Practice BITSAT Mathematics Determinants MCQs provided below. The MCQ Questions for BITSAT Determinants Mathematics with answers and follow the latest BITSAT/ NCERT and KVS patterns. Refer to more Chapter-wise MCQs for BITSAT BITSAT Mathematics and also download more latest study material for all subjects
MCQ for BITSAT Mathematics Determinants
BITSAT Mathematics students should review the 50 questions and answers to strengthen understanding of core concepts in Determinants
Determinants MCQ Questions BITSAT Mathematics with Answers
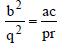
Question: If a > 0, b > 0, c > 0 are respectively the pth, qth, rth terms of G.P., then the value of the determinant
is
- a) 0
- b) 1
- c) -1
- d) None of these
Answer: 0
Question: The digits A, B and C are such that the three digit numbers A88, 6B8, 86C are divisible by 72 then the determinant
is divisible by
- a) 72
- b) 144
- c) 288
- d) 216
Answer: 72
Question: If M (α) =
M (β) =
then [M(α) M (β)]–1 is equal to -
- a) M(β) M (α)
- b) M (–α) M(–β)
- c) M(–β) M(–α)
- d) –M(β) M(α)
Answer: M(–β) M(–α)
Question: If a + b + c = 0 then determinant
is equal to,
- a) 0
- b) 1
- c) 2
- d) 3
Answer: 0
Question: If the three linear equations x + 4ay + az = 0; x + 3by + bz = 0, x + 2cy + cz = 0 have a non-trivial solution, where a ≠ 0, b ≠ 0, c ≠ 0, then ab + bc is equal to
- a) 2ac
- b) – ac
- c) ac
- d) – 2ac
Answer: 2ac
Question: The system of equations α x + y + z = α – 1, x + α y + z = α – 1, x + y + α z = α – 1 has no solution if α=
- a) –2
- b) α ≠ – 2
- c) Either – 2 or 1
- d) α = 1
Answer: –2
Question: If 1,ω,ω2 are the cube roots of unity, the
is equal to
- a) ω2
- b) 0
- c) 1
- d) ω
Answer: 0
Question: If A =
, B =
and M = AB, then find M–1.
- a)
- b)
- c)
- d)
Answer:
Question: Inverse matrix of
- a)
- b)
- c)
- d)
Answer:
Question: The equations 2x + 3y + 4 = 0; 3x + 4y + 6 = 0 and 4x + 5y + 8 = 0 are
- a) Consistent with unique solution
- b) Inconsistent
- c) Consistent with infinitely many solutions
- d) None of the above
Answer: Consistent with unique solution
Question: If the matrix
is singular, then λ =
- a) –2
- b) 4
- c) 2
- d) –4
Answer: 4
Question: If a system of equation – ax + y + z = 0 x – by + z = 0; x + y – cz = 0 (a, b, c ≠ –1) has a non-zero solution then
- a) 0
- b) 1
- c) 2
- d) 3
Answer: 1
Question: If
then the value of
is
- a) 0
- b) 1
- c) 2
- d) 4pqr
Answer: 2
Question: Let α1, α2 and β1, β2 be the roots of ax2 + bx + c= 0 and px2 + qx + r = 0 respectively. If the system of equations α1y + α2z = 0 and β1y + β2z = 0 has a non-trivial solution, then
- a)
- b)
- c)
- d) None of these
Answer:
Question: If [ ] denotes the greatest integer less than or equal to the real number under consideration and
then the value of the determinant
is
- a) [z]
- b) [y]
- c) [x]
- d) None of these
Answer: [z]
Question: Let M be a 3 × 3 non-singular matrix with det (M) = α. If [M–1 adj (adj (M)] = KI, then the value of K is
- a) 1
- b) α
- c) α2
- d) α3
Answer: α
Question: If the lines p1x + q1y = 1, p2x + q2y = 1 and p3x + q3y = 1 be concurrent, then the points (p1, q1), (p2, q2) and (p3, q3)
- a) Are collinear
- b) Form an equilateral triangle
- c) Form a scalene triangle
- d) Form a right angled triangle
Answer: Are collinear
Question: One of the roots of
is
- a) abc
- b) a + b + c
- c) –(a + b + c)
- d) –abc
Answer: –(a + b + c)
Question: The value of λ , for which the lines 3x - 4y =13, 8x -11y = 33 and 2x - 3y + λ = 0 are concurrent is
- a) –1
- b) –7
- c)
- d) 9
Answer: –7
Question: The determinant
vanishes for
- a) 3 values of x
- b) 2 values of x
- c) 1 values of x
- d) No value of x
Answer: No value of x
Question: If the lines lx + my + n = 0, mx +ny + l = 0 and nx + ly + m = 0 are concurrent then
- a) l + m + n = 0
- b) l – m – n = 0
- c) l + m – n = 0
- d) m + n – l = 0
Answer: l + m + n = 0
Question: The equations 2x + 3y + 4 = 0; 3x + 4y + 6 = 0 and 4x + 5y + 8 = 0 are
- a) Consistent with unique solution
- b) Inconsistent
