NCERT Solutions Class 11 Mathematics Chapter 11 Conic Sections

Get the most accurate NCERT Solutions for Class 11 Mathematics Chapter 10 Conic Sections here. Updated for the 2025-26 academic session, these solutions are based on the latest NCERT textbooks for Class 11 Mathematics. Our expert-created answers for Class 11 Mathematics are available for free download in PDF format.

Detailed Chapter 10 Conic Sections NCERT Solutions for Class 11 Mathematics

For Class 11 students, solving NCERT textbook questions is the most effective way to build a strong conceptual foundation. Our Class 11 Mathematics solutions follow a detailed, step-by-step approach to ensure you understand the logic behind every answer. Practicing these Chapter 10 Conic Sections solutions will improve your exam performance.

Class 11 Mathematics Chapter 10 Conic Sections NCERT Solutions PDF

Exercise 11.1

 

1.  Find the equation of the circle with centre (0, 2) and radius 2.
Solution

The equation of a circle with centre (h, k) and radius r is given as
(x­ – h)2 + (y ­– k)2 = r2
It is given that centre (h, k) = (0, 2) and radius (r) = 2.
Therefore, the equation of the circle is
(x – 0)2 + (y – 2)2 = 22
⇒ x2 + y2 + 4 ­– 4y = 4
⇒ x2 + y2 ­– 4y = 0

2. Find the equation of the circle with centre (–2, 3) and radius 4.
Solution

The equation of a circle with centre (h, k) and radius r is given as
(x­ – h)2 + (y ­– k)2 = r2
It is given that centre (h, k) = (–2, 3) and radius (r) = 4.
Therefore, the equation of the circle is
(x + 2)2 + (y – 3)2 = (4)2
⇒ x2 + 4x + 4 + y2 – 6y + 9 = 16
⇒ x2 + y2 + 4x – 6y – 3 = 0

3. Find the equation of the circle with (1/2, 1/4)and radius 1/12 . 
Solution

The equation of a circle with centre (h, k) and radius r is given as
(x­ – h)2 + (y ­– k)2 = r2
It is given that centre (h, k) = (1/2, 1/4) and radius (r) = (1/12).  
Therefore, the equation of the circle is

""NCERT-Solutions-Class-11-Mathematics-Chapter-11-Conic-Sections

⇒ 144x2 - 144x + 36 + 144y2 - 72y + 9 - 1 = 0 
⇒ 144x2 - 144x + 144y2 - 72y + 44 = 0 
⇒ 36x2 - 36x + 36y2 - 18y + 11 = 0 
⇒ 36x2 + 36y2 - 36x - 18y + 11 = 0 

4. Find the equation of the circle with centre (1, 1) and radius √2 . 
Solution

The equation of a circle with centre (h, k) and radius r is given as
(x­ – h)2 + (y ­– k)2 = r2
It is given that centre (h, k) = (1, 1) and radius (r) = √2
Therefore, the equation of the circle is 
(x - 1)2 + (y - 1)2 = (√2)2 
⇒ x2 - 2x + 1 - y2 - 2y + 1 = 2 
⇒ x2 + y2 - 2x - 2y = 0 

5. Find the equation of the circle with centre (–a, –b) and radius √(a2 - b2)
Solution

The equation of a circle with centre (h, k) and radius r is given as
(x­ – h)2 + (y ­– k)2 = r2
It is given that centre (h, k) = (–a, –b) and radius (r) =.
Therefore, the equation of the circle is 
(x + a)2 + (y + b)2 = [√(a2 - b2 )]2 
⇒ x2 + 2ax + a2 + y2 + 2by + b2 = a2 - b2 
⇒ x2 + y2 + 2ax + 2by + 2b2 = 0

6. Find the centre and radius of the circle (x + 5)2 + (y – 3)2 = 36
Solution

The equation of the given circle is (x + 5)2 + (y – 3)2 = 36.
(x + 5)2 + (y – 3)2 = 36
⇒ {x – (–5)}2 + (y – 3)2 = 62,
which is of the form (x – h)2 + (y – k)2 = r2, where h = –5, k = 3, and r = 6.
Thus, the centre of the given circle is (–5, 3), while its radius is 6.

7. Find the centre and radius of the circle x2 + y2 – 4x – 8y – 45 = 0
Solution

The equation of the given circle is x2 + y2 – 4x – 8y – 45 = 0.
x2 + y2 – 4x – 8y – 45 = 0
⇒ (x2 – 4x) + (y– 8y) = 45
⇒ {x2 – 2(x)(2) + 22} + {y2 – 2(y)(4)+ 42} – 4 –16 = 45
⇒ (x – 2)2 + (y –4)2 = 65
⇒ (x – 2)2 + (y –4)2 = (√65)2,
which is of the form (x – h)2 + (y – k)2 = r2, where h = 2, k = 4, and r = √65.
Thus, the centre of the given circle is (2, 4), while its radius is √65.

8. Find the centre and radius of the circle x2 + y2 – 8x + 10y – 12 = 0
Solution

The equation of the given circle is x2 + y2 – 8x + 10y – 12 = 0.
x2 + y2 – 8x + 10y – 12 = 0
⇒ (x2 – 8x) + (y+ 10y) = 12
⇒ {x2 – 2(x)(4) + 42} + {y+ 2(y)(5) + 52}– 16 – 25 = 12
⇒ (x – 4)2 + (y + 5)2 = 53
⇒ (x - 4)2 + [y - (-5)]2 = (√53)2 ,
which is of the form (x – h)2 + (y – k)2 = r2, where h = 4, k = –5, and r = √53 .
Thus, the centre of the given circle is (4, –5), while its radius is √53.

9. Find the centre and radius of the circle 2x2 + 2y2 – x = 0
Solution

The equation of the given circle is 2x2 + 2y2 – x = 0.
2x2 + 2y2 - x = 0 
⇒ (2x2 - x) + 2y2 = 0 

""NCERT-Solutions-Class-11-Mathematics-Chapter-11-Conic-Sections-1

which is of the form (x - h)2 + (y - k)2 = r2, where h = 1/4 , k = 0 and r = 1/4. 
Thus, the centre of the given circle is (1/4, 0), while its radius is 1/4. 

