equal to
- a) x
- b) 1
- c) y
- d) None of these
Answer: y
Question: If
is continuous at x = –5, then the value of ‘a’ will be
- a) 3/2
- b) 7/8
- c) 8/7
- d) 2/3
Answer: 7/8
Question: If x = a sin θ and y = b cos θ, then
is
- a)
- b)
- c)
- d)
Answer:
Question: If f(x) = xα log x and f(0) = 0, then the value of α for which Rolle’s theorem can be applied in [0, 1] is
- a) –2
- b) –1
- c) 0
- d) 1/2
Answer: 1/2
Question: If the function f(x) =
is continuous at x = 2 and 4, then the values of a and b are
- a) 3, 5
- b) 3, – 5
- c) 0, 3
- d) 0, 5
Answer: 3, – 5
Question: If y = xx2 , then
is equal to
- a) (2 ln x)
- b) (2 ln x +1)
- c) (ln ln x +1)x x2
- d) None of these
Answer: None of these
Question: The function f (x) = (x -1) √| ln x | is at x = 1
- a) Discontinuous
- b) Continuous but not differentiable
- c) Differentiable with f ' (1) = 0
- d) Differentiable with f ¢ (1) ≠ 0
Answer: Differentiable with f ' (1) = 0
Question: Let
Then f (x) is derivable at x = 1, if
- a) a = 2
- b) a = 1
- c) a = 0
- d) a = 1/2
Answer: a = 1/2
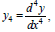
Question: If y = e–x cos x and y4 + ky = 0, where
then k =
- a) 4
- b) – 4
- c) 2
- d) – 2
Answer: 4
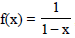
Question: The set of points of discontinuity of the function 1/log | x | is –
- a) {–1, 0, 1}
- b) {0}
- c) {0, 1}
- d) None of these
Answer: {–1, 0, 1}
Question: If y = (cos x2)2 then
is equal to :
- a) – 4x sin 2x2
- b) – x sin x2
- c) – 2x sin 2x2
- d) – x cos 2x2
Answer: – 2x sin 2x2
Question: If
then the points of discontinuity of the function f [ f {f(x)}] are
- a) {0, –1}
- b) {0,1}
- c) {1, –1}
- d) None of these
Answer: {0,1}
Question: If
f
is continuous at x = 0, then the value of k will be
- a) 1
- b) -1
- c) 0
- d) None of these
Answer: 0
Question: Let
Then f (x) is derivable at x = 1, if
- a) a = 2
- b) a = 1
- c) a = 0
- d) a = 1/2
Answer: a = 1/2
Question: Let h(x) = min {x, x2}, for every real number of x, Then
- a) h is continuous for all x
- b) h is differentiable for all x
- c) h’(x) = 2, for all x > 1
- d) h is not differentiable at three values of x.
Answer: h is continuous for all x
Question: If f(x) = (x + 1)cot x is continuous at x = 0, then f(0) is equal to
- a) 0
- b) 1
- c) 1/e
- d) e
Answer: e
Question: If 2t = v2, then
is equal to
- a) 0
- b) 1/4
- c) 1/2
- d) 1/v
Answer: 1/v
Question: If y2 = P (x), is a polynomial of degree, then
equals
- a) P'''(x) + P' (x)
- b) P''(x). P'''(x
- c) P (x). P''' (x)
- d) a constant
Answer: P (x). P''' (x)
| BITSAT Mathematics Application Of Derivatives MCQs |
| BITSAT Mathematics Application Of Integrals MCQs |
| BITSAT Mathematics Bionomial Theorem MCQs |
| BITSAT Mathematics Complex Numbers and Quadratic Equations MCQs |
| BITSAT Mathematics Conic Sections MCQs |
| BITSAT Mathematics Continuity and Differentiability MCQs |
| BITSAT Mathematics Determinants MCQs |
| BITSAT Mathematics Differential Equations MCQs |
| BITSAT Mathematics Integrals MCQs |
| BITSAT Mathematics Inverse Trigonometric Functions MCQs |
| BITSAT Mathematics Limits and Derivatives MCQs |
| BITSAT Mathematics Linear Inequalities MCQs |
| BITSAT Mathematics Linear Programming MCQs |
| BITSAT Mathematics Mathematical Reasoning MCQs |
| BITSAT Mathematics Matrices MCQs |
| BITSAT Mathematics Permutations and Combinations MCQs |
| BITSAT Mathematics Principle Of Mathematical Induction MCQs |
| BITSAT Mathematics Probability MCQs |
| BITSAT Mathematics Properties Of Triangles MCQs |
| BITSAT Mathematics Relations and Functions MCQs |
| BITSAT Mathematics Sequences and Series MCQs |
| BITSAT Mathematics Statistics MCQs |
| BITSAT Mathematics Straight Lines and Pair Of Straight Lines MCQs |
| BITSAT Mathematics Three Dimensional Geometry MCQs |
| BITSAT Mathematics Trigonometric Functions MCQs |
| BITSAT Mathematics Vector Algebra MCQs |
Free study material for Mathematics
MCQs for Continuity and Differentiability Mathematics BITSAT
Students can use these MCQs for Continuity and Differentiability to quickly test their knowledge of the chapter. These multiple-choice questions have been designed as per the latest syllabus for BITSAT Mathematics released by BITSAT. Our expert teachers suggest that you should practice daily and solving these objective questions of Continuity and Differentiability to understand the important concepts and better marks in your school tests.
Continuity and Differentiability NCERT Based Objective Questions
Our expert teachers have designed these Mathematics MCQs based on the official NCERT book for BITSAT. We have identified all questions from the most important topics that are always asked in exams. After solving these, please compare your choices with our provided answers. For better understanding of Continuity and Differentiability, you should also refer to our NCERT solutions for BITSAT Mathematics created by our team.
Online Practice and Revision for Continuity and Differentiability Mathematics
To prepare for your exams you should also take the BITSAT Mathematics MCQ Test for this chapter on our website. This will help you improve your speed and accuracy and its also free for you. Regular revision of these Mathematics topics will make you an expert in all important chapters of your course.
You can get most exhaustive BITSAT Mathematics Continuity and Differentiability MCQs for free on StudiesToday.com. These MCQs for BITSAT Mathematics are updated for the 2025-26 academic session as per BITSAT examination standards.
Yes, our BITSAT Mathematics Continuity and Differentiability MCQs include the latest type of questions, such as Assertion-Reasoning and Case-based MCQs. 50% of the BITSAT paper is now competency-based.
By solving our BITSAT Mathematics Continuity and Differentiability MCQs, BITSAT students can improve their accuracy and speed which is important as objective questions provide a chance to secure 100% marks in the Mathematics.
Yes, Mathematics MCQs for BITSAT have answer key and brief explanations to help students understand logic behind the correct option as its important for 2026 competency-focused BITSAT exams.
Yes, you can also access online interactive tests for BITSAT Mathematics Continuity and Differentiability MCQs on StudiesToday.com as they provide instant answers and score to help you track your progress in Mathematics.