Get the most accurate NCERT Solutions for Class 11 Mathematics Chapter 8 Sequences and Series here. Updated for the 2026-27 academic session, these solutions are based on the latest NCERT textbooks for Class 11 Mathematics. Our expert-created answers for Class 11 Mathematics are available for free download in PDF format.
Detailed Chapter 8 Sequences and Series NCERT Solutions for Class 11 Mathematics
For Class 11 students, solving NCERT textbook questions is the most effective way to build a strong conceptual foundation. Our Class 11 Mathematics solutions follow a detailed, step-by-step approach to ensure you understand the logic behind every answer. Practicing these Chapter 8 Sequences and Series solutions will improve your exam performance.
Class 11 Mathematics Chapter 8 Sequences and Series NCERT Solutions PDF
Exercise 9.1
1. Write the first five terms of each of the sequence defined by the following:
an = n (n + 2)
Answer :
an = n (n + 2)
For n = 1, a1 = 1(1 + 2) = 3
For n = 2, a2 = 2(2 + 2) = 8
For n = 3, a3 = 3(3 + 2) = 15
For n = 4, a4 = 4(4 + 2) = 24
For n = 5, a5 = 5(5 + 2) = 35
Thus first five terms are 3, 8, 15, 24, 35.
2. Write the first 5 terms of the sequence defined by the following:
an = n/(n + 1)
Answer :
an = n/(n + 1)
for n = 1, a1 = 1/(1 + 1) = 1/2
for n = 2, a2 = 2/(2 +1 ) = 2/3
for n = 3, a3 = 3/(3 + 1) = 3/4
for n = 4, a4 = 4/(4 + 1) = 4/5
for n = 5, a5 = 5/(5 + 1) = 5/6
Hence, first 5 terms of the given sequence are
1/2, 2/3, 3/4, 4/5 and 5/6.
3. Write the first five terms of the sequence whose nth term is: an = 2n
Answer :
an = 2n, Putting n = 1, 2, 3, 4, 5
a1 = 21 = 2, a2 = 22 = 4, a3 = 23 = 8
a 4 = 24 = 16, a5 = 25 = 32
Required first five term of sequences are 2, 4, 8, 16, 32.
4. Write the first five terms of the sequence whose n th term is: an = (2n – 3)/6.
Answer :
Here an = (2n – 3)/6
Putting n = 1, 2, 3, 4, 5, we get
a1 = (2 × 1 – 3)/6 = (2 – 3)/6 = -(1/6);
a2 = (2 × 2 – 3)/6 = (4 – 3)/6 = 1/6;
a3 = (2 × 3 – 3)/6 = (6 – 3)/6 = 3/6 = 1/2;
a4 = (2 × 4 – 3)/6 = (8 – 3)/6 = 5/6
and a5 = (2 × 5 – 3)/6 = (10 – 3)/6 = 7/6
∴ the first five terms are –(1/6), 1/6, 1/2, 5/6 and 7/6.
5. Write the first five terms of the sequence whose n th term is an = (–1)n – 1 5 n + 1
Answer :
Putting n = 1, 2, 3, 4, 5
a1 = (–1)0. 5 1 + 1 = 52 = 25
a2 = (–1)1. 5 2 + 1 = – 53 = –125
a3 = (–1)2. 5 3 + 1 = 54 = 625
a4 = (–1)3. 5 4 + 1 = – 55 = – 3125
a5 = (–1)4. 5 5 + 1 = 56 = 15625
6. Write the first 5 terms of the sequence defined by the following:
an = (n(n2 + 5))/4
Answer :
for n = 1, a1 = (1(12 + 5))/4 = 6/4 = 3/2
for n =2 , a2 = (2(22 + 5))/4 = (2 × 9)/4 = 9/2
for n = 3, a3 = (3(32 + 5))/4 = (3 × 14)/4 = 21/2
for n = 4, a4 = (4(42 + 5))/4 = (4 × 21)/4 = 21
for n = 5, a5 = (5(52 + 5))/4 = (5 × 30)/4 = 75/2
hence the first 5 terms are 3/2, 9/2, 21/2, 21 and 75/2
7. Find the indicated terms in the following sequence whose n th term is:
an = 4n – 3, a17, a24
Answer :
an = 4n – 3
For n = 17, a17 = 4 × 17 – 3 = 68 – 3 = 65
For n = 24, a24 = 4 × 24 – 3 = 96 – 3 = 93
Hence a17 = 65 and a24 = 93
8. Find the indicated terms in the following sequence whose n th term is:
an = n2/2n ; a7
Answer :
an = n2/2n
putting n = 7
a7 = 72/27 = 49/128
9. Find the indicated term in the following sequence whose n th term is:
an = (–1)n – 1 n 3, a9
Answer :
an = (–1)n – 1 n3, Putting n = 9
a9 = (–1)9 – 1 93 = 729
10. Find the indicated terms in the sequence whose n th term is an = (n(n -2))/(n + 3) ; a20
Answer :
an = (n(n -2))/(n + 3),
Putting n = 20,
a20 = (20(20 – 2))/(20 + 3) = (20 × 18)/23 = 360/23
11. Write the first five terms of each of the sequences in Exercises 11 to 13 and obtain the corresponding series. a1 = 3, an = 3, an – 1 + 2 for all n > 1.
