NCERT Solutions Class 11 Mathematics Chapter 12 Introduction to Three Dimensional Geometry

Get the most accurate NCERT Solutions for Class 11 Mathematics Chapter 11 Introduction to Three Dimensional Geometry here. Updated for the 2025-26 academic session, these solutions are based on the latest NCERT textbooks for Class 11 Mathematics. Our expert-created answers for Class 11 Mathematics are available for free download in PDF format.

Detailed Chapter 11 Introduction to Three Dimensional Geometry NCERT Solutions for Class 11 Mathematics

For Class 11 students, solving NCERT textbook questions is the most effective way to build a strong conceptual foundation. Our Class 11 Mathematics solutions follow a detailed, step-by-step approach to ensure you understand the logic behind every answer. Practicing these Chapter 11 Introduction to Three Dimensional Geometry solutions will improve your exam performance.

Class 11 Mathematics Chapter 11 Introduction to Three Dimensional Geometry NCERT Solutions PDF

Exercise 12.1

Question 1: A point is on the x-axis. What are its y-coordinates and z-coordinates?

Answer :  If a point is on the x-axis, then its y-coordinates and z-coordinates are zero.

 

Question 2: A point is in the XZ-plane. What can you say about its y-coordinate?

Answer : If a point is in the XZ plane, then its y-coordinate is zero.

 

Question 3: Name the octants in which the following points lie:

(1, 2, 3), (4, –2, 3), (4, –2, –5), (4, 2, –5), (–4, 2, –5), (–4, 2, 5), (–3, –1, 6), (2, –4, –7)

Answer : The x-coordinate, y-coordinate, and z-coordinate of point (1, 2, 3) are all positive. Therefore, this point lies in octant I.

The x-coordinate, y-coordinate, and z-coordinate of point (4, –2, 3) are positive, negative, and positive respectively. Therefore, this point lies in octant IV.

The x-coordinate, y-coordinate, and z-coordinate of point (4, –2, –5) are positive, negative, and negative respectively. Therefore, this point lies in octant VIII.

The x-coordinate, y-coordinate, and z-coordinate of point (4, 2, –5) are positive, positive, and negative respectively. Therefore, this point lies in octant V.

The x-coordinate, y-coordinate, and z-coordinate of point (–4, 2, –5) are negative, positive, and negative respectively. Therefore, this point lies in octant VI.

The x-coordinate, y-coordinate, and z-coordinate of point (–4, 2, 5) are negative, positive, and positive respectively. Therefore, this point lies in octant II.

The x-coordinate, y-coordinate, and z-coordinate of point (–3, –1, 6) are negative, negative, and positive respectively. Therefore, this point lies in octant III.

The x-coordinate, y-coordinate, and z-coordinate of point (2, –4, –7) are positive, negative, and negative respectively. Therefore, this point lies in octant VIII.

 

4. Fill in the blanks:
(i) The x-axis and y-axis taken together determine a plane known as______.
(ii) The coordinates of points in the XY-plane are of the form ______.
(iii) Coordinate planes divide the space into ______ octants.

Answer :

(i) The x-axis and y-axis taken together determine a plane known as XY-plane.

(ii) The coordinates of points in the XY-plane are of the form (x, y, 0) .

(iii) Coordinate planes divide the space into eight octants.

Exercise 12.2

1. Find the distance between the following pairs of points:
(i) (2, 3, 5) and (4, 3, 1)
(ii) (–3, 7, 2) and (2, 4, –1)
(iii) (–1, 3, –4) and (1, –3, 4)
(iv) (2, –1, 3) and (–2, 1, 3) 

Answer :

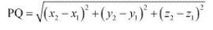
The distance between points P(x1, y1, z1) and P(x2, y2, z2) is given by

""NCERT-Solutions-Class-11-Mathematics-Chapter-12-Introduction-to-Three-Dimensional-Geometry-5

(i) Distance between points (2, 3, 5) and (4, 3, 1) 

""NCERT-Solutions-Class-11-Mathematics-Chapter-12-Introduction-to-Three-Dimensional-Geometry-6

(ii) Distance between points (-3, 7, 2) and (2, 4, -1) 

""NCERT-Solutions-Class-11-Mathematics-Chapter-12-Introduction-to-Three-Dimensional-Geometry-7

(iv) Distance between points (2, -1, 3) and (-2, 1, 3) 

""NCERT-Solutions-Class-11-Mathematics-Chapter-12-Introduction-to-Three-Dimensional-Geometry-8

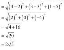
2. Show that the points (–2, 3, 5), (1, 2, 3) and (7, 0, –1) are collinear.