10. Find the equation of the circle passing through the points (4, 1) and (6, 5) and whose centre is on the line 4x + y = 16.
Solution

Let the equation of the required circle be (x – h)2 + (y – k)2 = r2.
Since the circle passes through points (4, 1) and (6, 5),
(4 – h)2 + (1 – k)2 = r2                 …(1)
(6 – h)2 + (5 – k)2 = r2                 …(2)
Since the centre (h, k) of the circle lies on line 4x + y = 16,
4h + k = 16                 …(3)
From equations (1) and (2), we obtain
(4 – h)2 + (1 – k)= (6 – h)2 + (5 – k)2
⇒ 16 – 8h + h2 + 1 – 2k + k2 = 36 – 12h + h2 + 25 – 10k + k2
⇒ 16 – 8h + 1 – 2k = 36 – 12h + 25 – 10k
⇒ 4h + 8k = 44
⇒ h + 2k = 11                 …(4)
On solving equations (3) and (4), we obtain h = 3 and k = 4.
On substituting the values of h and k in equation (1), we obtain
(4 – 3)2 + (1 – 4)2 = r2
⇒ (1)2 + (– 3)2 = r2
⇒ 1 + 9 = r2
⇒ r2 = 10
⇒ r = √10
Thus, the equation of the required circle is
(x – 3)2 + (y – 4)2 = (√10)2 
x2 – 6x + 9 + y2 ­– 8y + 16 = 10
x2 + y2 – 6x – 8y + 15 = 0

11. Find the equation of the circle passing through the points (2, 3) and (–1, 1) and whose centre is on the line – 3y – 11 = 0.
Solution

Let the equation of the required circle be (x – h)2 + (y – k)2 = r2.
Since the circle passes through points (2, 3) and (–1, 1),
(2 – h)2 + (3 – k)2 = r2                 …(1)
(–1 – h)2 + (1 – k)2 = r2                 …(2)
Since the centre (h, k) of the circle lies on line x – 3y – 11 = 0,
h – 3k = 11                 …(3)
From equations (1) and (2), we obtain
(2 – h)+ (3 – k)2 = (–1 – h)2 + (1 – k)2
⇒ 4 – 4h + h2 + 9 – 6k + k2 = 1 + 2h + h2 + 1 – 2k + k2
⇒ 4 – 4h + 9 – 6k = 1 + 2h + 1 – 2k
⇒ 6h + 4k = 11                 …(4)
On solving equations (3) and (4), we obtain h = 7/2 and k = -5/2. 
On substituting the values of h and k in equation (1), we obtain

""NCERT-Solutions-Class-11-Mathematics-Chapter-11-Conic-Sections-2

4x2 - 28x + 49 + 4y2 + 20y + 25 = 130 
⇒ 4x2 + 4y2 - 28x + 20y - 56 = 0 
⇒ 4(x2 + y2 - 7x +5y - 14) = 0
⇒ x2 + y2 - 7x + 5y - 14 = 0

12. Find the equation of the circle with radius 5 whose centre lies on x-axis and passes through the point (2, 3).
Solution
 
Let the equation of the required circle be (x – h)2 + (y – k)2 = r2.
Since the radius of the circle is 5 and its centre lies on the x-axis, k = 0 and r = 5.
Now, the equation of the circle becomes (x – h)2 + y2 = 25.
It is given that the circle passes through point (2, 3).
∴ (2 - h)2 + 32 = 25 
⇒ (2 - h)2 = 25 - 9 
⇒ (2 - h)2 = 16 
⇒ 2 - h = ± √16 = ± 4
If 2 - h = 4,  then h = -2. 
If 2 - h = -4, then h = 6. 
When h = -2, the equation of the circle becomes
(x + 2)2 + y2 = 25
⇒ x2 + 4x + 4 + y2 = 25
⇒ x2 + y2 + 4x – 21 = 0
When h = 6, the equation of the circle becomes
(x – 6)+ y2 = 25
⇒ x2 – 12x +36 + y2 = 25
⇒ x2 + y2 – 12x + 11 = 0

13. Find the equation of the circle passing through (0, 0) and making intercepts and b on the coordinate axes.
Solution

Let the equation of the required circle be (x – h)2 + (y – k)2 = r2.
Since the circle passes through (0, 0),
(0 – h)2 + (0 – k)2 = r2
⇒ h2 + k2 = r2
The equation of the circle now becomes (x – h)2 + (y – k)2 = h2 + k2.
It is given that the circle makes intercepts a and b on the coordinate axes. This means that the circle passes through points (a, 0) and (0, b). Therefore,
(a – h)2 + (0 – k)2 = h2 + k2                 …(1)
(0 – h)2 + (b – k)2 = h2 + k2                 …(2)
From equation (1), we obtain
a2 – 2ah + h2 + k2 = h2 + k2
⇒ a2 – 2ah = 0
⇒ a(a – 2h) = 0
⇒ a = 0 or (a – 2h) = 0
However, a ≠ 0; hence, (a – 2h) = 0 ⇒ h = a/2 .
From equation (2), we obtain
h2 + b2 – 2bk + k2 = h2 + k2
⇒ b2 – 2bk = 0
⇒ b(b – 2k) = 0
⇒ b = 0 or(b – 2k) = 0
However, b ≠ 0; hence, (b – 2k) = 0 ⇒ k = b/2.
Thus, the equation of the required circle is

""NCERT-Solutions-Class-11-Mathematics-Chapter-11-Conic-Sections-3

⇒ 4x2 - 4ax + a2 + 4y2 - 4by + b2 = a2  + b2 
⇒ 4x2 + 4y2 - 4ax - 4by = 0 
⇒ x2 + y2 - ax - by = 0

14. Find the equation of a circle with centre (2, 2) and passes through the point (4, 5).
Solution

The centre of the circle is given as (h, k) = (2, 2).
Since the circle passes through point (4, 5), the radius (r) of the circle is the distance between the points (2, 2) and (4, 5).

""NCERT-Solutions-Class-11-Mathematics-Chapter-11-Conic-Sections-4

Thus, the equation of the circle is 
(x - h)2 + (y - k)2  = r2 
⇒ (x - 2)2 + (y - 2)2 = (√13)2 
⇒ x2 - 4x + 4 + y2 - 4y + 4 = 13
⇒ x2 + y2 - 4x - 4y - 5 = 0

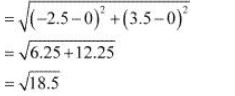
15. Does the point (–2.5, 3.5) lie inside, outside or on the circle x2 + y2 = 25?
Solution

The equation of the given circle is x2 + y2 = 25.
x2 + y2 = 25
⇒ (x – 0)2 + (y – 0)2 = 52, which is of the form (x – h)2 + (y – k)2 = r2, where h = 0, k = 0, and r = 5.
∴ Centre = (0, 0) and radius = 5
Distance between point (–2.5, 3.5) and centre (0, 0)

""NCERT-Solutions-Class-11-Mathematics-Chapter-11-Conic-Sections-5

= 4.3 (approx.) < 5 
Since the distance between point (-2.5, 3.5) and centre (0, 0) of the circle is less than the radius of the circle, point (–2.5, 3.5) lies inside the circle.