Answer :
a1 = 3, an = 3 an –1 + 2. Putting n = 2, 3, 4, 5
a2 = 3.a1 + 2 = 3. 3 + 2 = 9 + 2 = 11
a3 = 3.a2 + 2 = 3. 11 + 2 = 33 + 2 = 35
a4 = 3.a3 + 2 = 3. 35 + 2 = 105 + 2 = 107
a5 = 3.a4 + 2 = 3. 107 + 2 = 321 + 2 = 323
The first five terms of the sequences are
3, 11, 35, 107, 323
∴ The corresponding series is
3 + 11 + 35 + 107 + 323 +....
12. a1 = -1, an = (an -1)/n , n ≥ 2
Answer :
Here a1 = -1, an = (an – 1)/n , n ≥ 2
Putting n = 2, 3, 4, 5 and 6
a2 = (a2 – 1)/2 = a1/2 = -1/2
a3 = (a3 – 1)/3 = a2/2 = -(1/2)/3 = -1/6;
a4 = (a4 – 1)/4 = a3/4 = -(1/6)/4 = -1/24;
a5 = a5-1/5 = a4/5 = -(1/24)/5 = -1/120
The first five terms of the sequences are
-1, -(1/2), -(1/6), -(1/24), -1/120
The corresponding series is
-1, -(1/2), -(1/6), -(1/24), -(1/120) …..
13. a1 = a2 = 2, an = an– 1 – 1, n > 2.
Answer :
Given: a1 = a2 = 2
and an = an– 1 – 1, n > 2.
For n = 3, a3 = a2 – 1 = 2 – 1 = 1
For n = 4, a4 = a3 – 1 = 1 – 1 = 0
For n = 5, a5 = a4 – 1 = 0 – 1 = –1
Hence first five terms are 2, 2, 1, 0, –1 and the corresponding series = 2 + 2 + 1 + 0 + (–1) +....
14. The Fibonacci sequence is defined by
1 = a1 = a2 and an = an – 1 + an – 2, n > 2
Find (an+ 1)/an , for n = 1, 2, 3, 4, 5
Answer :
For n = 1, (an+1)/an = a2/a1 = 1/1 = 1 a1 = a2 = 1
and an = an – 1 + an – 2, n > 2 …(A)
n = 3 in eqn (A) a3 = a2 + a1 = 1 + 1 = 2
n = 4 in eqn (A) a4 = a3 + a2 = 2 + 1 = 3
n = 5 in eqn (A) a5 = a4 + a3 = 3 + 2 = 5
n = 6 in eqn (A) a6 = a5 + a4 = 5 + 3 = 8
for n = 2, (an+1)/an = a3/a2 = 2/1 = 2;
for n = 3, (an+1)/an = a4/a3 = 3/2;
for n = 4, (an+1)/an = a5/a4 = 5/3;
for n = 5, (an+1)/an = a6/a5 = 8/5
The values of (an+1)/an = for n = 1, 2, 3, 4, 5 are 1, 2, 3/2 , 5/3 , 8/5
Exercise 9.2
1. Find the sum of odd integers from 1 to 2001.
Answer :
The odd integers from 1 to 2001 are 1, 3, 5, …1999, 2001.
This sequence forms an A.P.
Here, first term, a = 1
Common difference, d = 2
Here, a + (n-1)d = 2001
⇒ 1 + (n - 1)(2) = 2001
⇒ 2n - 2 = 2000
⇒ n = 1001
= 1001 × 1001
= 1002001
Thus, the sum of odd numbers from 1 to 2001 is 1002001.
2. Find the sum of all natural numbers lying between 100 and 1000, which are multiples of 5.
Answer :
The natural numbers lying between 100 and 1000, which are multiples of 5, are 105, 110, .... 995.
Here, a = 105 and d = 5
a + (n - 1)d = 995
⇒ 105 + (n - 1)5 = 995
⇒ (n- 1)5 = 995 - 105 = 890
⇒ n - 1 = 178
⇒ n = 179
= 179[2(105) + (178)(5)]
= (179)(105 + 445)
= (179 × 550)
= 98450
Thus, the sum of all natural numbers lying between 100 and 1000, which are multiples of 5, is 98450.
3. In an A.P, the first term is 2 and the sum of the first five terms is one-fourth of the next five terms. Show that 20th term is –112.
Answer :
First term = 2
Let d be the common difference of the A.P.
