NCERT Solutions Class 11 Mathematics Chapter 10 Straight Lines

Get the most accurate NCERT Solutions for Class 11 Mathematics Chapter 9 Straight Lines here. Updated for the 2026-27 academic session, these solutions are based on the latest NCERT textbooks for Class 11 Mathematics. Our expert-created answers for Class 11 Mathematics are available for free download in PDF format.

Detailed Chapter 9 Straight Lines NCERT Solutions for Class 11 Mathematics

For Class 11 students, solving NCERT textbook questions is the most effective way to build a strong conceptual foundation. Our Class 11 Mathematics solutions follow a detailed, step-by-step approach to ensure you understand the logic behind every answer. Practicing these Chapter 9 Straight Lines solutions will improve your exam performance.

Class 11 Mathematics Chapter 9 Straight Lines NCERT Solutions PDF

Exercise 10.1

Question. Draw a quadrilateral in the Cartesian plane, whose vertices are (–4, 5), (0, 7), (5, –5) and (–4, –2). Also, find its area.
Answer :
Let ABCD be the given quadrilateral with vertices A (–4, 5), B (0, 7), C (5, –5), and D (–4, –2).
Then, by plotting A, B, C, and D on the Cartesian plane and joining AB, BC, CD, and DA, the given quadrilateral can be drawn as

""NCERT-Solutions-Class-11-Mathematics-Chapter-10-Straight-Lines

To find the area of quadrilateral ABCD, we draw one diagonal, say AC.
Accordingly, area (ABCD) = area (ΔABC) + area (ΔACD)
We know that the area of a triangle whose vertices are (x1y1), (x2y2), and (x3y3) is
½ |x1 (y2 – y3 ) + x2 (y3 – y1 ) + x3 (y1 – y2 )|
Therefore, area of ΔABC  
= 1/2 |-4(7+5) + 0(-5-5) + 5(5 - 7)| unit2 
= 1/2 |-4(12)+ 5(-2)| unit2 
= 1/2 |-48 - 10| unit2 
= 1/2 |-58| unit2 
= 1/2 × 58 unit2 
= 29 unit2  
Area of Δ ACD 
= 1/2 |-4(-5 + 2) + 5(-2 - 5) + (-4)(5 + 5)| unit2 
= 1/2 |-4(-3) + 5(-7) - 4(10)| unit2 
= 1/2 |12 - 35 - 40| unit2 
= 1/2 |-63| unit2 
= 63/2 unit2  
Thus, area (ABCD) = (29 + 63/2) unit2 = (58 + 63)/2 unit2 = 121/2 unit2

Question. The base of an equilateral triangle with side 2a lies along they y-axis such that the mid point of the base is at the origin. Find vertices of the triangle.
Answer :
Let ABC be the given equilateral triangle with side 2a.
Accordingly, AB = BC = CA = 2a
Assume that base BC lies along the y-axis such that the mid-point of BC is at the origin.
i.e., BO = OC = a, where O is the origin.
Now, it is clear that the coordinates of point C are (0, a), while the coordinates of point B are (0, –a).
It is known that the line joining a vertex of an equilateral triangle with the mid-point of its opposite side is perpendicular.
Hence, vertex A lies on the y-axis. 

""NCERT-Solutions-Class-11-Mathematics-Chapter-10-Straight-Lines-1

On applying Pythagoras theorem to ΔAOC, we obtain
(AC)2 = (OA)2 + (OC)2
⇒ (2a)2 = (OA)2 + a2
⇒ 4a2 – a2 = (OA)2
⇒ (OA)2 = 3a2
⇒ OA = √3a
∴ Coordinates of point A = (± √3a, 0) 
Thus, the vertices of the given equilateral triangle are (0, a), (0, -a) and (√3a, 0) or (0, a) , (0, -a) and (-√3a, 0).

Question. Find the distance between P (x1, y1) and Q (x2, y2) when : (i) PQ is parallel to the y-axis, (ii) PQ is parallel to the x-axis
Answer :
The given points are P(x1, y1) and Q (x2, y2). 
(i) When PQ is parallel to the y - axis, x1 = x2.

""NCERT-Solutions-Class-11-Mathematics-Chapter-10-Straight-Lines-2

Question. Find a point on the x-axis, which is equidistant from the points (7, 6) and (3, 4).
Answer :
Let (a, 0) be the point on the x axis that is equidistant from the points (7, 6) and (3, 4).

""NCERT-Solutions-Class-11-Mathematics-Chapter-10-Straight-Lines-3

On squaring both sides, we obtain
a2 – 14a + 85 = a2 – 6a + 25
⇒ –14a + 6a = 25 – 85
⇒ –8a = –60 
⇒ a = 60/8 = 15/2 
Thus, the required point on the x - axis is (15/2, 0)

Question. Find the slope of a line, which passes through the origin, and the mid-point of the line segment joining the points P (0, –4) and B (8, 0).
Answer :
The coordinates of the mid-point of the line segment joining the points
P (0, –4) and B (8, 0) are [(0+8)/2 , (-4+0)/2] = (4, -2) 
It is known that the slope (m) of a non - vertical line passing through the points (x1, y1) and (x2, y2) is given by m = (y2 – y1 )/(x2 – x1 ) , x2 ≠ x1 . 
Therefore, the slope of the line passing through (0, 0) and (4, -2) is 
(-2-0)/(4 -0) = -2/4 = -1/2 
Hence, the required slope of the line is -1/2.

Question. Without using the Pythagoras theorem, show that the points (4, 4), (3, 5) and (–1, –1) are the vertices of a right angled triangle.
Answer :
The vertices of the given triangle are A (4, 4), B (3, 5), and C (–1, –1).
It is known that the slope (m) of a non-vertical line passing through the points (x1, y1) and (x2, y2) is given by 

""NCERT-Solutions-Class-11-Mathematics-Chapter-10-Straight-Lines-4

∴ Slope of AB(m1) = (5 - 4)/(3 -4) = -1 
Slope of BC(m2 ) = (-1-5)/(-1-3) = -6/-4 = 3/2 
Slope of CA(m3 ) = (4 + 1)/(4+1) = 5/5  = 1 
It is observed that m1m3 = -1
This shows that line segments AB and CA are perpendicular to each other
i.e., the given triangle is right-angled at A (4, 4).
Thus, the points (4, 4), (3, 5), and (–1, –1) are the vertices of a right-angled triangle.

Question. Find the slope of the line, which makes an angle of 30° with the positive direction of y-axis measured anticlockwise.
Answer :
If a line makes an angle of 30° with the positive direction of the y-axis measured anticlockwise, then the angle made by the line with the positive direction of the x-axis measured anticlockwise is 90° + 30° = 120°.

""NCERT-Solutions-Class-11-Mathematics-Chapter-10-Straight-Lines-5

Thus, the slope of the given line is tan 120° = tan(180° - 60°) = -tan 60° = -√3

Question. Find the value of x for which the points (x, –1), (2, 1) and (4, 5) are collinear.
Answer :
If points A(x, -1), B(2, 1) and C(4, 5) are collinear, then 
Slope of AB = Slope of BC  

""NCERT-Solutions-Class-11-Mathematics-Chapter-10-Straight-Lines-6

Question. Without using distance formula, show that points (–2, –1), (4, 0), (3, 3) and (–3, 2) are vertices of a parallelogram.
Answer :
Let points (–2, –1), (4, 0), (3, 3), and (–3, 2) be respectively denoted by A, B, C, and D.

""NCERT-Solutions-Class-11-Mathematics-Chapter-10-Straight-Lines-7

Slope of AB = (0+1)/(4 +2) = 1/6 
Slope of CD = (2 -3)/(-3-3) = -1/-6 = 1/6 
⇒ Slope of AB = Slope of CD 
⇒ AB and CD are parallel to each other.  
Now, slope of BC = (3 -0)/(3 - 4) = 3/-1 = -3 
Slope of AD = (2 +1)/(-3+2) = 3/-1 = -3 
⇒ Slope of BC = Slope of AD 
⇒ BC and AD are parallel to each other. 
Therefore, both pairs of opposite sides of quadrilateral ABCD are parallel. Hence, ABCD is a parallelogram. 
Thus, points (-2, -1), (4, 0), (3, 3) and (-3, 2) are the vertices of a parallelogram.