Exercise 11.2

1. Find the coordinates of the focus, axis of the parabola, the equation of directrix and the length of the latus rectum for y2 = 12x
Solution

The given equation is y2 = 12x.
Here, the coefficient of x is positive. Hence, the parabola opens towards the right.
On comparing this equation with y= 4ax, we obtain
4a = 12
⇒ a = 3
∴Coordinates of the focus = (a, 0) = (3, 0)
Since the given equation involves y2, the axis of the parabola is the x-axis.
Equation of direcctrix, x = –a i.e., x = – 3 i.e., x + 3 = 0
Length of latus rectum = 4a = 4 × 3 = 12

2. Find the coordinates of the focus, axis of the parabola, the equation of directrix and the length of the latus rectum for x2 = 6y
Solution

The given equation is x2 = 6y.
Here, the coefficient of y is positive. Hence, the parabola opens upwards.
On comparing this equation with x2 = 4ay, we obtain 
4a = 6
⇒ a = 3/2 
∴ Coordinates of the focus = (0, a) = (0, 3/2) 
Since the given equation involves x2 , the axis of the parabola is the y - axis.  
Equation of directrix , y = -a i.e., y = -3/2 
Length of latus rectum  = 4a = 6

3. Find the coordinates of the focus, axis of the parabola, the equation of directrix and the length of the latus rectum for y2 = – 8x
Solution

The given equation is y2 = –8x.
Here, the coefficient of x is negative. Hence, the parabola opens towards the left.
On comparing this equation with y2 = –4ax, we obtain
–4a = –8
⇒ a = 2
∴ Coordinates of the focus = (–a, 0) = (–2, 0)
Since the given equation involves y2, the axis of the parabola is the x-axis.
Equation of directrix, x = a i.e., x = 2
Length of latus rectum = 4a = 8

4. Find the coordinates of the focus, axis of the parabola, the equation of directrix and the length of the latus rectum for x2 = – 16y
Solution

The given equation is x2 = –16y.
Here, the coefficient of y is negative. Hence, the parabola opens downwards.
On comparing this equation with x2 = – 4ay, we obtain
–4a = –16
⇒ a = 4
∴ Coordinates of the focus = (0, –a) = (0, –4)
Since the given equation involves x2, the axis of the parabola is the y-axis.
Equation of directrix, y = a i.e., y = 4
Length of latus rectum = 4a = 16

5. Find the coordinates of the focus, axis of the parabola, the equation of directrix and the length of the latus rectum for y2 = 10x
Solution

The given equation is y2 = 10x.
Here, the coefficient of x is positive. Hence, the parabola opens towards the right.
On comparing this equation with y= 4ax, we obtain 
4a = 10
⇒ a = 5/2 
∴ Coordinates of the focus = (a, 0) = (5/2, 0) 
Since the given equation involves y2 , the axis of the parabola is the x - axis.  
Equation of directrix, x = -a, i.e., x = -5/2 
Length of latus rectum  = 4a = 10

6. Find the coordinates of the focus, axis of the parabola, the equation of directrix and the length of the latus rectum for x2 = –9y .
Solution

The given equation is x2 = –9y.
Here, the coefficient of y is negative. Hence, the parabola opens downwards.
On comparing this equation with x2 = –4ay, we obtain 
-4a = -9
⇒ b = 9/4 
∴ Coordinates of the focus = (0, -a) = (0, -9/4) 
Since the given equation involves x2 , the axis of the parabola is the y - axis. 
Equation of directrix, y = a, i.e., y = 9/4 
Length of latus rectum = 4a = 9

7. Find the equation of the parabola that satisfies the following conditions: Focus (6, 0); directrix x = –6
Solution

Focus (6, 0); directrix, x = –6
Since the focus lies on the x-axis, the x-axis is the axis of the parabola.
Therefore, the equation of the parabola is either of the form y2 = 4ax or
y2 = – 4ax.
It is also seen that the directrix, x = –6 is to the left of the y-axis, while the focus (6, 0) is to the right of the y-axis. Hence, the parabola is of the form y2 = 4ax.
Here, a = 6
Thus, the equation of the parabola is y2 = 24x.

8. Find the equation of the parabola that satisfies the following conditions: Focus (0, –3); directrix y = 3
Solution

Focus = (0, –3); directrix y = 3
Since the focus lies on the y-axis, the y-axis is the axis of the parabola.
Therefore, the equation of the parabola is either of the form x2 = 4ay or
x= – 4ay.
It is also seen that the directrix, y = 3 is above the x-axis, while the focus
(0, –3) is below the x-axis. Hence, the parabola is of the form x2 = –4ay.
Here, a = 3
Thus, the equation of the parabola is x2 = –12y.

9. Find the equation of the parabola that satisfies the following conditions: Vertex (0, 0); focus (3, 0)
Solution

Vertex (0, 0); focus (3, 0)
Since the vertex of the parabola is (0, 0) and the focus lies on the positive x-axis, x-axis is the axis of the parabola, while the equation of the parabola is of the form y2 = 4ax.
Since the focus is (3, 0), a = 3.
Thus, the equation of the parabola is y2 = 4×3×x, i.e., y2 = 12x

10. Find the equation of the parabola that satisfies the following conditions: Vertex (0, 0) focus (–2, 0)
Solution

Vertex (0, 0) focus (–2, 0)
Since the vertex of the parabola is (0, 0) and the focus lies on the negative x-axis, x-axis is the axis of the parabola, while the equation of the parabola is of the form y2 = –4ax.
Since the focus is (–2, 0), a = 2.
Thus, the equation of the parabola is y2 = –4(2)x, i.e., y2 = –8x

11. Find the equation of the parabola that satisfies the following conditions: Vertex (0, 0) passing through (2, 3) and axis is along x-axis
Solution

Since the vertex is (0, 0) and the axis of the parabola is the x-axis, the equation of the parabola is either of the form y2 = 4ax or y2 = –4ax.
The parabola passes through point (2, 3), which lies in the first quadrant.
Therefore, the equation of the parabola is of the form y2 = 4ax, while point
(2, 3) must satisfy the equation y2 = 4ax. 
∴ 32 = 4a(2) ⇒ a = 9/8 
Thus, the equation of the parabola is  

""NCERT-Solutions-Class-11-Mathematics-Chapter-11-Conic-Sections-6

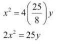
12. Find the equation of the parabola that satisfies the following conditions: Vertex (0, 0), passing through (5, 2) and symmetric with respect to y-axis
Solution

Since the vertex is (0, 0) and the parabola is symmetric about the y-axis, the equation of the parabola is either of the form x2 = 4ay or x2 = –4ay.
The parabola passes through point (5, 2), which lies in the first quadrant.
Therefore, the equation of the parabola is of the form x2 = 4ay, while point
(5, 2) must satisfy the equation x2 = 4ay. 
∴ (5)2 = 4×a ×2 ⇒ 25 = 8a ⇒ a = 25/8 
Thus, the equation of the parabola is  

""NCERT-Solutions-Class-11-Mathematics-Chapter-11-Conic-Sections-7

Exercise 11.3

1. Find the coordinates of the foci, the vertices, the length of major axis, the minor axis, the eccentricity and the length of the latus rectum of the ellipse x2/36 + y2/16 = 1 
Solution

The given equation is x2/36 + y2/16 = 1.
Here, the denominator of x2/36 is greater than the denominator of y2/16 . 
Therefore, the major axis is along the x - axis, while the minor axis is along the y - axis. 
On comparing the given equation with x2/a2 + y2/b2  = 1 , we obtain a = 6 and b = 4. 