Therefore, the A.P. is 2, 2 + d, 2 + 2d, 2 + 3d, …
Sum of first five terms = 10 + 10d
Sum of next five terms = 10 + 35d
According to the given condition,
10 + 10d = (1/4)(10 + 35d)
⇒ 40 + 40d = 10 + 35d
⇒ 30 = -5d
⇒ d = -6
∴ a20 = a + (20 - 1)d = 2 + (19)(-6) = 2 - 114 = -112
Thus, the 20th term of the A.P. is -112.
4. How many terms of the A.P. -6, -11/2, -5... are needed to give the sum –25?
Answer :
Let the sum of n terms of the given A.P. be -25.
It is known that, Sn = (n/2) [2a + (n - 1)d], where n = number of terms, a = first term, and d = common difference
Here, a = -6
⇒-100 = n(-25 + n)
⇒ n2 - 25n + 100 = 0
⇒ n2 - 5n - 20n + 100 = 0
⇒ n(n -5) - 20(n - 5) = 0
⇒ n = 20 or 5
5. In an A.P., if pth term is 1/q and qth term is 1/p, prove that the sum of first pq terms is 1/2 (pq + 1) where p ≠ q.
Answer :
It is known that the general term of an A.P. is an = a + (n – 1)d
∴ According to the given information,
pth term = ap = a + (p - 1)d = 1/q ...(1)
qth term = aq = a + (q - 1)d = 1/p ...(2)
Subtracting (2) from (1), we obtain
(p - 1)d - (q - 1)d = 1/q - 1/p
⇒ (p - 1 - q + 1)d = (p -q)/pq
⇒ (p -q )d = (p - q)/pq
⇒ d = 1/pq
Putting the value of d in (1), we obtain
6. If the sum of a certain number of terms of the A.P. 25, 22, 19, … is 116. Find the last term
Answer :
Let the sum of n terms of the given A.P. be 116.
Sn = (n/2) [2a + (n - 1)d]
Here, a = 25 and d = 22 - 25 = -3
∴ Sn = (n/2) [2× 25 + (n - 1)(-3)]
⇒ 116 = n/2[50 - 3n + 3]
⇒ 232 = n (53 -3n) = 53n - 3n2
⇒ 3n2 - 53n + 232 = 0
⇒ 3n2 - 24n - 29n + 232 = 0
⇒ 3n(n - 8) - 29(n - 8) = 0
⇒ (n -8)(3n - 29) = 0
⇒ n = 8 or n = 29/3
However, n cannot be equal to 29/3 . Therefore, n = 8
∴ a8 = Last term = a + (n - 1)d = 25 + (8 -1)(-3)
= 25 + (7)(-3) = 25 - 21
= 4
Thus, the last term of the A.P. is 4.
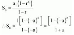
7. Find the sum to n terms of the A.P., whose kth term is 5k + 1.
Answer :
It is given that the kth term of the A.P. is 5k + 1.
kth term = ak = a + (k – 1)d
∴ a + (k – 1)d = 5k + 1
a + kd – d = 5k + 1
Comparing the coefficient of k, we obtain d = 5
a – d = 1
⇒ a – 5 = 1
⇒ a = 6
8. If the sum of n terms of an A.P. is (pn + qn2), where p and q are constants, find the common difference.
Answer :
It is known that, Sn = (n/2) [2a + (n - 1)d]
According to the given condition,
n/2 [2a + (n - 1)d] = pn + qn2
⇒ n/2 [2a + nd - d] = pn + qn2
⇒ na + n2 (d/2) - n .(d/2) = pn + qn2
Comparing the coefficients of n2 on both sides, we obtain
d/2 = q
∴ d = 2q
Thus, the common difference of the A.P. is 2q.
9. The sums of n terms of two arithmetic progressions are in the ratio 5n + 4: 9n + 6. Find the ratio of their 18th terms
Answer :
Let a1, a2, and d1, d2 be the first terms and the common difference of the first and second arithmetic progression respectively.
According to the given condition,
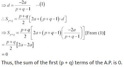
10. If the sum of first p terms of an A.P. is equal to the sum of the first q terms, then find the sum of the first (p + q) terms.
Answer :
Let a and d be the first term and the common difference of the A.P. respectively.
Here,
Sp = p/2 [2a + (p -1)d]
Sq = q/2 [2a + (q -1)d]
According to the given condition,
p/2 [2a + (p - 1)d] = q/2 [2a + (q - 1)d]
⇒ p[2a + (p - 1)q] = q[2a + (q - 1)d]
⇒ 2ap + pd(p -1) = 2aq + qd(q - 1)
⇒ 2a(p -q) + d[p(p -1) - q(q - 1)] = 0
⇒ 2a(p - q) +d [p2 - p - q2 + q] = 0
⇒ 2a(p - q) +d [(p -q)(p +q) - (p -q)] = 0
⇒ 2a(p - q) +d [(p -q)(p + q - 1)] = 0
⇒ 2a + d(p + q - 1) = 0
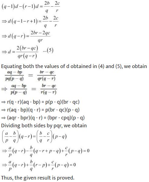
11. Sum of the first p, q and r terms of an A.P. are a, b and c, respectively.
Prove that a/q (q - r) + b/q (r - p) + c/r (p - q) = 0
Answer :
Let a1 and d be the first term and the common difference of the A.P. respectively.