Question. Find the angle between the x-axis and the line joining the points (3, –1) and (4, –2).
Answer :
The slope of the lien joining the points (3, -1) and (4, -2) is m = [(-2-(-1)]/(4 -3) = -2 +1 = -1
Now, the inclination (θ ) of the line joining the points (3, –1) and (4, – 2) is given by
tan θ = –1
⇒ θ = (90° + 45°) = 135°
Thus, the angle between the x-axis and the line joining the points (3, –1) and (4, –2) is 135°

Question. The slope of a line is double of the slope of another line. If tangent of the angle between them is 1/3, find the slopes of the lines. 
Answer :
Let m1 and m be the slopes of the two given lines such that m1 = 2m . 
We know that if θ is the angle between the lines l1  and l2 with slopes m1 and m2 , then 
θ = |(m2 - m1 )/(1 + m1 m2 )|. 
It is given that the tangent of the angle between the two lines is 1/3.

""NCERT-Solutions-Class-11-Mathematics-Chapter-10-Straight-Lines-8

⇒ 1 + 2m2 = -3m 
⇒ 2m2 + 3m + 1 = 0 
⇒ 2m2 + 2m + m + 1 = 0 
⇒ 2m(m + 1) + 1(m + 1) = 0 
⇒ (m + 1)(2m + 1) = 0 
⇒ m = -1 or m = -1/2 
If m = -1, then the slopes of the lines are  -1 and -2. 
If m = -1/2, then the slopes of the lines are  -1/2 and -1. 
Case II
1/3 = m/1+2m2
⇒ 2m2 + 1 = 3m 
⇒ 2m2 - 3m + 1 = 0 
⇒ 2m2 - 2m - m + 1 = 0 
⇒ 2m (m - 1) - 1(m - 1) = 0 
⇒ (m - 1)(2m - 1) =0 
⇒ m = 1 or m = 1/2 
If m = 1, then the slopes of the lines are  1 and  2. 
If m = 1/2, then the slopes of the lines are 1 and 2. 
If m = 1/2, then the slopes of the lines are 1/2 and  1. 
Hence, the slopes of the lines are -1 and -2 or -1/2 and -1 or 1 and  2 or 1/2 and 1.

Question. A line passes through (x1, y1) and (h, k). If slope of the line is m, show that k – y1 = m (h – x1).
Answer :
The slope of the line passing through (x1, y1) and (h, k) is (k - y1 )/(h - x1 ) . 
It is given that the slope of the line is m. 

""NCERT-Solutions-Class-11-Mathematics-Chapter-10-Straight-Lines-9

Question. It three point (h, 0), (a, b) and (0, k) lie on a line, show that a/h + b/k = 1. 
Answer :
If the points A(h, 0), B(a, b), and C(0, k) lie on a line, then 
Slope of AB = Slope of BC  

""NCERT-Solutions-Class-11-Mathematics-Chapter-10-Straight-Lines-10

⇒ -ab = (k - b)(a - h) 
⇒ -ab = ka - kh - ab +  bh 
⇒ ka + bh = kh 
On dividing both sides by kh, we obtain  
ka/kh + bh/kh = kh/kh 
⇒ a/h + b/k = 1 
Hence, a/h + b/k = 1

Question. Consider the given population and year graph. Find the slope of the line AB and using it, find what will be the population in the year 2010?
Answer :

""NCERT-Solutions-Class-11-Mathematics-Chapter-10-Straight-Lines-11

Answer :
Since line AB passes trough points A(1985, 92) and B(1995, 97), its slope is (97 - 92)/(1995 - 1985) = 5/10 = 1/2 
Let y be the population in the year 2010. Then, according to the given graph, line AB must pass through point C(2010, y) : 
∴ Slope of AB = Slope of BC. 

⇒ y - 97 = 7.5
⇒ y = 7.5 + 97 = 104.5
Thus, the slope of line AB is 1/2 , while in the year 2010, the population will be 104.5 crores

Exercise 10.2

Question. Consider the given population and year graph. Find the slope of the line AB and using it, find what will be the population in the year 2010?
Answer :
The y-coordinate of every point on the x-axis is 0.
Therefore, the equation of the x-axis is y = 0.
The x-coordinate of every point on the y-axis is 0.
Therefore, the equation of the y-axis is x = 0.

Question. Find the equation of the line which passes through the point (–4, 3) with slope 1/2  
Answer :
We know that the equation of the line passing through point (x0 ,y0), whose slope is m, is (y - y0) = m(x - x0). 
Thus, the equation of the line passing through point (-4, 3), whose slope is 1/2, is 
(y - 3) = 1/2 (x + 4) 
⇒ 2(y - 3) = x + 4 
⇒ 2y - 6 = x + 4 
i.e., x - 2y + 10 = 0

Question. Find the equation of the line which passes though (0, 0) with slope m.
Answer :
We know that the equation of the line passing through point(x0 , y0), whose slope is m, is (y - y0) = m(x - x0). 
Thus, the equation of the line passing through point (0, 0), whose slope is m, is 
(y - 0) = m(x - 0) 
i.e., y = mx

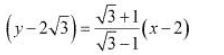
Question. Find the equation of the line which passes though (2, 2√3) and is inclined with the x-axis at an angle of 75° . 
Answer :
The slope of the line that inclines with the x-axis at an angle of 75° is
m = tan 75° 

""NCERT-Solutions-Class-11-Mathematics-Chapter-10-Straight-Lines-15

We know that the equation of the line passing through point (x0 , y0), whose slope  is m, is (y - y0) = m(x - x0). 
Thus, if a line passes though (2, 2√3) and inclines with the x - axis at an angle of 75° , then the equation of the line is given as 

""NCERT-Solutions-Class-11-Mathematics-Chapter-10-Straight-Lines-16

⇒ (y - 2√3)(√3  1) = (√3 + 1)(x - 2)
⇒ y(√3 - 1) - 2√3(√3 - 1) = x(√3 + 1) - 2(√3 + 1)
⇒ (√3 + 1)x - (√3 - 1)y = 2√3 + 2 - 6 + 2√3 
⇒ (√3 + 1)x - (√3 - 1)y = 4√3 - 4 
i.e., (√3 + 1)x - (√3 - 1)y = 4(√3 - 1)

Question. Find the equation of the line which intersects the x-axis at a distance of 3 units to the left of origin with slope –2.
Answer :
It is known that if a line with slope m makes x-intercept d, then the equation of the line is given as
y = m(x – d)
For the line intersecting the x-axis at a distance of 3 units to the left of the origin, d = –3.
The slope of the line is given as m = –2
Thus, the required equation of the given line is
y = –2 [x – (–3)]
⇒ y = –2x – 6
i.e., 2x + y + 6 = 0

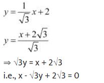
Question. Find the equation of the line which intersects the y-axis at a distance of 2 units above the origin and makes an angle of 30° with the positive direction of the x-axis.
Answer :
It is known that if a line with slope m makes y-intercept c, then the equation of the line is given as
y = mx + c
Here, c = 2 and m = tan 30°. 1/√3
Thus, the required equation of the given line is 

""NCERT-Solutions-Class-11-Mathematics-Chapter-10-Straight-Lines-17

Question. Find the equation of the line which passes through the points (–1, 1) and (2, –4).
Answer :
It is known that the equation of the line passing through points (x1, y1) and (x2, y2) is

""NCERT-Solutions-Class-11-Mathematics-Chapter-10-Straight-Lines-18

Question. Find the equation of the line which is at a perpendicular distance of 5 units from the origin and the angle made by the perpendicular with the positive x-axis is 30°
Answer :
If p is the length of the normal from the origin to a line and ω is the angle made by the normal with the positive direction of the x-axis, then the equation of the line is given by xcos ω + y sin ω = p.
Here, p = 5 units and ω = 30°
Thus, the required equation of the given line is
x cos 30° + y sin 30° = 5 