""NCERT-Solutions-Class-11-Mathematics-Chapter-11-Conic-Sections-8

2. Find the coordinates of the foci, the vertices, the length of major axis, the minor axis, the eccentricity and the length of the latus rectum of the ellipse x2/4 + y2/25 = 1 
Solution

""NCERT-Solutions-Class-11-Mathematics-Chapter-11-Conic-Sections-9

3. Find the coordinates of the foci, the vertices, the length of major axis, the minor axis, the eccentricity and the length of the latus rectum of the ellipse x2/16 + y2/9 = 1.
Solution

""NCERT-Solutions-Class-11-Mathematics-Chapter-11-Conic-Sections-10

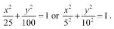
4. Find the coordinates of the foci, the vertices, the length of major axis, the minor axis, the eccentricity and the length of the latus rectum of the ellipse x2/25 + y2/100 = 1 
Solution

The given equation is

""NCERT-Solutions-Class-11-Mathematics-Chapter-11-Conic-Sections-11

Here, the denominator of y2/100 is greater than the denominator of x2/25. 
Therefore, the major axis is along the y - axis, while the minor axis is along the x-axis.
On comparing the given equation with x2 /b2  + y2 /a2  = 1, we obtain b = 5 and a = 10. 

""NCERT-Solutions-Class-11-Mathematics-Chapter-11-Conic-Sections-12

5. Find the coordinates of the foci, the vertices, the length of major axis, the minor axis, the eccentricity and the length of the latus rectum of the ellipse x2/49 + y2/36 = 1 
Solution

The given equation is

""NCERT-Solutions-Class-11-Mathematics-Chapter-11-Conic-Sections-13

Here, the denominator of x2/49 is greater than the denominator of y2/36. 
Therefore, the major axis is along the x - axis, while the minor axis is along the y - axis.  
On comparing the given equation with x2/a2 + y2/b2  = 1, we obtain a = 7 and b = 6. 

""NCERT-Solutions-Class-11-Mathematics-Chapter-11-Conic-Sections-14

6. Find the coordinates of the foci, the vertices, the length of major axis, the minor axis, the eccentricity and the length of the latus rectum of the ellipse x2/100 + y2/400 = 1
Solution

The given equation is

""NCERT-Solutions-Class-11-Mathematics-Chapter-11-Conic-Sections-15

Here, the denominator of y2 /400 is greater than the denominator of x2/100. 
Therefore, the major axis is along the y-axis, while the minor axis is along the x-axis. 
On comparing the given equation with x2/b2 + y2/a2 = 1, we obtain b = 10 and a = 20. 

""NCERT-Solutions-Class-11-Mathematics-Chapter-11-Conic-Sections-16

7. Find the coordinates of the foci, the vertices, the length of major axis, the minor axis, the eccentricity and the length of the latus rectum of the ellipse 36x2 + 4y2 = 144
Solution

The given equation is 36x2 + 4y2 = 144.
It can be written as 

""NCERT-Solutions-Class-11-Mathematics-Chapter-11-Conic-Sections-27

Here, the denominator of y2/62 is greater than the denominator of x2/22.
Therefore, the major axis is along the y - axis, while the minor axis is along the x - axis. 
On comparing equation (1) with x2/b2 + y2/a2 = 1, we obtain b = 2 and a = 6. 

""NCERT-Solutions-Class-11-Mathematics-Chapter-11-Conic-Sections-28

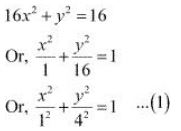
8. Find the coordinates of the foci, the vertices, the length of major axis, the minor axis, the eccentricity and the length of the latus rectum of the ellipse 16x2 + y2 = 16
Solution

The given equation is 16x2 + y2 = 16.
It can be written as 

""NCERT-Solutions-Class-11-Mathematics-Chapter-11-Conic-Sections-29

Here, the denominator of y2/42 is greater than the denominator of x2/12.
Therefore, the major axis is along the y - axis, while the minor axis is along the x - axis. 
On comparing equation (1) with x2/b2 + y2/a2 = 1, we obtain b = 1 and a = 4. 

""NCERT-Solutions-Class-11-Mathematics-Chapter-11-Conic-Sections-30

Therefore,  
The coordinates of the foci are (0, ± √15). 
The coordinates of the vertices are (0, ±4). 
length of major axis = 2a = 8 
Length of minor axis = 2b = 2
Eccentricity, e = c/a = √15/4 
Length of latus rectum - 2b2/a = (2×1)/4 = 1/2

9. Find the coordinates of the foci, the vertices, the length of major axis, the minor axis, the eccentricity and the length of the latus rectum of the ellipse 4x2 + 9y2 = 36
Solution

The given equation is 4x2 + 9y2 = 36.
It can be written as

""NCERT-Solutions-Class-11-Mathematics-Chapter-11-Conic-Sections-31

Therefore, 
The coordinates of the foci are (±√5, 0). 
The coordinates of the vertices are (±3, 0). 
Length of major axis = 2a = 6 
Length of minor axis = 2b = 4 
Eccentricity, e = c/a = √5/3 
Length of latus rectum = 2b2/a = (2× 4)/3 = 8/3

10. Find the equation for the ellipse that satisfies the given conditions: Vertices (±5, 0), foci (±4, 0).
Solution
Vertices (±5, 0), foci (±4, 0)
Here, the vertices are on the x-axis.
Therefore, the equation of the ellipse will be of the form x2/a2 + y2/b2 = 1 , where is the semi-major axis.
Accordingly, a = 5 and c = 4.
It is known that a2 = b2 + c2.
∴ 52 = b2 + 42
⇒ 25 = b2 + 16
⇒ b2 = 25 - 16
⇒ b = √9 = 3
Thus, the equation of the ellipse 

""NCERT-Solutions-Class-11-Mathematics-Chapter-11-Conic-Sections-26

11. Find the equation for the ellipse that satisfies the given conditions: Vertices (0, ±13), foci (0, ±5)
Solution
Vertices (0, ±13), foci (0, ±5)
Here, the vertices are on the y-axis.
Therefore, the equation of the ellipse will be of the form x2 /a2 + y2 /b2 = 1, where is the semi-major axis.
Accordingly, a = 13 and c = 5.
It is known that  a2 = b2 + c2.
∴ 132 = b2 + 52
⇒ 169 = b2 + 25
⇒ b2 = 169 - 25
⇒ b = √144 = 12
Thus, the equation of the ellipse is 