According to the given information,
Subtracting (2) from (1), we obtain
(p - 1)d - (q - 1)d = 2a/p - 2b/q
⇒ d(p - 1 - q + 1) = (2aq - 2bp)/pq
⇒ d(p -q) = (2aq - 2bp)/pq
⇒ d = 2(aq - bp)/pq(p -q) ...(4)
Subtracting (3) from (2), we obtain
12. The ratio of the sums of m and n terms of an A.P. is m2: n2. Show that the ratio of mth and nth term is (2m – 1): (2n – 1).
Answer :
Let a and d be the first term and the common difference of the A.P. respectively.
According to the given condition,
13. If the sum of n terms of an A.P. is 3n2 + 5n and its mth term is 164, find the value of m.
Answer :
Let a and b be the first term and the common difference of the A.P. respectively.
am = a + (m – 1)d = 164 …(1)
Sum of n terms,
Sn = (n/2) [2a + (n - 1)d]
Here,
n/2 [2a + nd - d] = 3n2 + 5n
⇒ na + (d/2)n2 - (d/2)n = 3n2 + 5n
⇒ (d/2)n2 + (a - d/2)n = 3n2 + 5n
Comparing the coefficient of n2 on both sides, we obtain
d/2 = 3
⇒ d = 6
Comparing the coefficient of n on both sides, we obtain
a - d/2 = 5
⇒ a - 3 = 5
⇒ a = 8
Therefore, from (1), we obtain
8 + (m - 1)6 = 164
⇒ (m - 1)6 = 164 - 8 = 156
⇒ m - 1 =26
⇒ m = 27
Thus, the value of m is 27.
14. Insert five numbers between 8 and 26 such that the resulting sequence is an A.P.
Answer :
Let A1, A2, A3, A4, and A5 be five numbers between 8 and 26 such that
8, A1, A2, A3, A4, A5, 26 is an A.P.
Here, a = 8, b = 26, n = 7
Therefore, 26 = 8 + (7 – 1) d
⇒ 6d = 26 – 8 = 18
⇒ d = 3
A1 = a + d = 8 + 3 = 11
A2 = a + 2d = 8 + 2 × 3 = 8 + 6 = 14
A3 = a + 3d = 8 + 3 × 3 = 8 + 9 = 17
A4 = a + 4d = 8 + 4 × 3 = 8 + 12 = 20
A5 = a + 5d = 8 + 5 × 3 = 8 + 15 = 23
Thus, the required five numbers between 8 and 26 are 11, 14, 17, 20, and 23.
15. If (an + bn )/(an-1 + bn-1 ) is the A.M. between a and b, then find the value of n.
Answer :
A.M. of a and b = (a + b)/2
According to the given condition,
(a + b)/2 = (an + bn)/(an-1 + bn-1)
⇒ (a + b)(an-1 + bn-1) = 2(an + bn)
⇒ an + abn-1 + ban-1 + bn = 2an + 2bn
⇒ abn-1 + an-1 b = an + bn
⇒ abn-1 - bn = an - an-1 b
⇒ bn-1 (a - b) = an-1 (a - b)
⇒ bn-1 = an-1
⇒ (a/b)n-1 = 1 = (a/b)n
⇒ n - 1 = 0
⇒ n = 1
16. Between 1 and 31, m numbers have been inserted in such a way that the resulting sequence is an A.P. and the ratio of 7th and (m – 1)th numbers is 5:9. Find the value of m.
Answer :
Let A1, A2, … Am be m numbers such that 1, A1, A2, … Am, 31 is an A.P.
Here, a = 1, b = 31, n = m + 2
∴ 31 = 1 + (m + 2 – 1) (d)
⇒ 30 = (m + 1) d
⇒ d = 30/(m + 1) ...(1)
A1 = a + d
A2 = a + 2d
A3 = a + 3d
∴ A7 = a + 7d
Am–1 = a + (m – 1) d
According to the given condition,
⇒ 9m + 1899 = 155m - 145
⇒ 155m - 9m = 1899 + 145
⇒ 146m = 2044
⇒ m = 14
Thus, the value of m is 14.
17. A man starts repaying a loan as first installment of Rs. 100. If he increases the installment by Rs 5 every month, what amount he will pay in the 30th installment?
Answer :
The first installment of the loan is Rs 100.
The second installment of the loan is Rs 105 and so on.
The amount that the man repays every month forms an A.P.