""NCERT-Solutions-Class-11-Mathematics-Chapter-10-Straight-Lines-19

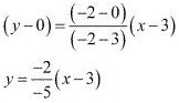
Question. The vertices of ΔPQR are P (2, 1), Q (–2, 3) and R (4, 5). Find equation of the median through the vertex R.
Answer :
It is given that the vertices of ΔPQR are P (2, 1), Q (–2, 3), and R (4, 5).
Let RL be the median through vertex R.
Accordingly, L is the mid-point of PQ.
By mid-point formula, the coordinates of point L are given by [(2 -2)/2, (1 + 3)/2] = (0, 2) 

""NCERT-Solutions-Class-11-Mathematics-Chapter-10-Straight-Lines-20

Question. Find the equation of the line passing through (–3, 5) and perpendicular to the line through the points (2, 5) and (–3, 6).
Answer :
The slope of the line joining the points (2, 5) and (–3, 6) is m = (6 -5)/(-3 -2) = 1/-5
We know that two non-vertical lines are perpendicular to each other if and only if their slopes are negative reciprocals of each other.
Therefore, slope of the line perpendicular to the line through the points (2, 5) and (–3, 6) = -1/m = 1/(-1/5) = 5 
Now, the equation of the line passing through point (–3, 5), whose slope is 5, is 
(y - 5) = 5(x + 3) 
y - 5 = 5x + 15 
i.e., 5x - y + 20 = 0

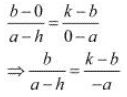
Question. A line perpendicular to the line segment joining the points (1, 0) and (2, 3) divides it in the ratio 1:n. Find the equation of the line.
Answer :
According to the section formula, the coordinates of the point that divides the line segment joining the points (1, 0) and (2, 3) in the ratio 1: n is given by

""NCERT-Solutions-Class-11-Mathematics-Chapter-10-Straight-Lines-21

Question. Find the equation of a line that cuts off equal intercepts on the coordinate axes and passes through the point (2, 3).
Answer :
The equation of a line in the intercept form is  
x/a + y/b = 1                 ...(i)
Here, a and b are the intercepts on x and y axes respectively.
It is given that the line cuts off equal intercepts on both the axes. This means that a = b.
Accordingly, equation (i) reduces to
x/a + y/b = 1 
⇒ x + y = a                 ...(ii)
Since the given line passes through point (2, 3), equation (ii) reduces to
2 + 3 = a ⇒ a = 5
On substituting the value of a in equation (ii), we obtain
x + y = 5, which is the required equation of the line.

Question. Find equation of the line passing through the point (2, 2) and cutting off intercepts on the axes whose sum is 9.
Answer :
The equation of a line in the intercept form is  
x/a + y/b = 1                 ...(i) 
Here, a and b are the intercepts on x and y axes respectively. 
It is given that a + b = 9 ⇒ b = 9 - a                  ...(ii) 
From equations (i) and (ii), we obtain 
x/a + y/(9 - a) = 1                  ...(iii) 
It is given that the line passes through point (2, 2). Therefore, equation (iii) reduces to 

""NCERT-Solutions-Class-11-Mathematics-Chapter-10-Straight-Lines-22

⇒18 = 9a – a2 
⇒ a2 - 9a + 18 = 0 
⇒ a2 - 6a - 3a + 18  = 0 
⇒ a(a - 6) - 3 (a - 6) = 0 
⇒ (a - 6)(a - 3) = 0 
⇒ a = 6 or a = 3
If a = 6 and b = 9 - 6 = 3, then the equation of the line is 
x/6 + y/3 = 1 ⇒ x + 2y - 6 = 0 
If a = 3 and b = 9 - 3 = 6, then the equation of the line is  
x/3 + y/6 = 1 ⇒ 2x + y - 6 = 0

Question. Find equation of the line through the point (0, 2) making an angle 2π/3 with the positive x-axis. Also, find the equation of line parallel to it and crossing the y-axis at a distance of 2 units below the origin.
Answer :
The slope of the line making an angle 2π/3 with the positive x - axis is m = tan (2π/3) = -√3
Now, the equation of the line passing through point (0, 2) and having a slope -√3 is (y - 2) = -√3(x - 0) 
y - 2 = -√3x 
i.e., √3x + y - 2 = 0 
The slope of line parallel to line √3x + y - 2 = 0 is -√3.
It is given that the line parallel to line √3x + y - 2 = 0 crosses the y - axis 2 units below the origin i.e., it passes through point (0, -2).
Hence, the equation of the line passing through point (0, -2) and having a slope -√3 is 
y -(-2) = -√3(x - 0)
⇒ y + 2 = -√3x 
⇒ √3x + y + 2 = 0

Question. The perpendicular from the origin to a line meets it at the point (– 2, 9), find the equation of the line.
Answer :
The slope of the line joining the origin (0, 0) and point (-2, 9) is m1 = (9 - 0)/(-2 -0) = -9/2 
Accordingly, the slope of the line perpendicular to the line joining the origin and point (-2, 9) is 

""NCERT-Solutions-Class-11-Mathematics-Chapter-10-Straight-Lines-23

Now, the equation of the line passing through point (-2, 9) and having a slope m2 is 
(y - 9) = 2/9 (x + 2) 
⇒ 9y - 81 = 2x + 4 
i.e., 2x - 9y + 85 = 0

Question. The length L (in centimetre) of a copper rod is a linear function of its Celsius temperature C. In an experiment, if L = 124.942 when C = 20 and L = 125.134 when C = 110, express L in terms of C
Answer :
It is given that when C = 20, the value of L is 124.942, whereas when C = 110, the value of L is 125.134.
Accordingly, points (20, 124.942) and (110, 125.134) satisfy the linear relation between L and C.
Now, assuming C along the x-axis and L along the y-axis, we have two points i.e., (20, 124.942) and (110, 125.134) in the XY plane.
Therefore, the linear relation between L and C is the equation of the line passing through points (20, 124.942) and (110, 125.134).

""NCERT-Solutions-Class-11-Mathematics-Chapter-10-Straight-Lines-24

Question. The owner of a milk store finds that, he can sell 980 litres of milk each week at Rs 14/litre and 1220 litres of milk each week at Rs 16/litre. Assuming a linear relationship between selling price and demand, how many litres could he sell weekly at Rs 17/litre?
Answer :
The relationship between selling price and demand is linear.
Assuming selling price per litre along the x-axis and demand along the y-axis, we have two points i.e., (14, 980) and (16, 1220) in the XY plane that satisfy the linear relationship between selling price and demand.
Therefore, the linear relationship between selling price per litre and demand is the equation of the line passing through points (14, 980) and (16, 1220). 

""NCERT-Solutions-Class-11-Mathematics-Chapter-10-Straight-Lines-25

⇒ y - 980 = 120(x - 14) 
i.e., y = 120(x - 14) + 980 
When x = Rs 17/litre, 
y = 120(17 - 14) + 980 
⇒ y = 120 × 3 + 980 360 + 980 = 1340 
Thus, the owner of the milk store could sell  1340 litres milk weekly at Rs  17/litre.

Question. P (a, b) is the mid-point of a line segment between axes. Show that equation of the line is x/a + y/b = 2 
Answer :
Let AB be the line segment between the axes and let P(a, b) be its mid - point.  

""NCERT-Solutions-Class-11-Mathematics-Chapter-10-Straight-Lines-26

⇒ a(y - 2b) = -bx 
⇒ ay - 2ab = -bx 
i.e., bx + ay = 2ab 
On dividing both sides by ab, we obtain 
bx/ab + ay/ab = 2ab/ab 
⇒ x/a + y/b = 2 
Thus, the equation of the line is x/a + y/b = 2.

Question. Point R (h, k) divides a line segment between the axes in the ratio 1:2. Find equation of the line.
Answer :
Let AB be the line segment between the axes such that point R (hk) divides AB in the ratio 1: 2.

""NCERT-Solutions-Class-11-Mathematics-Chapter-10-Straight-Lines-27

""NCERT-Solutions-Class-11-Mathematics-Chapter-10-Straight-Lines-28

Question. By using the concept of equation of a line, prove that the three points (3, 0), (–2, –2) and (8, 2) are collinear.
Answer :
In order to show that points (3, 0), (–2, –2), and (8, 2) are collinear, it suffices to show that the line passing through points (3, 0) and (–2, –2) also passes through point (8, 2).
The equation of the line passing through points (3, 0) and (–2, –2) is

""NCERT-Solutions-Class-11-Mathematics-Chapter-10-Straight-Lines-29

5y = 2x - 6 
i.e., 2x - 5y = 6 
It is observed that at x = 8 and y = 2, 
L.H.S. = 2×8 - 5×2 = 16 - 10 = 6 = R.H.S. 
Therefore, the line passing through points (3, 0) and (-2, -2) also passes through point (8, 2). Hence, points (3, 0). (-2, -2) and (8, 2) are collinear.