""NCERT-Solutions-Class-11-Mathematics-Chapter-11-Conic-Sections-25

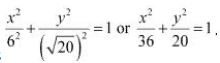
12. Find the equation for the ellipse that satisfies the given conditions: Vertices (±6, 0), foci (±4, 0)
Solution
Vertices (±6, 0), foci (±4, 0)
Here, the vertices are on the x-axis.
Therefore, the equation of the ellipse will be of the form x2 /a2 + y2 /b2 = 1, where is the semi-major axis.
Accordingly, a = 6, c = 4.
It is known that a2 = b2 + c2.
∴ 62 = b2 + 42
⇒ 36 = b2 + 16
⇒ b2 = 36 - 16
⇒ b = √ 20
Thus, the equation of the ellipse is 

""NCERT-Solutions-Class-11-Mathematics-Chapter-11-Conic-Sections-24

13. Find the equation for the ellipse that satisfies the given conditions: Ends of major axis (±3, 0), ends of minor axis (0, ±2)
Solution
Ends of major axis (±3, 0), ends of minor axis (0, ±2)
Here, the major axis is along the x-axis.
Therefore, the equation of the ellipse will be of the form x2/a2 + y2/b2 = 1, where a is the semi-major axis.
Accordingly, a = 3 and b = 2.
Thus, the equation of the ellipse is 

""NCERT-Solutions-Class-11-Mathematics-Chapter-11-Conic-Sections-23

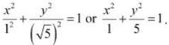
14. Find the equation for the ellipse that satisfies the given conditions: Ends of major axis (0, ± √5), ends of minor axis (±1, 0)
Solution
Ends of major axis (0, ± √5), ends of minor axis (±1, 0)
Here, the major axis is along the y-axis.
Therefore, the equation of the ellipse will be of the form x2 /a2 + y2 /b2 = 1, where is the semi-major axis.
Accordingly, a = √5 and b = 1.
Thus, the equation of the ellipse is  

""NCERT-Solutions-Class-11-Mathematics-Chapter-11-Conic-Sections-22

15. Find the equation for the ellipse that satisfies the given conditions: Length of major axis 26, foci (± 5, 0)
Solution
Length of major axis = 26; foci = (±5, 0).
Since the foci are on the x-axis, the major axis is along the x-axis.
Therefore, the equation of the ellipse will be of the form  x2 /a2 + y2 /b2 = 1, where is the semi-major axis.
Accordingly,
2a = 26
⇒ a = 13 and c = 5.
It is known that a2 = b2 + c2.
∴ 132 = b2 + 52 
⇒ 169 = b2 + 25
⇒ b2 = 169 - 25
⇒ b = √144 = 12
Thus, the equation of the ellipse is 

""NCERT-Solutions-Class-11-Mathematics-Chapter-11-Conic-Sections-21

16. Find the equation for the ellipse that satisfies the given conditions: Length of minor axis 16, foci (0, ±6)
Solution
Length of minor axis = 16; foci = (0, ± 6).
Since the foci are on the y-axis, the major axis is along the y-axis.
Therefore, the equation of the ellipse will be of the form x2 /a2 + y2 /b2 = 1, where a is the semi-major axis.
Accordingly,
2b = 16
⇒ b = 8 and c = 6.
It is known that a2 = b2 + c2.
∴ a2 = 82 + 62 = 64 + 36 = 100 
⇒ a = √100 = 10
Thus, the equation of the ellipse is

""NCERT-Solutions-Class-11-Mathematics-Chapter-11-Conic-Sections-20

17. Find the equation for the ellipse that satisfies the given conditions: Foci (±3, 0), a = 4
Solution

Foci (± 3, 0), a = 4
Since the foci are on the x-axis, the major axis is along the x-axis.
Therefore, the equation of the ellipse will be of the form x2/a2 + y2/b2 = 1, where a is the semi-major axis.
Accordingly, c = 3 and a = 4.
It is known that a2 = b2 + c2.
∴ 42 = b2 + 32 
⇒ 16 = b2 + 9 
⇒ b2 = 16 - 9 = 7
Thus, the equation of the ellipse is x2/16 + y2/7 = 1.

18. Find the equation for the ellipse that satisfies the given conditions: b = 3, c = 4, centre at the origin; foci on the axis.
Solution

It is given that b = 3, c = 4, centre at the origin; foci on the x axis.
Since the foci are on the x-axis, the major axis is along the x-axis.
Therefore, the equation of the ellipse will be of the form x2/a2 + y2/b2 = 1, where a is the semi-major axis.
Accordingly, b = 3, c = 4.
It is known that a2 = b2 + c2.
∴ a2 = 32 + 42 = 9 + 16 = 25 
⇒ a = 5 
Thus, the equation of the ellipse is

""NCERT-Solutions-Class-11-Mathematics-Chapter-11-Conic-Sections-19

19. Find the equation for the ellipse that satisfies the given conditions: Centre at (0, 0), major axis on the y-axis and passes through the points (3, 2) and (1, 6).
Solution

Since the centre is at (0, 0) and the major axis is on the y-axis, the equation of the ellipse will be of the form

""NCERT-Solutions-Class-11-Mathematics-Chapter-11-Conic-Sections-18

On solving equations (2) and (3), we obtain b2 = 10 and a2 = 40. 
Thus, the equation of the ellipse is x2/10 + y2/40 = 1 or 4x2 + y2 = 40.

20. Find the equation for the ellipse that satisfies the given conditions: Major axis on the x-axis and passes through the points (4, 3) and (6, 2).
Solution

Since the major axis is on the x - axis, the equation of the ellipse will be of the form 

""NCERT-Solutions-Class-11-Mathematics-Chapter-11-Conic-Sections-17

On solving equations (2) and (3), we obtain a2 = 52 and b2 = 13.
Thus, the equation of the ellipse is x2/52 + y2/13 = 1 or x2 + 4y2 = 52.

Exercise 11.4

1. Find the coordinates of the foci and the vertices, the eccentricity, and the length of the latus rectum of the hyperbola x2/16 - y2/9 = 1 
Solution

The given equation is

""NCERT-Solutions-Class-11-Mathematics-Chapter-11-Conic-Sections-39

On comparing the equation with the standard equation of hyperbola i.e., x2 /a2 - y2 /b2 = 1, we obtain a = 4 and b = 3.
We know that a2 + b2 = c2.
∴ c2 = 42 + 32 = 25
⇒ c = 5
Therefore, 
The coordinates of the foci are (± 5, 0). 
The coordinates of the vertices are (± 4, 0). 
Eccentricity, e = c/a = 5/4 
Length of latus rectum = 2b2/a = (2×9)/4 = 9/2.