The A.P. is 100, 105, 110, …
First term, a = 100
Common difference, d = 5
A30 = a + (30 – 1)d
= 100 + (29) (5)
= 100 + 145
= 245
Thus, the amount to be paid in the 30th installment is Rs 245.
18. The difference between any two consecutive interior angles of a polygon is 5°. If the smallest angle is 120°, find the number of the sides of the polygon.
Answer :
The angles of the polygon will form an A.P. with common difference d as 5° and first term a as 120°.
It is known that the sum of all angles of a polygon with n sides is 180° (n – 2).
∴ Sn = 180° (n - 2)
⇒ n/2 [2a + (n - 1)d] = 180° (n - 2)
⇒ n/2 [2a + (n - 1)d] = 180° (n - 2)
⇒ n [240 + (n - 1)5] = 360(n - 2)
⇒ 240 n + 5n2 - 5n = 360n - 720
⇒ 5n2 + 235n - 360n + 720 = 0
⇒ 5n2 - 125n + 720 = 0
⇒ n2 - 25n + 144 = 0
⇒ n2 - 16n - 9n + 144 = 0
⇒ n(n - 16) - 9(n - 16) = 0
⇒ (n - 9)(n - 16) = 0
⇒ n = 9 or 16
Exercise 9.3
1. Find the 20th and nth terms of the G.P. 5/2, 5/4, 5/8, ......
Answer :
The given G.P. is 5/2, 5/4, 5/8 , .....
Here, a = First term = 5/2
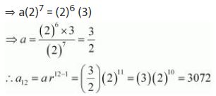
2. Find the 12th term of a G.P. whose 8th term is 192 and the common ratio is 2.
Answer :
Common ratio, r = 2
Let a be the first term of the G.P.
∴ a8 = ar 8–1 = ar7
⇒ ar7 = 192
a(2)7 = 192
⇒ a(2)7 = (2)6 (3)
3. The 5th, 8th and 11th terms of a G.P. are p, q and s, respectively. Show that q2 = ps.
Answer :
Let a be the first term and r be the common ratio of the G.P.
According to the given condition,
a5 = a r5–1 = a r4 = p …(1)
a8 = a r8–1 = a r7 = q …(2)
a11 = a r11–1 = a r10 = s …(3)
Dividing equation (2) by (1), we obtain
4. The 4th term of a G.P. is square of its second term, and the first term is –3. Determine its 7th term.
Answer :
Let a be the first term and r be the common ratio of the G.P.
∴ a = –3
It is known that, an = arn–1
∴a4 = ar3 = (–3) r3
a2 = a r1 = (–3) r
According to the given condition,
(–3) r3 = [(–3) r]2
⇒ –3r3 = 9 r2
⇒ r = –3
a7 = a r 7–1 = a r6 = (–3) (–3)6 = – (3)7 = –2187
Thus, the seventh term of the G.P. is –2187.
5. Which term of the following sequences:
(a) 2, 2√2, 4, ..... is 128 ?
(b) √3, 3, 3√3, .... is 729?
(c) 1/3, 1/9, 1/27, .... is 1/19683 ?
Answer :
(a) The given sequence is 2, 2√2, 4, .....
Here, a = 2 and r = 2√2/2 = √2
Let the nth term of the given sequence be 128.
Thus, the 13th term of the given sequence is 128.
(b) The given sequence is √3, 3, 3√3, .....
Here, a = √3 and r = 3/√3 = √3
Let the nth term of the given sequence be 729.
an = arn-1
∴ arn-1 = 729
⇒ (√3)(√3)n-1 = 729
6. For what values of x, the numbers 2/7 , x, -7/2 are in G.P?
Answer :
7. Find the sum to 20 terms in the geometric progression 0.15, 0.015, 0.0015 …
Answer :
The given G.P. is 0.15, 0.015, 0.00015, .....
Here, a = 0.15 and r = 0.015/0.15 = 0.1
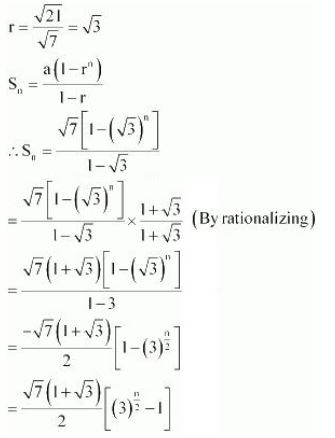
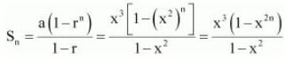
8. Find the sum to n terms in the geometric progression √7, √21, 3√7 .....
Answer :
The given G.P. is √7, √21, 3√7
Here, a = √7
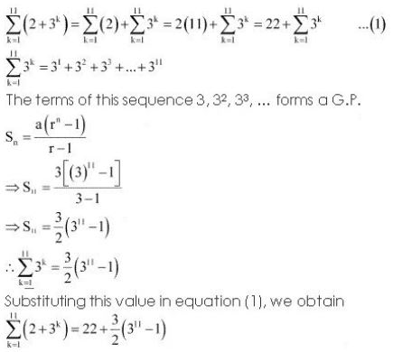
9. Find the sum to n terms in the geometric progression 1, -a, a2 , -a3 ..... (if a ≠ -1)
Answer :
The given G.P. is 1, -a , a2 , -a3 , .....