Answer :

Let points (–2, 3, 5), (1, 2, 3), and (7, 0, –1) be denoted by P, Q, and R respectively.

Points P, Q, and R are collinear if they lie on a line. 

""NCERT-Solutions-Class-11-Mathematics-Chapter-12-Introduction-to-Three-Dimensional-Geometry-4

Here, PQ + QR = √14 + 2√14 = 3√14 = PR

Hence, points P(-2, 3, 5), Q(1, 2, 3), and R(7, 0, -1) are collinear.

3. Verify the following:
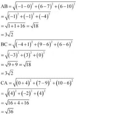
(i) (0, 7, –10), (1, 6, –6) and (4, 9, –6) are the vertices of an isosceles triangle.
(ii) (0, 7, 10), (–1, 6, 6) and (–4, 9, 6) are the vertices of a right angled triangle.

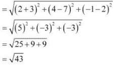
(iii) (–1, 2, 1), (1, –2, 5), (4, –7, 8) and (2, –3, 4) are the vertices of a parallelogram.

Answer :

(i) Let points (0, 7, -10), (1, 6, -6), and (4, 9, -6) be denoted by A, B, and C respectively. 

""NCERT-Solutions-Class-11-Mathematics-Chapter-12-Introduction-to-Three-Dimensional-Geometry-3

Here, AB = BC ≠ CA

Thus, the given points are the vertices of an isosceles triangle.

(ii) Let (0, 7, 10), (–1, 6, 6), and (–4, 9, 6) be denoted by A, B, and C respectively.

""NCERT-Solutions-Class-11-Mathematics-Chapter-12-Introduction-to-Three-Dimensional-Geometry-2

Now, AB2 + BC2 = (3√2)2 + (3√2)2 = 18 + 18 = 36 = AC2.

Therefore, by Pythagoras theorem, ABC is a right triangle. 

Hence, the given points are the vertices of a right - angled triangle.

(iii) Let (-1, 2, 1), (1, -2, 5), (4, -7, 8), and (2, -3, 4) be denoted by A, B, C, and D respectively. 

""NCERT-Solutions-Class-11-Mathematics-Chapter-12-Introduction-to-Three-Dimensional-Geometry-1

Here, AB = CD = 6, BC = AD = √43

Hence, the opposite sides of quadrilateral ABCD, whose vertices are taken in order, are equal.

Therefore, ABCD is a parallelogram.

Hence, the given points are the vertices of a parallelogram.

4. Find the equation of the set of points which are equidistant from the points (1, 2, 3) and (3, 2, –1).

Answer :

Let P (x, y, z) be the point that is equidistant from points A(1, 2, 3) and B(3, 2, –1).

Accordingly, PA = PB 

⇒ PA2 = PB2 

⇒ (x - 1)2 + (y - 2)2 + (z - 3)2 = (x -3)2 + (y - 2)2 + (z + 1)2 

⇒ x2 - 2x + 1 + y2 - 4y + 4 +z2 - 6z + 9 = x2 - 6x + 9 + y2 - 4y + 4 + z2 + 2z + 1 

⇒ -2x - 4y - 6z + 14 = -6x - 4y + 2z + 14 

⇒ -2x - 6z + 6x - 2z = 0 

⇒ 4x - 8z = 0 

⇒ x - 2z = 0 

Thus, the required equation is x - 2z = 0.

5. Find the equation of the set of points P, the sum of whose distances from A (4, 0, 0) and B (–4, 0, 0) is equal to 10.

Solution

Let the coordinates of P be (x, y, z).

The coordinates of points A and B are (4, 0, 0) and (–4, 0, 0) respectively.

It is given that PA + PB = 10. 

""NCERT-Solutions-Class-11-Mathematics-Chapter-12-Introduction-to-Three-Dimensional-Geometry

On squaring both sides again, we obtain

25 (x2 + 8x + 16 + y2 + z2) = 625 + 16x2 + 200x

⇒ 25x2 + 200x + 400 + 25y2 + 25z2 = 625 + 16x2 + 200x

⇒ 9x2 + 25y2 + 25z2 – 225 = 0

Thus, the required equation is 9x2 + 25y2 + 25z2 – 225 = 0.

Exercise 12.3

1. Find the coordinates of the point which divides the line segment joining the points (–2, 3, 5) and (1, –4, 6) in the ratio (i) 2:3 internally, (ii) 2:3 externally.