Exercise 10.3

Question. Reduce the following equation into slope-intercept form and find their slopes and the y-intercepts.
(i) x + 7y = 0
(ii) 6x + 3y -5 = 0
(iii) y = 0 

Answer :
(i) The given equation is x + 7y = 0 
It can be written as  
y = -(1/7)x + 0  ...(1) 
This equation is of the form y = mx + c, where m = -1/7 and c = 0.
Therefore, equation (1) is in the slope-intercept form, where the slope and the y-intercept are -1/7 and 0 respectively.

(ii) The given equation is 6x + 3y - 5 = 0 
It can be written as  

""NCERT-Solutions-Class-11-Mathematics-Chapter-10-Straight-Lines-30

This equation is of the form y = mx + c, where m = -2 and c = 5/3.
Therefore, equation (2) is in the slope-intercept form, where the slope and the y-intercept are–2 and 5/3 respectively.

(iii) The given equation is y = 0.
It can be written as
y = 0.x + 0 …(3)
This equation is of the form y = mx + c, where m = 0 and c = 0.
Therefore, equation (3) is in the slope-intercept form, where the slope and the y-intercept are 0 and 0 respectively.

Question. Reduce the following equations into intercept form and find their intercepts on the axes.
(i) 3+ 2– 12 = 0
(ii) 4– 3= 6
(iii) 3+ 2 = 0.

Answer :
(i) The given equation is  3x + 2y - 12 = 0.
It can be written as:
3x + 2y = 12
3x/12 + 2y/12 =1
i.e., x/4 + y/6 = 1 ...(1)
This equation is of the form x/a + y/b = 1, where a = 4 and b = 6.
Therefore, equation (1) is in the intercept form, where the intercepts on the and axes are 4 and 6 respectively.

(ii) The given equation is 4– 3= 6.
It can be written as:
4x/6 - 3y/6 = 1 
2x/3 - y/2 = 1 
i.e., x/(3/2) + y/(-2) = 1 ...(2)
This equation is of the form x/a + y/b = 1, where a = 3/2 and b = -2.
Therefore, equation (2) is in the intercept form, where the intercepts on the x and y axes are 3/2 and –2 respectively.

(iii) The given equation is 3+ 2 = 0.
It can be written as:
3y = -2
i.e., y/(-2/3) = 1 ...(3)
This equation is of the form x/a + y/b = 1 , where a = 0 and b = -2/3 . 
Therefore, equation (3) is in the intercept form, where the intercept on the y - axis is  -2/3 and it has no intercept on the x - axis.

Question. Reduce the following equations into normal form. Find their perpendicular distances from the origin and angle between perpendicular and the positive x-axis.
(i) x - √3y + 8 = 0
(ii) – 2 = 0
(iii) – = 4  

Answer :
(i) The given equation is x - √3y + 8 = 0
It can be reduced as:
x - √3y = -8
⇒ -x + √3y = 8

""NCERT-Solutions-Class-11-Mathematics-Chapter-10-Straight-Lines-31

⇒ x cos  120° + y sin 120° = 4 ...(1)
Equation (1) is in the normal form.
On comparing equation (1) with the normal form of equation of line
x cos ω + y sin ω = p, we obtain ω = 120° and p = 4.
Thus, the perpendicular distance of the line from the origin is 4, while the angle between the perpendicular and the positive x-axis is 120°.

(ii) The given equation is y – 2 = 0.
It can be reduced as 0.x + 1.y = 2
On dividing both sides by √(02 + 12 ) = 1, we obtain 0.x + 1.y = 2
⇒ x cos 90° + y sin 90° = 2 …(1)
Equation (1) is in the normal form.
On comparing equation (1) with the normal form of equation of line
x cos ω + y sin ω = p, we obtain ω = 90° and p = 2.
Thus, the perpendicular distance of the line from the origin is 2, while the angle between the
perpendicular and the positive x-axis is 90°.

(iii) The given equation is x – y = 4.
It can be reduced as 1.x + (–1) y = 4
On dividing both sides by √1[2 + (-1)2] = √2, we obtain 

""NCERT-Solutions-Class-11-Mathematics-Chapter-10-Straight-Lines-32

⇒ x cos 315° + y sin 315° = 2√2           ...(1)
Equation (1) is in the normal form.
On comparing equation (1) with the normal form of equation of line
x cos ω + y sin ω = p, we obtain ω = 315° and p = 2√2 .

Thus, the perpendicular distance of the line from the origin is 2√2, while the angle between the perpendicular and the positive x-axis is 315°.

Question. Find the distance of the point (–1, 1) from the line 12(+ 6) = 5(– 2).
Solution

The given equation of the line is 12(x + 6) = 5(y – 2).
⇒ 12x + 72 = 5y – 10
⇒12x – 5y + 82 = 0          … (1)
On comparing equation (1) with general equation of line Ax + By + C = 0, we obtain A = 12, B = –5, and C = 82.
It is known that the perpendicular distance (d) of a line Ax + By + C = 0 from a point (x1, y1) is given

""NCERT-Solutions-Class-11-Mathematics-Chapter-10-Straight-Lines-33

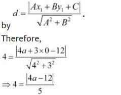
Question. Find the points on the x - axis, whose distances from  the x/3 + y/4 = 1 are 4 units.  
Answer :
The given equation of line is  
x/3 + y/4 = 1 
or, 4x + 3y - 12 = 0  ...(1)
On comparing equation (1) with general equation of line Ax By C = 0, we obtain A = 4, B = 3, and C = –12.
Let (a, 0) be the point on the x-axis whose distance from the given line is 4 units.
It is known that the perpendicular distance (d) of a line Ax By C = 0 from a point (x1y1) is given

""NCERT-Solutions-Class-11-Mathematics-Chapter-10-Straight-Lines-34

⇒ |4a - 12|  = 20 
⇒ ± (4a - 12) = 20 
⇒ (4a - 12) = 20 or -(4a - 12) = 20 
⇒ 4a = 20 + 12 or 4a = -20 + 12 
⇒ a = 8 or -2 
Thus, the required points on the x - axis are (-2, 0) and (8, 0).

Question. Find the distance between parallel lines
(i) 15x + 8y – 34 = 0 and 15x + 8y + 31 = 0
(ii) l (x + y) + p = 0 and l (x + y) – r = 0

Answer :
It is known that the distance (d) between parallel lines Ax + By + C1 = 0 and Ax + By + C2 = 0 is given by 

""NCERT-Solutions-Class-11-Mathematics-Chapter-10-Straight-Lines-35

(i) The given parallel lines are 15x + 8y – 34 = 0 and 15x + 8y + 31 = 0.
Here, A = 15, B = 8, C1 = –34, and C= 31.
Therefore, the distance between the parallel lines is  

""NCERT-Solutions-Class-11-Mathematics-Chapter-10-Straight-Lines-36

(ii) The given parallel lines are l (x + y) + p = 0 and l (x + y) – r = 0.
lx + ly + p = 0 and lx + ly – r = 0
Here, A = l, B = l, C1 = p, and C= – r.
Therefore, the distance between the parallel lines is 

""NCERT-Solutions-Class-11-Mathematics-Chapter-10-Straight-Lines-37

Question. Find equation of the line parallel to the line 3– 4y + 2 = 0 and passing through the point (–2, 3).
Answer :
The equation of the given line is
3x - 4y + 2 = 0 
or y = 3x/4 + 2/4 
or y = 3x/4 + 1/2 , which is of the form y = mx + c 
∴ Slope of the given line = 3/4 
It is known that parallel lines have the same slope. 
∴ Slope of the other line = m = 3/4 
Now, the equation of the line that has a slope of 3/4 and passes through the point (-2, 3) is 
(y - 3) = 3/4 {x - (-2)} 
4y - 12 = 3x + 6 
i.e., 3x - 4y + 18 = 0