Here, first term = a1 = 1
Common ratio = r = -a
10. Find the sum to n terms in the geometric progression x3 , x5 , x7 ..... (if x ≠ ± 1)
Answer :
The given G.P. is x3 , x5 , x7 .....
Here, a = x3 and r = x2
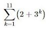
11. Evaluate
Answer :
12. The sum of first three terms of a G.P. is 39/10 and their product is 1. Find the common ratio and the terms.
Answer :
Let a/r, a, ar be the first three terms of the G.P.
a/r + a + ar = 39/10 ...(1)
(a/r)(a) (ar) = 1 ...(2)
From (2), we obtain
a3 = 1
⇒ a = 1 (Considering real roots only)
Substituting a = 1 in equation (1), we obtain
1/r + 1 + r = 39/10
⇒ 1 + r + r2 = (39/10)r
⇒ 10 + 10r + 10r2 - 39r = 0
⇒ 10r2 - 29r + 10 = 0
⇒ 10r2 - 25r - 4r + 10 = 0
⇒ 5r(2r - 5) - 2(2r - 5) = 0
⇒ (5r - 2)(2r - 5) = 0
⇒ r = 2/5 or 5/2
Thus, the three terms of G.P. are 5/2, 1, and 2/5.
13. How many terms of G.P. 3, 32, 33, … are needed to give the sum 120?
Answer :
The given G.P. is 3, 32, 33, …
Let n terms of this G.P. be required to obtain the sum as 120.
14. The sum of first three terms of a G.P. is 16 and the sum of the next three terms is 128. Determine the first term, the common ratio and the sum to n terms of the G.P.
Answer :
Let the G.P. be a, ar, ar2, ar3, …
According to the given condition,
a + ar + ar2 = 16 and ar3 + ar4 + ar5 = 128
⇒ a (1 + r + r2) = 16 …(1)
ar3(1 + r + r2) = 128 …(2)
Dividing equation (2) by (1), we obtain
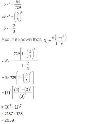
15. Given a G.P. with a = 729 and 7th term 64, determine S7.
Answer :
a = 729
a7 = 64
Let r be the common ratio of the G.P.
It is known that, an = a rn–1
a7 = ar7–1 = (729)r6
⇒ 64 = 729 r6
16. Find a G.P. for which sum of the first two terms is – 4 and the fifth term is4 times the third term.
Answer :
Let a be the first term and r be the common ratio of the G.P.
According to the given conditions,
17. If the 4th, 10th and 16th terms of a G.P. are x, y and z, respectively. Prove that x, y, z are in G.P.
Answer :
Let a be the first term and r be the common ratio of the G.P.
According to the given condition,
a4 = a r3 = x …(1)
a10 = a r9 = y …(2)
a16= a r15 = z …(3)
Dividing (2) by (1), we obtain
18. Find the sum to n terms of the sequence, 8, 88, 888, 8888…
Answer :
The given sequence is 8, 88, 888, 8888…
This sequence is not a G.P. However, it can be changed to G.P. by writing the terms as
Sn = 8 + 88 + 888 + 8888 + ….. to n terms
19. Find the sum of the products of the corresponding terms of the sequences 2, 4, 8, 16, 32 and 128, 32, 8, 2, 1/2
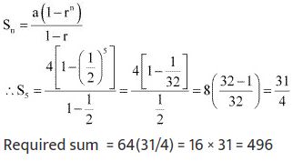
Answer :
Required sum = 2 × 128 + 4 × 32 + 8 × 8 + 16 × 2 + 32 × 1/2
= 64[4 + 2 + 1 + 1/2 + 1/22].
Here, 4, 2, 1, 1/2, 1/22 is a G.P.
First term, a = 4
Common ratio, r = 1/2
It is known that,
20. Show that the products of the corresponding terms of the sequences a, ar, ar2, …arn – 1 and A, AR, AR2, …ARn – 1 form a G.P, and find the common ratio
Answer :
It has to be proved that the sequence, aA, arAR, ar2AR2, …arn–1ARn–1, forms a G.P.
Second term/First term = arAR/aA = rR
Third term/Second term = ar2 AR2 /ar AR = rR
Thus, the above sequence forms a G.P. and the common ratio is rR.
21. Find four numbers forming a geometric progression in which third term is greater than the first term by 9, and the second term is greater than the 4th by 18.