2. Find the coordinates of the foci and the vertices, the eccentricity, and the length of the latus rectum of the hyperbola y2/9 - x2/27 = 1 
Solution

The given equation is

 

""NCERT-Solutions-Class-11-Mathematics-Chapter-11-Conic-Sections-38

On comparing this equation with the standard equation of hyperbola i.e., y2/a2 - x2/b2 = 1, we obtain a = 3 and b = √27.
We know that a2 + b2 = c2.
∴ c2 = 32 + (√27)2 = 9 + 27 = 36
⇒ c = 6
Therefore, 
The coordinates of the foci are (0, ± 6).
The coordinates of the vertices are (0, ± 3).
Eccentricity, e = c/a = 6/3 = 2
Length of latus rectum = 2b2/a = (2× 27)/3 = 18

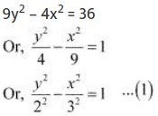
3. Find the coordinates of the foci and the vertices, the eccentricity, and the length of the latus rectum of the hyperbola 9y2 – 4x2 = 36.
Solution

The given equation is 9y2 – 4x2 = 36.
It can be written as
9y2 – 4x2 = 36 

""NCERT-Solutions-Class-11-Mathematics-Chapter-11-Conic-Sections-37

On comparing equation (1) with the standard equation of hyperbola i.e., y2/a2 - x2/b2 = 1, we obtain a = 2 and b = 3.
We know that a2 + b2 = c2.
∴ c2 = 4 + 9 = 13
⇒ c = √13
Therefore, 
The coordinates of the foci are (0, ± √13)
The coordinates of the vertices are (0, ± 2).
Eccentricity,  e = c/a = √13/2
Length of latus rectum  = 2b2/a = (2× 9)/2 = 9

4. Find the coordinates of the foci and the vertices, the eccentricity, and the length of the latus rectum of the hyperbola 16x2 – 9y2 = 576 
Solution

The given equation is 16x2 – 9y2 = 576.
It can be written as

""NCERT-Solutions-Class-11-Mathematics-Chapter-11-Conic-Sections-36

On comparing equation (1) with the standard equation of hyperbola i.e., x2/a2 - y2/b2 = 1 , we obtain a = 6 and b = 8.
We know that a2 + b2 = c2.
∴ c2 = 36 + 64 = 100 
⇒ c = 10
Therefore, 
The coordinates of the foci are (± 10, 0). 
The coordinates of the vertices are ( ±6, 0). 
Eccentricity, e = c/a = 10/6 = 5/3
Length of latus rectum =2b2/a = (2 × 64)/6 = 64/3

5. Find the coordinates of the foci and the vertices, the eccentricity, and the length of the latus rectum of the hyperbola 5y2 – 9x2 = 36
Solution

The given equation is 5y2 - 9x2 = 36. 

""NCERT-Solutions-Class-11-Mathematics-Chapter-11-Conic-Sections-35

6. Find the coordinates of the foci and the vertices, the eccentricity, and the length of the latus rectum of the hyperbola 49y2 – 16x2 = 784
Solution

The given equation is 49y2 – 16x2 = 784.
It can be written as
49y2 – 16x2 = 784 

""NCERT-Solutions-Class-11-Mathematics-Chapter-11-Conic-Sections-34

On comparing equation (1) with the standard equation of hyperbola i.e., y2 /a2 - x2 /b2 = 1, we obtain a = 4 and b = 7 
We know that a2 + b2 = c2.
∴ c2 = 16 + 49 = 65 
⇒ c = √65 
Therefore, 
The coordinates of the foci are (0, ± √65). 
The coordinates of the vertices are (0, ± 4). 
Eccentricity, e = c/a = √65/4 
Length of latus rectum  = 2b2/a = (2× 49)/4 = 49/2

7.  Find the equation of the hyperbola satisfying the give conditions: Vertices (±2, 0), foci (±3, 0).
Solution

Vertices (±2, 0), foci (±3, 0)
Here, the vertices are on the x-axis.
Therefore, the equation of the hyperbola is of the form x2/a2 - y2/b2  = 1. 
Since the vertices are (±2, 0), a = 2.
Since the foci are (±3, 0), c = 3.
We know that a2 + b2 = c2.
∴ 22 + b2 = 32 
b2 = 9 - 4 = 5 
Thus, the equation of the hyperbola is x2/4 - y2 /5 = 1.

8. Find the equation of the hyperbola satisfying the give conditions: Vertices (0, ±5), foci (0, ± 8).
Solution

Vertices (0, ±5), foci (0, ±8)
Here, the vertices are on the y-axis.
Therefore, the equation of the hyperbola is of the form y2/a2 - x2/b2  = 1.
Since the vertices are (0, ±5), a = 5.
Since the foci are (0, ±8), c = 8.
We know that a2 + b2 = c2
∴ 52 + b2 = 82 
b2 = 64 - 25 = 39 
Thus, the equation of the hyperbola is y2/25 - x2/39 = 1.

9. Find the equation of the hyperbola satisfying the give conditions: Vertices (0, ±3), foci (0, ± 5) . 
Solution

Vertices (0, ±3), foci (0, ±5)
Here, the vertices are on the y-axis.
Therefore, the equation of the hyperbola is of the form y2/a2 - x2 /b2  = 1.
Since the vertices are (0, ±3), a = 3.
Since the foci are (0, ±5), c = 5.
We know that a2 + b2 = c2.
∴32 + b2 = 52
⇒ b2 = 25 – 9 = 16
Thus, the equation of the hyperbola is y2/9 - x2/16 = 1.

10. Find the equation of the hyperbola satisfying the give conditions: Foci (±5, 0), the transverse axis is of length 8.
Solution

Foci (±5, 0), the transverse axis is of length 8.
Here, the foci are on the x-axis.
Therefore, the equation of the hyperbola is of the form x2/a2 - y2/b2  = 1.
Since the foci are (±5, 0), c = 5.
Since the length of the transverse axis is 8,
2a = 8
⇒ a = 4.
We know that a2 + b2 = c2.
∴ 42 + b2 = 52
⇒ b2 = 25 – 16 = 9
Thus, the equation of the hyperbola is x2/16 - y2/9 = 1.

11. Find the equation of the hyperbola satisfying the give conditions: Foci (0, ±13), the conjugate axis is of length 24.
Solution

Foci (0, ±13), the conjugate axis is of length 24.
Here, the foci are on the y-axis.
Therefore, the equation of the hyperbola is of the form y2/a2 - x2/b2 = 1.
Since the foci are (0, ±13), c = 13.
Since the length of the conjugate axis is 24,
2b = 24
⇒ b = 12.
We know that a2 + b2 = c2.
∴ a2 + 122 = 132
⇒ a2 = 169 – 144 = 25
Thus, the equation of the hyperbola is y2/25  - x2/144 = 1.