Question. Find equation of the line perpendicular to the line – 7+ 5 = 0 and having intercept 3.
Answer :
The given equation of line is  x - 7y + 5 = 0 
Or, y = (1/7)x  + 5/7 , which is of the form y = mx + c 
∴ Slope of the given line = 1/7 
The slope of the line perpendicular to the line having a slope of 1/7 is 
m = - 1/(1/7) = - 7
The equation of the line with slope –7 and x-intercept 3 is given by
y = m (x – d)
⇒ y = –7 (x – 3)
⇒ y = –7x + 21
⇒ 7x + y = 21

Question. Find angles between the lines √3x + y = 1 and x + √3y = 1 . 
Answer :
The given lines are √3x + y = 1 and x + √3y = 1 
y = -√3x + 1    ....(1) and y = -(1/√3)x + 1/√3  ...(2)
The slope of line (1), is m1 = -√3 , while the slope of line (2) is m2 = -(1/√3) . 
The acute angle i.e., θ between the two lines is given by  

""NCERT-Solutions-Class-11-Mathematics-Chapter-10-Straight-Lines-38

Question. The line through the points (h, 3) and (4, 1) intersects the line 7x – 9y – 19 = 0. at right angle. Find the value of h.
Answer :
The slope of the line passing through points (h, 3) and (4, 1) is 

""NCERT-Solutions-Class-11-Mathematics-Chapter-10-Straight-Lines-39

Question. Prove that the line through the point (x1y1) and parallel to the line Ax + By + C = 0 is A (x –x1B (y – y1) = 0.
Answer :
The slope of line Ax + By + C = 0 or y = -(A/B)x + -(C/B) is m = -(A/B) 
It is known that parallel lines have the same slope.  
∴ Slope of the other line  = m = -(A/B) 
The equation of the line passing through point (x1, y1 )and having a slope m = -(A/B) is  
y - y1 = m(x - x1)
⇒ y - y1  = -(A/B) (x - x1
⇒ B(y -y1) = -A(x - x1
⇒ A(x - x1) + B(y - y1) = 0 
Hence, the line through point (x1, y1) and parallel to line Ax + By + C = 0 is A(x - x1)+ B(y - y1) = 0.

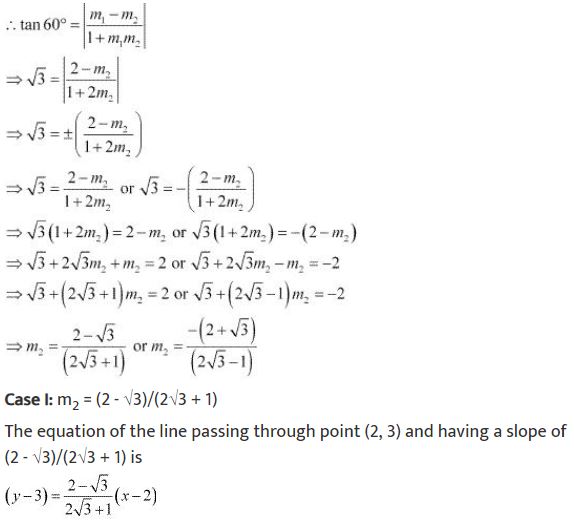
Question. Two lines passing through the point (2, 3) intersects each other at an angle of 60°. If slope of one line is 2, find equation of the other line.
Answer :
It is given that the slope of the first line, m1 = 2.
Let the slope of the other line be m2.
The angle between the two lines is 60°.

""NCERT-Solutions-Class-11-Mathematics-Chapter-10-Straight-Lines-40

⇒ (2√3 + 1)y - 3(2√3 + 1) = (2 - √3)x - 2(2 - √3) 
⇒ (√3 - 2)x + (2√3 + 1)y = -4 + 2√3 + 6√3 + 3 
⇒ (√3 - 2)x + (2√3 + 1)y = -1 + 8√3 
In this case, the equation of the other line is (√3 - 2)x + (2√3 + 1)y = -1 + 8√3. 

Case II :

""NCERT-Solutions-Class-11-Mathematics-Chapter-10-Straight-Lines-41

⇒ (2√3 - 1)y - 3(2√3 - 1) = -(2 + √3)x + 2(2 + √3) 
⇒ (2√3 - 1)y + (2 + √3)x = 4 + 2√3 + 6√3 - 3 
⇒ (2 + √3)x + (2√3 - 1)y = 1 + 8√3 
In this case, the equation of the other line is (2 + √3)x + (2√3 - 1)y = 1 + 8√3. 
Thus, the required equation of the other line is (√3 - 2)x + (2√3 + 1)y = -1 + 8√3 or (2 + √3)x + (2√ - 1)y = 1 + 8√3.

Question. Find the equation of the right bisector of the line segment joining the points (3, 4) and (1, 2).
Answer :
The right bisector of a line segment bisects the line segment at 90°.
The end-points of the line segment are given as A (3, 4) and B (–1, 2).
Accordingly, mid-point of AB = [(3-1)/2, (4+2)/2] = (1, 3) 
Slope of AB  = (2 -4)/(-1-3) = -2/-4 = 1/2 
∴ Slope of the line perpendicular to AB = -1/(1/2) = -2
The equation of the line passing through (1, 3) and having a slope of –2 is
(y – 3) = –2 (x – 1)
⇒ y – 3 = –2x + 2
⇒ 2x + y = 5
Thus, the required equation of the line is 2x + y = 5.

Question. Find the coordinates of the foot of perpendicular from the point (1, 3) to the line 3– 4– 16 = 0.
Answer :
Let (ab) be the coordinates of the foot of the perpendicular from the point (–1, 3) to the line 3x – 4y – 16 = 0.

""NCERT-Solutions-Class-11-Mathematics-Chapter-10-Straight-Lines-42

⇒ 3b - 9 = -4a - 4 
⇒ 4a + 3b = 5  ...(1) 
Point (a, b) lies on line 3x - 4y = 16. 
∴ 3a - 4b = 16  ...(2) 
On solving equations (1) and (2), we obtain  
a = 68/25 and b = 49/25 
Thus, the required coordinates of the foot of the perpendicular are (68/25, -49/25).

Question. The perpendicular from the origin to the line y = mx + c meets it at the point (1, 2). Find the values of and c.
Answer :
The given equation of line is y = mx + c.
It is given that the perpendicular from the origin meets the given line at (–1, 2).
Therefore, the line joining the points (0, 0) and (–1, 2) is perpendicular to the given line.
∴Slope of the line joining (0, 0) and (–1, 2) = 2/-1 = -2 
The slope of the given line is m
∴ m × -2 = -1 [The two lines are perpendicular]
⇒ m = 1/2 
Since point (-1, 2) lies on the given line, it satisfies the equation y = mx + c. 
∴ 2 = m(-1) + c 
⇒ 2 = (1/2) (-1) + c 
⇒ c = 2 + 1/2 = 5/2 
Thus, the respective values of m and c are 1/2 and 5/2.

Question. If p and q are the lengths of perpendiculars from the origin to the lines x cos θ – y sin θ = k cos 2θ and xsec θ+ y cosec θ = k, respectively, prove that p2 + 4q2 = k2 
Answer :
The equations of given lines are
x cos θ – y sinθ = k cos 2θ          …(1)
x secθ + y cosec θ= k                  …(2)
The perpendicular distance (d) of a line Ax + By + C = 0 from a point (x1, y1) is given by 

""NCERT-Solutions-Class-11-Mathematics-Chapter-10-Straight-Lines-43

""NCERT-Solutions-Class-11-Mathematics-Chapter-10-Straight-Lines-44

= k2 cos2 2θ + 4k2 sin2 θ cos2 θ 
= k2 cos2 2θ + k2 (2 sin θ cos θ)2 
= k2 cos2 2θ + k2 sin2 2θ 
= k2 ( cos2 2θ + sin2 2θ) 
= k2 
Hence, we proved that p2 + 4q2 = k2

Question. In the triangle ABC with vertices A (2, 3), B (4, 1) and C (1, 2), find the equation and length of altitude from the vertex A.
Answer :
Let AD be the altitude of triangle ABC from vertex A.  
Accordingly, AD ⊥ BC 