Answer :
Let a be the first term and r be the common ratio of the G.P.
a1 = a, a2 = ar, a3 = ar2, a4 = ar3
By the given condition,
a3 = a1 + 9
⇒ ar2 = a + 9 …(1)
a2 = a4 + 18
⇒ ar = ar3 + 18 …(2)
From (1) and (2), we obtain
a(r2 – 1) = 9 …(3)
ar (1– r2) = 18 …(4)
Dividing (4) by (3), we obtain
ar (1 - r2) / a (r2 - 1) = 18/9
⇒ -r = 2
⇒ r = -2
Substituting the value of r in (1), we obtain
4a = a + 9
⇒ 3a = 9
∴ a = 3
Thus, the first four numbers of the G.P. are 3, 3(– 2), 3(–2)2, and 3(–2)3 i.e., 3¸–6, 12, and –24.
22. If the pth , qth and rth terms of a G.P. are a, b and c, respectively. Prove that aq-r br-p cp-q = 1
Answer :
Let A be the first term and R be the common ratio of the G.P.
According to the given information,
ARp–1 = a
ARq–1 = b
ARr–1 = c
aq–rbr–pcp–q
= Aq–r × R(p–1) (q–r) × Ar–p × R(q–1) (r-p) × Ap–q × R(r –1)(p–q)
= Aq – r + r – p + p – q × R (pr – pr – q + r) + (rq – r + p – pq) + (pr – p – qr + q)
= A0 × R0
= 1
Thus, the given result is proved.
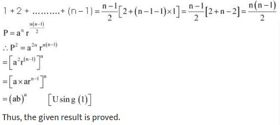
23. If the first and the nth term of a G.P. are a ad b, respectively, and if P is the product of n terms, prove that P2 = (ab)n.
Answer :
The first term of the G.P is a and the last term is b.
Therefore, the G.P. is a, ar, ar2, ar3, … arn–1, where r is the common ratio.
b = arn–1 … (1)
P = Product of n terms
= (a) (ar) (ar2) … (arn–1)
= (a × a ×…a) (r × r2 × …rn–1)
= anr 1 + 2 +…(n–1) … (2)
Here, 1, 2, …(n – 1) is an A.P.
24. Show that the ratio of the sum of first n terms of a G.P. to the sum of terms from (n +1)th to (2n)th term is 1/rn .
Answer :
Let a be the first term and r be the common ratio of the G.P.
Sum of first n terms a(l - rn )/(1 - r)
Since there are n terms from (n + 1)th to (2n)th term,
25. If a, b, c and d are in G.P. show that (a2 + b2 + c2 ) (b2 + c2 + d2 ) =(ab + bc + cd)2 .
Answer :
a, b, c, d are in G.P.
Therefore,
bc = ad …(1)
b2 = ac …(2)
c2 = bd …(3)
It has to be proved that,
(a2 + b2 + c2) (b2 + c2 + d2) = (ab + bc – cd)2
R.H.S.
= (ab + bc + cd)2
= (ab + ad + cd)2 [Using (1)]
= [ab + d (a + c)]2
= a2b2 + 2abd (a + c) + d2 (a + c)2
= a2b2 +2a2bd + 2acbd + d2(a2 + 2ac + c2)
= a2b2 + 2a2c2 + 2b2c2 + d2a2 + 2d2b2 + d2c2 [Using (1) and (2)]
= a2b2 + a2c2 + a2c2 + b2c2 + b2c2 + d2a2 + d2b2 + d2b2 + d2c2
= a2b2 + a2c2 + a2d2 + b2 × b2 + b2c2 + b2d2 + c2b2 + c2 × c2 + c2d2
[Using (2) and (3) and rearranging terms]
= a2(b2 + c2 + d2) + b2 (b2 + c2 + d2) + c2 (b2+ c2 + d2)
= (a2 + b2 + c2) (b2 + c2 + d2)
= L.H.S.
∴ L.H.S. = R.H.S.
(a2 + b2 + c2) (b2 + c2 + d2) = (ab + bc + cd)2
26. Insert two numbers between 3 and 81 so that the resulting sequence is G.P.
Answer :
Let G1 and G2 be two numbers between 3 and 81 such that the series, 3, G1, G2, 81, forms a G.P.
Let a be the first term and r be the common ratio of the G.P.
∴81 = (3) (r)3
⇒ r3 = 27
∴ r = 3 (Taking real roots only)
For r = 3,
G1 = ar = (3) (3) = 9
G2 = ar2 = (3) (3)2 = 27
Thus, the required two numbers are 9 and 27.
27. Find the value of n so that (an+1 + bn+1)/(an + bn) may be the geometric mean between a and b.
Answer :
G. M. of a and b is √ab.
28. The sum of two numbers is 6 time their geometric mean, show that numbers are in the ratio (3 + 2√2) : (3 - 2√2) .
Answer :
Let the two numbers be a and b.