12. Find the equation of the hyperbola satisfying the give conditions: Foci (± 3√5, 0), the latus rectum is of length 8.
Solution

Foci (± 3√5, 0), the latus rectum is of length 8. 
Here, the foci are on the x - axis. 
Therefore, the equation of the hyperbola is of the form x2/a2 - y2/b2 = 1. 
Since the foci are (±3√5, 0), c = ± 3√5 . 
Length of latus rectum  = 8 
⇒ 2b2 /a = 8 
⇒ b2 = 4a 
We know that a2 + b2 = c2 . 
∴ a2 + 4a = 45
⇒ a2 + 4a – 45 = 0
⇒ a2 + 9a – 5a – 45 = 0
⇒ (a + 9) (a – 5) = 0
⇒⇒ a = –9, 5
Since a is non-negative, a = 5.
∴ b2 = 4a = 4 × 5 = 20
Thus, the equation of the hyperbola is x2/25 - y2/20 = 1.

13. Find the equation of the hyperbola satisfying the give conditions: Foci (±4, 0), the latus rectum is of length 12 . 
Solution

Foci (±4, 0), the latus rectum is of length 12.
Here, the foci are on the x-axis.
Therefore, the equation of the hyperbola is of the form x2/a2 - y2/b2 = 1 .
Since the foci are (±4, 0), c = 4.
Length of latus rectum = 12  
⇒ 2b2/a = 12 
⇒ b2 = 6a
We know that a2 + b2 = c2.
∴ a2 + 6a = 16
⇒ a2 + 6a – 16 = 0
⇒ a2 + 8a – 2a – 16 = 0
⇒ (a + 8) (a – 2) = 0
⇒ a = –8, 2
Since a is non-negative, a = 2.
∴ b2 = 6a = 6×2 = 12
Thus, the equation of the hyperbola is x2/4 - y2/12 = 1.

14. Find the equation of the hyperbola satisfying the give conditions: Vertices (±7, 0), e = 4/3
Solution

Vertices (±7, 0), e = 4/3
Here, the vertices are on the x-axis.
Therefore, the equation of the hyperbola is of the form x2/a2 - y2/b2 = 1.
Since the vertices are (±7, 0), a = 7.
It is given that e = 4/3 

""NCERT-Solutions-Class-11-Mathematics-Chapter-11-Conic-Sections-33

15. Find the equation of the hyperbola satisfying the give conditions: Foci (0, ±√10), passing through (2, 3) .
Solution

Foci (0, ±√10), passing through (2, 3)
Here, the foci are on the y-axis.
Therefore, the equation of the hyperbola is of the form y2/a2 - x2/b2 = 1.
Since the foci are (0, ± √10), c = √10 .
We know that a2 + b2 = c2.
∴ a2 + b2 = 10
⇒ b2 = 10 – a2 … (1)
Since the hyperbola passes through point (2, 3), 
9/a2 - 4/b2 = 1  ...(2) 
From equations (1) and (2), we obtain  

""NCERT-Solutions-Class-11-Mathematics-Chapter-11-Conic-Sections-32

⇒ 9(10 - a2 ) - 4a2 = a2 (10 - a2)
⇒ 90 - 9a2 - 4a2 = 10a2 - a4 
⇒ a4 - 23a2 + 90 = 0 
⇒ a4 - 18a2 - 5a2 + 90 = 0 
⇒ a2 (a2 - 18) - 5(a2 - 18) = 0
⇒ (a2 - 18)(a2 - 5) = 0 
⇒ a2 = 18 or 5 
In hyperbola, c > a, i.e., c2 > a2 
a2 = 5 
b2 = 10 - a2 = 10 - 5 = 5 
Thus, the equation of the hyperbola is y2/5 - x2/5 = 1.

Miscellaneous Solutions

1. If a parabolic reflector is 20 cm in diameter and 5 cm deep, find the focus.
Solution

The origin of the coordinate plane is taken at the vertex of the parabolic reflector in such a way that the axis of the reflector is along the positive x-axis.
This can be diagrammatically represented as 

""NCERT-Solutions-Class-11-Mathematics-Chapter-11-Conic-Sections-40

The equation of the parabola is of the form y2 = 4ax (as it is opening to the right).
Since the parabola passes through point A (10, 5), 102 = 4a(5)
⇒ 100 = 20a 
⇒ a = 100/20 = 5
Therefore, the focus of the parabola is (a, 0) = (5, 0), which is the mid-point of the diameter.
Hence, the focus of the reflector is at the mid-point of the diameter.

2. An arch is in the form of a parabola with its axis vertical. The arch is 10 m high and 5 m wide at the base. How wide is it 2 m from the vertex of the parabola?
Solution

The origin of the coordinate plane is taken at the vertex of the arch in such a way that its vertical axis is along the negative y-axis.
This can be diagrammatically represented as 

""NCERT-Solutions-Class-11-Mathematics-Chapter-11-Conic-Sections-41

The equation of the parabola is of the form x2 = −4ay (as it is opening downwards).
It can be clearly seen that the parabola passes through point (5/2,−10). 
(5/2)2 = 4a (10) 
⇒ 4a = 25/(4 × 10) = 5/8
Therefore, the arch is in the form of a parabola whose equation is x2 = (-5/8)y . 
When y = -2, x2 = (-5/8) (-2) 
⇒ x2 = 5/4 
⇒ x = √5/2 
∴ AB = 2× (√5/2) m = √5 m = 2.23 m (approx.) 
Hence , when the arch is  2 m from the vertex of the parabola, its width is approximately 2.23m.

3. The cable of a uniformly loaded suspension bridge hangs in the form of a parabola. The roadway which is horizontal and 100 m long is supported by vertical wires attached to the cable, the longest wire being 30 m and the shortest being 6 m. Find the length of a supporting wire attached to the roadway 18 m from the middle.
Solution

The vertex is at the lowest point of the cable. The origin of the coordinate plane is taken as the vertex of the parabola, while its vertical axis is taken along the positive y-axis. This can be diagrammatically represented as

""NCERT-Solutions-Class-11-Mathematics-Chapter-11-Conic-Sections-42

Here, AB and OC are the longest and the shortest wires, respectively, attached to the cable.
DF is the supporting wire attached to the roadway, 18 m from the middle.
Here, AB = 30 m, OC = 6 m, and BC = 100/2 = 50 m.
The equation of the parabola is of the form x2 = 4ay (as it is opening upwards).
The coordinates of point A are (50, 30 – 6) = (50, 24).
Since A (50, 24) is a point on the parabola, 

""NCERT-Solutions-Class-11-Mathematics-Chapter-11-Conic-Sections-43

⇒ y = 3.11 (approx) 
DE = 3.11 m 
DF = DE + EF = 3.11m + 6m = 9.11 m 
Thus, the length of the supporting wire attached to the roadway 18 m from the middle is approximately 9.11 m.