""NCERT-Solutions-Class-11-Mathematics-Chapter-10-Straight-Lines-45

The equation of the line passing through point (2, 3) and having a slope of 1 is
(y – 3) = 1(x – 2)
⇒ x – y + 1 = 0
⇒ – x = 1
Therefore, equation of the altitude from vertex A = – x = 1.
Length of AD = Length of the perpendicular from A (2, 3) to BC
The equation of BC is 
(y + 1) = 2 + 1 / 1 - 4 (x - 4)
⇒ (y + 1) = -1(x - 4) 
⇒ y + 1 = -x + 4 
⇒ x + y - 3 = 0  ...(1) 
The perpendicular distance (d) of a line Ax + By + C = 0 from a point (x1, y1) is given by 

""NCERT-Solutions-Class-11-Mathematics-Chapter-10-Straight-Lines-46

Question. If p is the length of perpendicular from the origin to the line whose intercepts on the axes are a and b, then show that 1/p2 = 1/a2 + 1/b2
Answer :
It is known that the equation of a line whose intercepts on the axes are a and b is  
x/a + y/b = 1 
or bx + ay = ab 
or bx + ay - ab = 0  ...(1) 
The perpendicular distance (d) of a line Ax + By + C = 0 from a point  (x1, y1) is given by 

""NCERT-Solutions-Class-11-Mathematics-Chapter-10-Straight-Lines-47

Miscellaneous Solutions

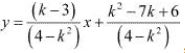
Question. Find the values of k for which the line (k–3) x – (4 – k2) y + k2 –7k + 6 = 0 is
(a) Parallel to the x-axis,
(b) Parallel to the y-axis,
(c) Passing through the origin.

Answer :
The given equation of line is
(k – 3)x – (4 – k2)y + k2 – 7k + 6 = 0 …(1)

(a) If the given line is parallel to the x-axis, then
Slope of the given line = Slope of the x-axis
The given line can be written as
(4 – k2) y = (k – 3) x + k2 – 7k + 6 = 0 

""NCERT-Solutions-Class-11-Mathematics-Chapter-10-Straight-Lines-48
, which is of the form y = mx + c.

∴ Slope of the given line = (k - 3)/(4 - k2
Slope of the x - axis = 0 
∴ (k -3)/(4 - k2) = 0
⇒ k - 3 = 0 
⇒ k = 3
Thus, if the given line is parallel to the x-axis, then the value of k is 3.

(b) If the given line is parallel to the y-axis, it is vertical. Hence, its slope will be undefined.
The slope of the given line is (k -3)/(4 - k2
Now, (k -3)/(4 - k2) is undefined at k2 = 4 
k2 = 4 
⇒ k = ± 2
Thus, if the given line is parallel to the y-axis, then the value of k is ±2.

(c) If the given line is passing through the origin, then point (0, 0) satisfies the given equation of  line.
(k - 3)(0) - (4 - k2) (0) + k2 - 7k + 6 = 0 
⇒ k2 - 7k + 6 = 0 
⇒ k2 - 6k - k + 6 = 0
⇒ (k - 6)(k -1) = 0 
⇒ k = 1 or 6 
Thus, if the given line is passing through the origin, then the value of k is either 1 or 6.

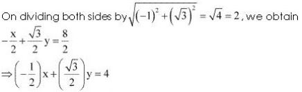
Question. Find the values of q and p, if the equation x cos q + y sin q = p is the normal form of the line √3x + y + 2 = 0.
Answer :
The equation of the given line is √3x + y + 2 = 0.
This equation can be reduced as  
√3x + y + 2 = 0 
⇒ -√3x - y = 2 

""NCERT-Solutions-Class-11-Mathematics-Chapter-10-Straight-Lines-49

On comparing equation (1) to x cos θ + y sin θ = P, we obtain  
cos θ = -√3/2 , sin θ = -1/2 , and p = 1 
Since the value of sin θ and cos θ are negative, θ = π + π/6 = 7π/6 
Thus, the respective values of θ and p are 7π/6 and 1

Question. Find the equations of the lines, which cut-off intercepts on the axes whose sum and product are 1 and –6, respectively.
Answer :
Let the intercepts cut by the given lines on the axes be a and b.
It is given that
a + b = 1              …(1)
ab = –6               …(2)
On solving equations (1) and (2), we obtain
a = 3 and b = –2 or a = –2 and b = 3
It is known that the equation of the line whose intercepts on the axes are a and b is 
x/a + y/b = 1 or bx + ay - ab = 0 
Case I: a = 3 and b = -2 
In this case, the equation of the line is  -2x + 3y + 6 = 0, i.e., 2x - 3y = 6 
Case II: a = -2 and b = 3 
In this case, the equation of the line is  3x - 2y + 6 = 0, i.e., -3x + 2y = 6.
Thus, the required equation of the lines are 2x - 3y = 6 and -3x + 2y = 6.

Question. What are the points on the y-axis whose distance from the line x/3 + y/4 = 1 is 4 units 
Answer :
Let (0, b) be the point on the y - axis whose distance from line x/3 + y/4 = 1 is 4 units.  
The given line can be written as  4x + 3y - 12 = 0  ...(1)
On comparing equation (1) to the general equation of line Ax + By + C = 0, we obtain A = 4, B = 3 and C = -12.
It is known that the perpendicular distance (d) of a line Ax + By + C = 0 from a point (x1y1) is given

⇒ 20 = |3b - 12| 
⇒ 20 = ± (3b - 12) 
⇒ 20 = (3b - 12) or 20 = -(3b - 12) 
⇒ 3b = 20 + 12 or 3b = -20 + 12 
⇒ b = 32/3 or b = -8/3 
Thus, the required points are (0, 32/3) and (0, -8/3).

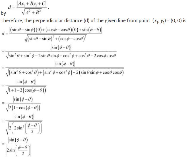
Question. Find perpendicular distance from the origin to the line joining the points (cosθ, sin θ) and (cosΦ, sin Φ).
Answer :
The equation of the line joining the points (cosθ, sinθ) and (cos Φ, sinΦ) is given by 

""NCERT-Solutions-Class-11-Mathematics-Chapter-10-Straight-Lines-51

y(cosΦ - cos θ) - sin θ(cosΦ - cos θ) = x(sinΦ - sin θ) - cos θ(sinΦ - sin θ)
x(sinθ - sinΦ) + y(cos Φ - cos θ) + cos θ sin Φ - cos θ sinθ - sin θ cosΦ + sinθcosθ = 0 
x(sinθ - sinΦ) + y(cos Φ - cos θ) + sin (Φ - θ) =  
Ax + By + C = 0, where A = sin θ - sin Φ, B = cos Φ - cos θ, and C = sin(Φ - θ) 
It is known that the perpendicular distance (d) of a line Ax + By + C = 0 from a point (x1y1) is given

""NCERT-Solutions-Class-11-Mathematics-Chapter-10-Straight-Lines-52

Question. Find the equation of the line parallel to y-axis and drawn through the point of intersection of the lines x– 7y + 5 = 0 and 3x + y = 0.
Answer :
The equation of any line parallel to the y-axis is of the form
x = a                             …(1)
The two given lines are
x – 7y + 5 = 0               ..(2)
3x + y = 0               ​​​​​​​    …(3)
On solving equations (2) and (3), we obtain x = -(5/22) and y = 15/22
Therefore, (-5/22, 15/22) is the point of intersection of lines (2) and (3).
Since line x = a passes through point (-5/22, 15/22), a = -5/22.
Thus, the required equation of the line is x = -5/22.

Question. Find the equation of a line drawn perpendicular to the line  x/4 + y/6 = 1 through the point, where it meets the y - axis. 
Answer :
The equation of the given line is x/4 + y/6 = 1. 
This equation can also be written as 3x + 2y - 12 = 0 
y = -(3/2)x + 6, which is of the form y = mx + c 
∴ Slope of the given line = -3/2 
∴ Slope of the line perpendicular to the given line  = -1/(-3/2) = 2/3 
Let the given line intersect the y - axis at (0, y).
On substituting x with 0 in the equation of the given line, we obtain y/6 = 1⇒ y = 6 
∴The given line intersects the y-axis at (0, 6).
The equation of the line that has a slope of 2/3 and passes through point (0, 6) is 
(y - 6) = (2/3) (x - 0) 
⇒ 3y - 18 = 2x 
⇒ 2x - 3y + 18 = 0 
Thus, he required equation of the line is  2x - 3y + 18 = 0.