G.M. = √ab
According to the given condition,
a + b = 6√ab ...(1)
⇒ (a + b)2 = 36(ab)
Also,
(a - b)2 = (a + b)2 - 4ab = 36ab - 4ab = 32ab
⇒ a - b = √32√ab
= 4√2√ab ...(2)
Adding (1) and (2), we obtain
2a = (6 + 4√2)√ab
⇒ a = (3 + 2√2)√ab
Substituting the value of a in (1), we obtain
b = 6√ab - (3 + 2√2)√ab
⇒ b = (3 - 2√2)√ab
29. If A and G be A.M. and G. M., respectively between two positive numbers, prove that the numbers are A ± √(A + G)(A - G)
Answer :
It is given that A and G are A.M. and G.M. between two positive numbers. Let these two positive numbers be a and b.
∴ AM = A = (a + b)/2 ...(1)
GM = G = √(ab) ...(2)
From (1) and (2), we obtain
a + b = 2A …(3)
ab = G2 …(4)
Substituting the value of a and b from (3) and (4) in the identity (a – b)2 = (a + b)2 – 4ab, we obtain
(a – b)2 = 4A2 – 4G2 = 4 (A2–G2)
(a – b)2 = 4 (A + G) (A – G)
30. The number of bacteria in a certain culture doubles every hour. If there were 30 bacteria present in the culture originally, how many bacteria will be present at the end of 2nd hour, 4th hour and nthhour?
Answer :
It is given that the number of bacteria doubles every hour. Therefore, the number of bacteria after every hour will form a G.P.
Here, a = 30 and r = 2
∴ a3 = ar2 = (30) (2)2 = 120
Therefore, the number of bacteria at the end of 2nd hour will be 120.
a5 = ar4 = (30)(2)4 = 480
The number of bacteria at the end of 4th hour will be 480.
an +1 = arn = (30) 2n
Thus, number of bacteria at the end of nth hour will be 30(2)n.
31. What will Rs 500 amounts to in 10 years after its deposit in a bank which pays annual interest rate of 10% compounded annually?
Answer :
The amount deposited in the bank is Rs 500.
At the end of first year, amount = Rs 500 (1 + 1/10) = Rs 500 (1.1)
At the end of 2nd year, amount = Rs 500 (1.1) (1.1)
At the end of 3rd year, amount = Rs 500 (1.1) (1.1) (1.1) and so on
∴ Amount at the end of 10 years = Rs 500 (1.1) (1.1) … (10 times)
= Rs 500(1.1)10.
32. If A.M. and G.M. of roots of a quadratic equation are 8 and 5, respectively, then obtain the quadratic equation.
Answer :
Let the root of the quadratic equation be a and b.
According to the given condition,
A.M. = (a + b)/2 = 8 ⇒ a + b = 16 ...(1)
G.M. = √ab = 5 ⇒ ab = 25 ...(2)
The quadratic equation is given by,
x2– x (Sum of roots) + (Product of roots) = 0
x2 – x (a + b) + (ab) = 0
x2 – 16x + 25 = 0 [Using (1) and (2)]
Thus, the required quadratic equation is x2 – 16x + 25 = 0
| NCERT Solutions Class 11 Mathematics Chapter 9 Sequences and Series |
Free study material for Chapter 8 Sequences and Series
NCERT Solutions Class 11 Mathematics Chapter 8 Sequences and Series
Students can now access the NCERT Solutions for Chapter 8 Sequences and Series prepared by teachers on our website. These solutions cover all questions in exercise in your Class 11 Mathematics textbook. Each answer is updated based on the current academic session as per the latest NCERT syllabus.
Detailed Explanations for Chapter 8 Sequences and Series
Our expert teachers have provided step-by-step explanations for all the difficult questions in the Class 11 Mathematics chapter. Along with the final answers, we have also explained the concept behind it to help you build stronger understanding of each topic. This will be really helpful for Class 11 students who want to understand both theoretical and practical questions. By studying these NCERT Questions and Answers your basic concepts will improve a lot.
Benefits of using Mathematics Class 11 Solved Papers
Using our Mathematics solutions regularly students will be able to improve their logical thinking and problem-solving speed. These Class 11 solutions are a guide for self-study and homework assistance. Along with the chapter-wise solutions, you should also refer to our Revision Notes and Sample Papers for Chapter 8 Sequences and Series to get a complete preparation experience.
The complete and updated is available for free on StudiesToday.com. These solutions for Class 11 Mathematics are as per latest NCERT curriculum.
Yes, our experts have revised the as per 2026 exam pattern. All textbook exercises have been solved and have added explanation about how the Mathematics concepts are applied in case-study and assertion-reasoning questions.
Toppers recommend using NCERT language because NCERT marking schemes are strictly based on textbook definitions. Our will help students to get full marks in the theory paper.
Yes, we provide bilingual support for Class 11 Mathematics. You can access in both English and Hindi medium.
Yes, you can download the entire in printable PDF format for offline study on any device.