Answer :

(i) The coordinates of point R that divides the line segment joining points P (x1, y1, z1) and Q (x2, y2, z2) internally in the ratio m: n are 

""NCERT-Solutions-Class-11-Mathematics-Chapter-12-Introduction-to-Three-Dimensional-Geometry-13

i.e., x = -8, y = 17, and z = 3 

Thus, the coordinates of the required point are (-8, 17, 3).

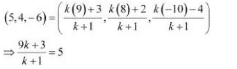
2. Given that P (3, 2, –4), Q (5, 4, –6) and R (9, 8, –10) are collinear. Find the ratio in which Q divides PR.

Answer :

Let point Q (5, 4, –6) divide the line segment joining points P (3, 2, –4) and R (9, 8, –10) in the ratio k:1.

Therefore, by section formula, 

""NCERT-Solutions-Class-11-Mathematics-Chapter-12-Introduction-to-Three-Dimensional-Geometry-12

⇒ 9k + 3 = 5k + 5 

⇒ 4k = 2 

⇒ k = 2/4 = 1/2 

Thus, point Q divides PR in the ratio 1 : 2.

3. Find the ratio in which the YZ-plane divides the line segment formed by joining the points (–2, 4, 7) and (3, –5, 8).

Solution

Let the YZ planedivide the line segment joining points (–2, 4, 7) and (3, –5, 8) in the ratio k:1.

Hence, by section formula, the coordinates of point of intersection are given by 

""NCERT-Solutions-Class-11-Mathematics-Chapter-12-Introduction-to-Three-Dimensional-Geometry-11

On the YZ plane, the x - coordinate of any point is zero. 

(3k - 2)/(k + 1) = 0 

⇒ 3k -2 = 0 

⇒ k = 2/3 

Thus, the YZ plane divides the line segment formed by joining the given points in the ratio 2 : 3.

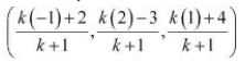
4. Using section formula, show that the points A (2, –3, 4), B (–1, 2, 1) and  C(0, 1/3, 2) are collinear.  

Answer :

The given points are A (2, –3, 4), B (–1, 2, 1), and C(0, 1/3, 2). .

Let P be a point that divides AB in the ratio k:1.

Hence, by section formula, the coordinates of P are given by 

""NCERT-Solutions-Class-11-Mathematics-Chapter-12-Introduction-to-Three-Dimensional-Geometry-10

Now, we find the value of k at which point P coincides with point C.  

By taking (-k + 2)/(k + 1) = 0 , we obtain k = 2. 

For k = 2, the coordinates of point P are (0, 1/3, 2). 

i.e, C(0, 1/3, 2) is a point that divides AB externally in the ratio 2 : 1 and is the same as point P . 

Hence, points A, B, and C are collinear.

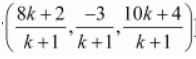
5. Find the coordinates of the points which trisect the line segment joining the points P (4, 2, –6) and Q (10, –16, 6).

Answer :

Let A and B be the points that trisect the line segment joining points P (4, 2, –6) and Q (10, –16, 6)

""NCERT-Solutions-Class-11-Mathematics-Chapter-12-Introduction-to-Three-Dimensional-Geometry-9

Thus, (6, -4, -2) and (8, -10, 2) are the points that trisect the line segment joining points P(4, 2, -6) and Q(10, -16, 6).

Miscellaneous Exercise

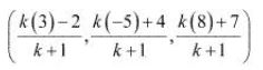
1. Three vertices of a parallelogram ABCD are A (3, –1, 2), B (1, 2, –4) andC (–1, 1, 2). Find the coordinates of the fourth vertex.

Answer :

The three vertices of a parallelogram ABCD are given as A (3, –1, 2), B (1, 2, –4), and C (–1, 1, 2). Let the coordinates of the fourth vertex be D (x,y,z).

""NCERT-Solutions-Class-11-Mathematics-Chapter-12-Introduction-to-Three-Dimensional-Geometry-18

2. Find the lengths of the medians of the triangle with vertices A (0, 0, 6), B (0, 4, 0) and (6, 0, 0).

Answer :

Let AD, BE, and CF be the medians of the given triangle ABC.

""NCERT-Solutions-Class-11-Mathematics-Chapter-12-Introduction-to-Three-Dimensional-Geometry-19

""NCERT-Solutions-Class-11-Mathematics-Chapter-12-Introduction-to-Three-Dimensional-Geometry-20

3. If the origin is the centroid of the triangle PQR with vertices P (2a, 2, 6), Q (–4, 3b, –10) and R (8, 14, 2c), then find the values ofa,b andc.