Question. Find the area of the triangle formed by the lines y – x = 0, x + y = 0 and x – k = 0.
Answer :
The equations of the given lines are
y – x = 0 …(1)
x + y = 0 …(2)
x – k = 0 …(3)
The point of intersection of lines (1) and (2) is given by
x = 0 and y = 0
The point of intersection of lines (2) and (3) is given by
x = k and y = –k
The point of intersection of lines (3) and (1) is given by
x = k and y = k
Thus, the vertices of the triangle formed by the three given lines are (0, 0), (k, –k), and (k, k).
We know that the area of a triangle whose vertices are (x1, y1), (x2, y2), and (x3, y3) is 

""NCERT-Solutions-Class-11-Mathematics-Chapter-10-Straight-Lines-53

Question. Find the value of p so that the three lines 3x + y – 2 = 0, px + 2y – 3 = 0 and 2x – y – 3 = 0 may intersect at one point.
Answer :
The equations of the given lines are
3x + y – 2 = 0               …(1)
px + 2y – 3 = 0             …(2)
2x – y – 3 = 0               …(3)
On solving equations (1) and (3), we obtain
x = 1 and y = –1
Since these three lines may intersect at one point, the point of intersection of lines (1) and (3) will also satisfy line (2).
p (1) + 2 (–1) – 3 = 0
⇒ p – 2 – 3 = 0
⇒ p = 5
Thus, the required value of p is 5.

Question. If three lines whose equations are y = m1x + c1, y = m2x + c2 and y = m3x + c3 are concurrent, then show that m1(c2 – c3) + m2 (c3 – c1) + m3 (c1 – c2) = 0.
Answer :
The equations of the given lines are
y = m1x + c1 …(1)
y = m2x + c2 …(2)
y = m3x + c3 …(3)
On subtracting equation (1) from (2), we obtain
0 = (m2 - m1)x + (c2 - c1
⇒ (m1 - m2)x = c2 - c1 
⇒ x = (c2 - c1)/(m1 - m2)
On substituting this value of x in (1), we obtain  

""NCERT-Solutions-Class-11-Mathematics-Chapter-10-Straight-Lines-54

Question. Find the equation of the lines through the point (3, 2) which make an angle of 45° with the line x –2y = 3.
Answer :
Let the slope of the required line be m1.
The given line can be written as , which is of the form y = mx + c

""NCERT-Solutions-Class-11-Mathematics-Chapter-10-Straight-Lines-55

⇒ 2 + m1 = 1 - 2m1 or 2 + m1 = -1 + 2m1 
⇒ m1 = -1/3 or m1 = 3
Case I: m1 = 3
The equation of the line passing through (3, 2) and having a slope of 3 is:
y – 2 = 3 (x – 3)
⇒ y – 2 = 3x – 9
⇒ 3x – y = 7
Case II: m1 =  -1/3 
The equation of the line passing through (3, 2) and having a slope of  -1/3 is : 
(y -2) = (-1/3)(x - 3) 
⇒ 3y - 6 = -x + 3 
⇒ x + 3y = 9 
Thus, the equations of the lines are 3x - y = 7 and x + 3y = 9.

Question. Find the equation of the line passing through the point of intersection of the lines 4x + 7y – 3 = 0 and 2x– 3y + 1 = 0 that has equal intercepts on the axes.
Answer :
Let the equation of the line having equal intercepts on the axes be 
x/a + y/a = 1 
Or x + y = a               ...(1) 
On solving equations 4x + 7y - 3 = 0 and 2x - 3y + 1 = 0, we obtain x = 1/13 and y = 5/13 . 
∴ (1/13, 5/13) is the point of intersection of the two given lines. 
Since equation (1) passes through point (1/13, 5/13), 
1/13 + 5/13 = a 
⇒ a = 6/13 
∴ Equation (1) becomes x + y = 6/13, i.e., 13x + 13y = 6 
Thus, the required equation of the line is 13x + 13y = 6. 

Question. Show that the equation of the line passing through the origin and making an angle θ with the line y = mx + c is y/c = (m ± tan θ)/(1 ± m tan θ) 
Answer :
Let the equation of the line passing through the origin be y = m1x.
If this line makes an angle of θ with line y = mx + c, then angle θ is given by 

""NCERT-Solutions-Class-11-Mathematics-Chapter-10-Straight-Lines-56

""NCERT-Solutions-Class-11-Mathematics-Chapter-10-Straight-Lines-57

Question. In what ratio, the line joining (–1, 1) and (5, 7) is divided by the line x + y = 4?
Answer :
The equation of the line joining the points (-1, 1) and (5, 7) is given by  

""NCERT-Solutions-Class-11-Mathematics-Chapter-10-Straight-Lines-58

Question. Find the distance of the line 4x + 7y + 5 = 0 from the point (1, 2) along the line 2x – y = 0.
Answer :
The given lines are
2x – y = 0               …(1)
4x + 7y + 5 = 0               …(2)
A (1, 2) is a point on line (1).
Let B be the point of intersection of lines (1) and (2). 

""NCERT-Solutions-Class-11-Mathematics-Chapter-10-Straight-Lines-59

On solving equations (1) and (2), we obtain x = 5/18 and y = -5/9 . 
∴ Coordinates of point B are (-5/18 , -5/9). 
By using distance formula, the distance between points A and B can be obtained as 

""NCERT-Solutions-Class-11-Mathematics-Chapter-10-Straight-Lines-60

Question. Find the direction in which a straight line must be drawn through the point (–1, 2) so that its point of intersection with the line x + y = 4 may be at a distance of 3 units from this point.
Answer :
Let y = mx + c be the line through point (–1, 2).
Accordingly, 2 = m (–1) + c.
⇒ 2 = – m + c
⇒ c = m + 2
∴ y = mx + m + 2               …(1)
The given line is
x + y = 4               …(2)
On solving equations (1) and (2), we obtain

""NCERT-Solutions-Class-11-Mathematics-Chapter-10-Straight-Lines-61

Question. The hypotenuse of a right angled triangle has its ends at the points (1, 3) and (−4, 1). Find the equation of the legs (perpendicular sides) of the triangle.
Answer :
Let A(1,3) and B(−4,1) be the coordinates of the end points of the hypotenuse.
Now, plotting the line segment joining the points A(1,3) and B(−4,1) on the coordinate plane, we will get two right triangles with AB as the hypotenuse. Now from the diagram, it is clear that the point of intersection of the other two legs of the right triangle having AB as the hypotenuse can be either P or Q.

Case 1: When ∆ APB is taken.
The perpendicular sides in ∆ APB are AP and PB.
Now, side PB is parallel to x-axis and at a distance of 1 units above x-axis.
So, equation of PB is, =1 or y−1= 0.
The side AP is parallel to y-axis and at a distance of 1 units on the right of y-axis.
So, equation of AP is =1 or x−1= 0.

Case 2: When ∆ AQB is taken.
The perpendicular sides in ∆ AQB are AQ and QB.
Now, side AQ is parallel to x-axis and at a distance of 3 units above x-axis.
So, equation of AQ is, = 3 or −3 = 0.
The side QB is parallel to y-axis and at a distance of 4 units on the left of y-axis.
So, equation of QB is = −4 or + 4 = 0.
Hence, the equation of the legs are :
=1, =1 or = −4, = 3

Question. Find the image of the point (3, 8) with respect to the line x + 3y = 7 assuming the line to be a plane mirror.
Answer :
The equation of the given line is
x + 3y = 7               …(1)
Let point B (ab) be the image of point A (3, 8).
Accordingly, line (1) is the perpendicular bisector of AB. 

""NCERT-Solutions-Class-11-Mathematics-Chapter-10-Straight-Lines-63

""NCERT-Solutions-Class-11-Mathematics-Chapter-10-Straight-Lines-64

Question. If the lines y = 3x + 1 and 2y = x + 3 are equally inclined to the line y = mx + 4, find the value of m.
Answer :
The equations of the given lines are
y = 3x + 1               ​​​​​​​…(1)
2y = x + 3               ​​​​​​​…(2)
y = mx + 4              …(3)
Slope of line (1), m1 = 3
Slope of line (2),
Slope of line (3), m= m
It is given that lines (1) and (2) are equally inclined to line (3). This means that
the angle between lines (1) and (3) equals the angle between lines (2) and (3). 