- c) Consistent with infinitely many solutions
- d) None of the above
Answer: Consistent with unique solution
Question: The value of the determinant
is
- a) 1000
- b) 779
- c) 679
- d) 0
Answer: 0
Question: If A =
then adj ( adj A) is equal to -
- a)
- b)
- c)
- d) None of these
Answer:
Question: The value of
is
- a) 213
- b) –231
- c) 231
- d) 39
Answer: 231
| BITSAT Mathematics Application Of Derivatives MCQs |
| BITSAT Mathematics Application Of Integrals MCQs |
| BITSAT Mathematics Bionomial Theorem MCQs |
| BITSAT Mathematics Complex Numbers and Quadratic Equations MCQs |
| BITSAT Mathematics Conic Sections MCQs |
| BITSAT Mathematics Continuity and Differentiability MCQs |
| BITSAT Mathematics Determinants MCQs |
| BITSAT Mathematics Differential Equations MCQs |
| BITSAT Mathematics Integrals MCQs |
| BITSAT Mathematics Inverse Trigonometric Functions MCQs |
| BITSAT Mathematics Limits and Derivatives MCQs |
| BITSAT Mathematics Linear Inequalities MCQs |
| BITSAT Mathematics Linear Programming MCQs |
| BITSAT Mathematics Mathematical Reasoning MCQs |
| BITSAT Mathematics Matrices MCQs |
| BITSAT Mathematics Permutations and Combinations MCQs |
| BITSAT Mathematics Principle Of Mathematical Induction MCQs |
| BITSAT Mathematics Probability MCQs |
| BITSAT Mathematics Properties Of Triangles MCQs |
| BITSAT Mathematics Relations and Functions MCQs |
| BITSAT Mathematics Sequences and Series MCQs |
| BITSAT Mathematics Statistics MCQs |
| BITSAT Mathematics Straight Lines and Pair Of Straight Lines MCQs |
| BITSAT Mathematics Three Dimensional Geometry MCQs |
| BITSAT Mathematics Trigonometric Functions MCQs |
| BITSAT Mathematics Vector Algebra MCQs |
Free study material for Mathematics
MCQs for Determinants Mathematics BITSAT
Students can use these MCQs for Determinants to quickly test their knowledge of the chapter. These multiple-choice questions have been designed as per the latest syllabus for BITSAT Mathematics released by BITSAT. Our expert teachers suggest that you should practice daily and solving these objective questions of Determinants to understand the important concepts and better marks in your school tests.
Determinants NCERT Based Objective Questions
Our expert teachers have designed these Mathematics MCQs based on the official NCERT book for BITSAT. We have identified all questions from the most important topics that are always asked in exams. After solving these, please compare your choices with our provided answers. For better understanding of Determinants, you should also refer to our NCERT solutions for BITSAT Mathematics created by our team.
Online Practice and Revision for Determinants Mathematics
To prepare for your exams you should also take the BITSAT Mathematics MCQ Test for this chapter on our website. This will help you improve your speed and accuracy and its also free for you. Regular revision of these Mathematics topics will make you an expert in all important chapters of your course.
You can get most exhaustive BITSAT Mathematics Determinants MCQs for free on StudiesToday.com. These MCQs for BITSAT Mathematics are updated for the 2025-26 academic session as per BITSAT examination standards.
Yes, our BITSAT Mathematics Determinants MCQs include the latest type of questions, such as Assertion-Reasoning and Case-based MCQs. 50% of the BITSAT paper is now competency-based.
By solving our BITSAT Mathematics Determinants MCQs, BITSAT students can improve their accuracy and speed which is important as objective questions provide a chance to secure 100% marks in the Mathematics.
Yes, Mathematics MCQs for BITSAT have answer key and brief explanations to help students understand logic behind the correct option as its important for 2026 competency-focused BITSAT exams.
Yes, you can also access online interactive tests for BITSAT Mathematics Determinants MCQs on StudiesToday.com as they provide instant answers and score to help you track your progress in Mathematics.