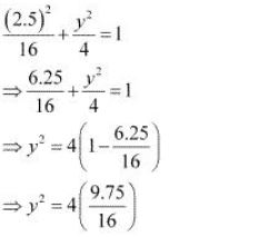
4. An arch is in the form of a semi-ellipse. It is 8 m wide and 2 m high at the centre. Find the height of the arch at a point 1.5 m from one end.
Solution

Since the height and width of the arc from the centre is 2 m and 8 m respectively, it is clear that the length of the major axis is 8 m, while the length of the semi-minor axis is 2 m.
The origin of the coordinate plane is taken as the centre of the ellipse, while the major axis is taken along the x-axis. Hence, the semi-ellipse can be diagrammatically represented as

""NCERT-Solutions-Class-11-Mathematics-Chapter-11-Conic-Sections-44

The equation of the semi - ellipse will be of the form x2/a2 + y2/b2 = 1, y ≥ 0 , where a is the semi- major axis  
Accordingly, 2a = 8
⇒ a = 4
b = 2
Therefore, the equation of the semi-ellipse is x2/16 + y2 /4 = 1, y ≥ 0 ...(1)
Let A be a point on the major axis such that AB = 1.5 m.
Draw AC⊥ OB.
OA = (4 – 1.5) m = 2.5 m
The x-coordinate of point C is 2.5.
On substituting the value of x with 2.5 in equation (1), we obtain

""NCERT-Solutions-Class-11-Mathematics-Chapter-11-Conic-Sections-45

⇒ y2 = 2.4375 
⇒ y = 1.56 (approx.) 
DAC = 1.56 m 
Thus, the height of the arch at a point 1.5 m from one end is approximately 1.56 m.

5. A rod of length 12 cm moves with its ends always touching the coordinate axes. Determine the equation of the locus of a point P on the rod, which is 3 cm from the end in contact with the x-axis.
Solution

Let AB be the rod making an angle θ with OX and P (x, y) be the point on it such that AP = 3 cm.
Then, PB = AB – AP = (12 – 3) cm = 9 cm [AB = 12 cm]
From P, draw PQ ⊥OY and PR ⊥ OX. 

""NCERT-Solutions-Class-11-Mathematics-Chapter-11-Conic-Sections-46

6. Find the area of the triangle formed by the lines joining the vertex of the parabola x2 = 12y to the ends of its latus rectum.
Solution

The given parabola is x2 = 12y.
On comparing this equation with x2 = 4ay, we obtain 4a = 12 ⇒ a = 3
∴The coordinates of foci are S (0, a) = S (0, 3)
Let AB be the latus rectum of the given parabola.
The given parabola can be roughly drawn as 

""NCERT-Solutions-Class-11-Mathematics-Chapter-11-Conic-Sections-47

Thus, the required area of the triangle is 18 unit2.

7. A man running a racecourse notes that the sum of the distances from the two flag posts form him is always 10 m and the distance between the flag posts is 8 m. find the equation of the posts traced by the man.
Solution

Let A and B be the positions of the two flag posts and P(x, y) be the position of the man. Accordingly, PA + PB = 10.
We know that if a point moves in a plane in such a way that the sum of its distances from two fixed points is constant, then the path is an ellipse and this constant value is equal to the length of the major axis of the ellipse.
Therefore, the path described by the man is an ellipse where the length of the major axis is 10 m, while points A and B are the foci.
Taking the origin of the coordinate plane as the centre of the ellipse, while taking the major axis along the x-axis, the ellipse can be diagrammatically represented as

""NCERT-Solutions-Class-11-Mathematics-Chapter-11-Conic-Sections-48

The equation of the ellipse will be of the form x2/a2 + y2/b2 = 1, where a is the semi - major axis 
Accordingly, 2a = 10
a = 5
Distance between the foci (2c) = 8
c = 4
On using the relation c = √(a2 - b2) , we obtain
4 = √(25 - b2)
⇒ 16 = 25 - b2
⇒ b2 = 25 - 16 = 9
⇒ b = 3 
Thus, the equation of the path traced by the man is x2/25 + y2/9 = 1.

8. An equilateral triangle is inscribed in the parabola y2 = 4 ax, where one vertex is at the vertex of the parabola. Find the length of the side of the triangle.
Solution

Let OAB be the equilateral triangle inscribed in parabola y2 = 4ax.
Let AB intersect the x-axis at point C. 

 

""NCERT-Solutions-Class-11-Mathematics-Chapter-11-Conic-Sections-49

Let OC = k 
From the equation of the given parabola, we have y2 = 4ak ⇒ y = ± 2√ak 
∴ The respective coordinates of points A and B are (k, 2√ak), and (k, -2√ak) 
AB = CA + CB = 2√ak + 2√ak = 4√ak 
Since OAB is an equilateral triangle, OA2 = AB2 . 
∴ k2 + (2√ak)2 = (4√ak)2 
⇒ k2 + 4ak = 16ak 
⇒ k2 = 12ak 
⇒ k = 12a 
∴ AB = 4√ak = 4√a × 12a = 4√12a2 = 8√3a 
Thus, the side of the equilateral triangle inscribed in parabola y2 = 4 ax is 8√3a.

NCERT Solutions Class 11 Mathematics Chapter 10 Conic Sections

Students can now access the NCERT Solutions for Chapter 10 Conic Sections prepared by teachers on our website. These solutions cover all questions in exercise in your Class 11 Mathematics textbook. Each answer is updated based on the current academic session as per the latest NCERT syllabus.

Detailed Explanations for Chapter 10 Conic Sections

Our expert teachers have provided step-by-step explanations for all the difficult questions in the Class 11 Mathematics chapter. Along with the final answers, we have also explained the concept behind it to help you build stronger understanding of each topic. This will be really helpful for Class 11 students who want to understand both theoretical and practical questions. By studying these NCERT Questions and Answers your basic concepts will improve a lot.

Benefits of using Mathematics Class 11 Solved Papers

Using our Mathematics solutions regularly students will be able to improve their logical thinking and problem-solving speed. These Class 11 solutions are a guide for self-study and homework assistance. Along with the chapter-wise solutions, you should also refer to our Revision Notes and Sample Papers for Chapter 10 Conic Sections to get a complete preparation experience.

Where can I find the latest [current-page:node:field_title] for the 2025-26 session?

The complete and updated is available for free on StudiesToday.com. These solutions for Class 11 Mathematics are as per latest NCERT curriculum.

Are the Mathematics NCERT solutions for Class 11 updated for the new 50% competency-based exam pattern?

Yes, our experts have revised the as per 2026 exam pattern. All textbook exercises have been solved and have added explanation about how the Mathematics concepts are applied in case-study and assertion-reasoning questions.

How do these Class 11 NCERT solutions help in scoring 90% plus marks?

Toppers recommend using NCERT language because NCERT marking schemes are strictly based on textbook definitions. Our will help students to get full marks in the theory paper.

Do you offer [current-page:node:field_title] in multiple languages like Hindi and English?

Yes, we provide bilingual support for Class 11 Mathematics. You can access in both English and Hindi medium.

Is it possible to download the Mathematics NCERT solutions for Class 11 as a PDF?

Yes, you can download the entire in printable PDF format for offline study on any device.