Answer :

""NCERT-Solutions-Class-11-Mathematics-Chapter-12-Introduction-to-Three-Dimensional-Geometry-21

It is known that the coordinates of the centroid of the triangle, whose vertices are (x1,y1,z1),  (x2,y2,z2) and (x3,y3,z3), are

""NCERT-Solutions-Class-11-Mathematics-Chapter-12-Introduction-to-Three-Dimensional-Geometry-22

4. Find the coordinates of a point ony-axis which are at a distance of 52 from the point P (3, –2, 5).

Answer :

If a point is on the y-axis, then x-coordinate and the z-coordinate of the point are zero.

Let A (0, b, 0) be the point on the y-axis at a distance of AP = 5√2

""NCERT-Solutions-Class-11-Mathematics-Chapter-12-Introduction-to-Three-Dimensional-Geometry-23

Thus, the coordinates of the required points are (0, 2, 0) and (0, –6, 0).

5. A point R withx-coordinate 4 lies on the line segment joining the pointsP (2, –3, 4) and Q (8, 0, 10). Find the coordinates of the point R.

[Hint suppose R divides PQ in the ratio k: 1. The coordinates of the point R are given by

""NCERT-Solutions-Class-11-Mathematics-Chapter-12-Introduction-to-Three-Dimensional-Geometry-16

Answer :

The coordinates of points P and Q are given as P (2, –3, 4) and Q (8, 0, 10).

Let R divide line segment PQ in the ratio k:1.

Hence, by section formula, the coordinates of point R are given by

""NCERT-Solutions-Class-11-Mathematics-Chapter-12-Introduction-to-Three-Dimensional-Geometry-17

6. If A and B be the points (3, 4, 5) and (–1, 3, –7), respectively, find the equation of the set of points P such that PA2 + PB2 =k2, wherek is a constant.

Answer :

The coordinates of points A and B are given as (3, 4, 5) and (–1, 3, –7) respectively.

Let the coordinates of point P be (xyz).

On using distance formula, we obtain

""NCERT-Solutions-Class-11-Mathematics-Chapter-12-Introduction-to-Three-Dimensional-Geometry-15

""NCERT-Solutions-Class-11-Mathematics-Chapter-12-Introduction-to-Three-Dimensional-Geometry-14

NCERT Solutions Class 11 Mathematics Chapter 11 Introduction to Three Dimensional Geometry

Students can now access the NCERT Solutions for Chapter 11 Introduction to Three Dimensional Geometry prepared by teachers on our website. These solutions cover all questions in exercise in your Class 11 Mathematics textbook. Each answer is updated based on the current academic session as per the latest NCERT syllabus.

Detailed Explanations for Chapter 11 Introduction to Three Dimensional Geometry

Our expert teachers have provided step-by-step explanations for all the difficult questions in the Class 11 Mathematics chapter. Along with the final answers, we have also explained the concept behind it to help you build stronger understanding of each topic. This will be really helpful for Class 11 students who want to understand both theoretical and practical questions. By studying these NCERT Questions and Answers your basic concepts will improve a lot.

Benefits of using Mathematics Class 11 Solved Papers

Using our Mathematics solutions regularly students will be able to improve their logical thinking and problem-solving speed. These Class 11 solutions are a guide for self-study and homework assistance. Along with the chapter-wise solutions, you should also refer to our Revision Notes and Sample Papers for Chapter 11 Introduction to Three Dimensional Geometry to get a complete preparation experience.

Where can I find the latest [current-page:node:field_title] for the 2025-26 session?

The complete and updated is available for free on StudiesToday.com. These solutions for Class 11 Mathematics are as per latest NCERT curriculum.

Are the Mathematics NCERT solutions for Class 11 updated for the new 50% competency-based exam pattern?

Yes, our experts have revised the as per 2026 exam pattern. All textbook exercises have been solved and have added explanation about how the Mathematics concepts are applied in case-study and assertion-reasoning questions.

How do these Class 11 NCERT solutions help in scoring 90% plus marks?

Toppers recommend using NCERT language because NCERT marking schemes are strictly based on textbook definitions. Our will help students to get full marks in the theory paper.

Do you offer [current-page:node:field_title] in multiple languages like Hindi and English?

Yes, we provide bilingual support for Class 11 Mathematics. You can access in both English and Hindi medium.

Is it possible to download the Mathematics NCERT solutions for Class 11 as a PDF?

Yes, you can download the entire in printable PDF format for offline study on any device.