""NCERT-Solutions-Class-11-Mathematics-Chapter-10-Straight-Lines-65

(3 - m)(m +2) = (1 - 2m)(1 + 3m) 
⇒ -m2 + m + 6 = 1 + m -6m2 
⇒ 5m2 + 5 = 0
⇒ (m2 + 1) = 0 
⇒ m = √-1 , which is not real 
Hence, this case is not posible. 

""NCERT-Solutions-Class-11-Mathematics-Chapter-10-Straight-Lines-66

Question. If sum of the perpendicular distances of a variable point P (x, y) from the lines x + y – 5 = 0 and 3x – 2y+ 7 = 0 is always 10. Show that P must move on a line.
Answer :
The equations of the given lines are
x + y – 5 = 0                   …(1)
3x – 2y + 7 = 0               ​​​​​​​…(2)
The perpendicular distances of P (x, y) from lines (1) and (2) are respectively given by

""NCERT-Solutions-Class-11-Mathematics-Chapter-10-Straight-Lines-67

⇒ √13|x + y - 5| + √2|3x - 2y + 7| - 10√26 = 0 
⇒ √13(x + y - 5) + √2(3x - 2y + 7 )-10√26 = 0 
[Assuming (x + y - 5) and (3x - 2y + 7) are positive] 
⇒ √13x + √13y - 5√13 + 3√2x - 2√2y + 7√2 - 10√26 = 0 
⇒ x(√13 + 3√2) + y(√13 - 2√2) + 7(√2 - 5√13 - 10√26) = 0 , which is the equation of a line.  
Similarly, we can obtain the equation of line for any signs of (x + y - 5) and (3x - 2y + 7).
Thus, point P must move on a line.

Question. Find equation of the line which is equidistant from parallel lines 9x + 6y – 7 = 0 and 3x + 2y + 6 = 0.
Answer :
The equations of the given lines are
9x + 6y – 7 = 0               ​​​​​​​…(1)
3x + 2y + 6 = 0               …(2)
Let P (h, k) be the arbitrary point that is equidistant from lines (1) and (2). The perpendicular distance of P (h, k) from line (1) is given by 

""NCERT-Solutions-Class-11-Mathematics-Chapter-10-Straight-Lines-68

⇒ |9h + 6k -7| = 3|3h + 2k + 6|
⇒ |9h + 6k -7| = ±3|3h + 2k + 6|
⇒ 9h + 6k - 7 = 3(3h + 2k + 6) or 9h + 6k - 7 = -3(3h + 2k + 6) 
The case 9h + 6k -7 = 3(3h + 2k + 6) is not possible as  
9h + 6k - 7 = 3(3h + 2k + 6)
⇒ -7 = 18 (which is absurd) 
∴ 9h + 6k - 7 = -3(3h + 2k + 6) 
9h + 6k - 7 = -9h - 6k - 18 
⇒ 18h + 12k + 11 = 0 
Thu, the required equation of the line is 18x + 12y + 11 = 0

Question. A ray of light passing through the point (1, 2) reflects on the x-axis at point A and the reflected ray passes through the point (5, 3). Find the coordinates of A.
Answer :

""NCERT-Solutions-Class-11-Mathematics-Chapter-10-Straight-Lines-69

Let the coordinates of point A be (a, 0) .
Draw a line (AL) perpendicular to the x - axis. 
We know that angle of incidence is equal to angle of reflection. Hence, let
∠BAL = ∠CAL = Φ
Let ∠CAX = θ
∴∠OAB = 180° – (θ + 2Φ) = 180° – [θ + 2(90° – θ)]
= 180° – θ – 180° + 2θ
= θ
∴∠BAX = 180° – θ 
Now, slope of line AC = (3 - 0)(5-a) 
⇒ tan θ = 3/(5 - a) ...(1)
Slope of line AB = (2-0)/(1 - a) 
⇒ tan (180° - θ) = 2/(1 - a)
⇒ - tan θ = 2/(1 -a)
⇒ tan θ = 2/(a - 1)  ...(2)
From equations (1) and (2), we obtain  

""NCERT-Solutions-Class-11-Mathematics-Chapter-10-Straight-Lines-70

Question. Prove that the product of the lengths of the perpendiculars drawn from the points  
[√(a2 - b2), 0] and [(-√a2  - b2), 0] to the line (x/a) cosθ + (y/b)sinθ = 1 is b2 .

Answer :
The equation of the given line is 
(x/a) cosθ + (y/b)sinθ = 1 
Or, bx cosθ + ay sinθ - ab = 0               ...(1)

""NCERT-Solutions-Class-11-Mathematics-Chapter-10-Straight-Lines-71

""NCERT-Solutions-Class-11-Mathematics-Chapter-10-Straight-Lines-72

Question. ​​​​​​​A person standing at the junction (crossing) of two straight paths represented by the equations 2x – 3y+ 4 = 0 and 3x + 4y – 5 = 0 wants to reach the path whose equation is 6x – 7y + 8 = 0 in the least time. Find equation of the path that he should follow.
Answer :
The equations of the given lines are
2x – 3y + 4 = 0               …(1)
3x + 4y – 5 = 0               …(2)
6x – 7y + 8 = 0               …(3)
The person is standing at the junction of the paths represented by lines (1) and (2).
On solving equations (1) and (2), we obtain x = -1/17 and y = 22/17.
Thus, the person is standing at point (-1/17, 22/17).
The person can reach path (3) in the least time if he walks along the perpendicular line to (3) from point (-1/17, 22/17). 
Slope of the line perpendicular to line (3) = - 1(6/7) = - (7/6)
The equation of the line passing through and having a slope of -7/6 is given by  
(y - 22/17) = -7/6 (x + 1/17)
⇒ 6(17y - 22) = -7(17x + 1)
⇒ 102y - 132 = -119x - 7
⇒  119x + 102y = 125
Hence, the path that the person should follow is 119x + 102y = 125.

NCERT Solutions Class 11 Mathematics Chapter 9 Straight Lines

Students can now access the NCERT Solutions for Chapter 9 Straight Lines prepared by teachers on our website. These solutions cover all questions in exercise in your Class 11 Mathematics textbook. Each answer is updated based on the current academic session as per the latest NCERT syllabus.

Detailed Explanations for Chapter 9 Straight Lines

Our expert teachers have provided step-by-step explanations for all the difficult questions in the Class 11 Mathematics chapter. Along with the final answers, we have also explained the concept behind it to help you build stronger understanding of each topic. This will be really helpful for Class 11 students who want to understand both theoretical and practical questions. By studying these NCERT Questions and Answers your basic concepts will improve a lot.

Benefits of using Mathematics Class 11 Solved Papers

Using our Mathematics solutions regularly students will be able to improve their logical thinking and problem-solving speed. These Class 11 solutions are a guide for self-study and homework assistance. Along with the chapter-wise solutions, you should also refer to our Revision Notes and Sample Papers for Chapter 9 Straight Lines to get a complete preparation experience.

Where can I find the latest [current-page:node:field_title] for the 2026-27 session?

The complete and updated is available for free on StudiesToday.com. These solutions for Class 11 Mathematics are as per latest NCERT curriculum.

Are the Mathematics NCERT solutions for Class 11 updated for the new 50% competency-based exam pattern?

Yes, our experts have revised the as per 2026 exam pattern. All textbook exercises have been solved and have added explanation about how the Mathematics concepts are applied in case-study and assertion-reasoning questions.

How do these Class 11 NCERT solutions help in scoring 90% plus marks?

Toppers recommend using NCERT language because NCERT marking schemes are strictly based on textbook definitions. Our will help students to get full marks in the theory paper.

Do you offer [current-page:node:field_title] in multiple languages like Hindi and English?

Yes, we provide bilingual support for Class 11 Mathematics. You can access in both English and Hindi medium.

Is it possible to download the Mathematics NCERT solutions for Class 11 as a PDF?

Yes, you can download the entire in printable PDF format for offline study on any device.