NCERT Solutions Class 11 Mathematics Chapter 8 Binomial Theorem

Get the most accurate NCERT Solutions for Class 11 Mathematics Chapter 7 Binomial Theorem here. Updated for the 2025-26 academic session, these solutions are based on the latest NCERT textbooks for Class 11 Mathematics. Our expert-created answers for Class 11 Mathematics are available for free download in PDF format.

Detailed Chapter 7 Binomial Theorem NCERT Solutions for Class 11 Mathematics

For Class 11 students, solving NCERT textbook questions is the most effective way to build a strong conceptual foundation. Our Class 11 Mathematics solutions follow a detailed, step-by-step approach to ensure you understand the logic behind every answer. Practicing these Chapter 7 Binomial Theorem solutions will improve your exam performance.

Class 11 Mathematics Chapter 7 Binomial Theorem NCERT Solutions PDF

Exercise 8.1

1. Expand the expression (1– 2x)5

Answer : 

By using Binomial Theorem, the expression (1-2x) can be expanded as 

(1 -2x)5

5C0 (1)5 – 5C1 (1)4 (2x) + 5C2 (1)3 (2x)2 - 5C3 (1)2 (2x)3 + 5C4 (1)1(2x)4 + 5C5 (2x)5

= 1 – 5(2x) + 10(4x2 ) – 10(8x3 )+ 5(16x4 ) – (32x5 )

= 1 – 10x + 40x2 – 80x3 + 80x4 – 32x5

2. Expand the expression (2/x - x/2)5 

Answer : 

By using Binomial Theorem, the expression (2/x - x/2)5 can be expanded as 

""NCERT-Solutions-Class-11-Mathematics-Chapter-8-Binomial-Theorem

3. Expand the expression (2x – 3)6 . 

Answer : 

By using Binomial theorem, the expression (2x - 3)6 can be expanded as 

(2x - 3)6 

6C0 (2x)6 – 6C1 (2x)5 (3) + 6C2 (2x)4 (3)2 – 6C3 (2x)3 (3)3 + 6C4 (2x)2 (3)4 – 6C5 (2x) (3)5 + 6C6 (3)6

= 64x6 – 6(32x5 )(3) + 15(16x4 )(9) – 20(8x3 )(27) + 15(4x2) (81) – 6(2x)(243) + 729

= 64x6 – 576x5 + 2160x4 – 4320x3 + 4860x2 – 2916x + 729

4. Expand the expression (x/3 + 1/x)5 

Answer : 

By using Binomial Theorem, the expression (x/3 + 1/x)5 can be expanded as 

""NCERT-Solutions-Class-11-Mathematics-Chapter-8-Binomial-Theorem-1

5. Expand (x + 1/x)6 

Answer : 

By using Binomial Theorem, the expression(x + 1/x)6 can be expanded as  

""NCERT-Solutions-Class-11-Mathematics-Chapter-8-Binomial-Theorem-2

6. Using Binomial Theorem, evaluate (96)3

Answer : 

96 can be expressed as the sum or difference of two numbers whose powers are easier to calculate and then, binomial theorem can be applied. 

It can be written that, 96 = 100 - 4 

∴ (96)3 = (100 - 4)3 

3C0 (100)3 - 3C1 (100)2 (4) + 3C2 (100)(4)2 - 3C3 (4)3 

= (100)3 - 3(100)2 (4) + 3(100)(4)2 - (4)3 

= 1000000 - 120000 + 4800 - 64 

= 884736

7. Using Binomial Theorem, evaluate (102)5

Answer : 

102 can be expressed as the sum or difference of two numbers whose powers are easier to calculate and then, Binomial Theorem can be applied.

It can be written that, 102 = 100 + 2 

∴ (102)5 = (100 + 2)5 

5C0(100)5 - 5C1(100)4 (2) + 5C2(100)3 (2)2 - 5C3(100)2 (2)3 + 5C4(100)(2)4 + 5C5(2)5 

= (100)5 + 5(100)4 (2) + 10(100)3 (2)2 + 10(100)2 (2)3 + 5(100)(2)4 +(2)5 

= 10000000000 + 1000000000 + 40000000 + 800000 + 8000 + 32 

= 11040808032

8. Using Binomial Theorem, evaluate (101)4

Answer : 

101 can be expressed as the sum or difference of two numbers whose powers are easier to calculate and then, Binomial Theorem can be applied.

It can be written that, 101 = 100 + 1 

∴ (101)4  = (100 + 1)4 

4C0(100)4 - 4C1(100)3 (1) + 4C2(100)2 (1)2 - 4C3(100)(1)3 + 4C4(1)4 

= (100)4 + 4(100)3 + 6(100)2 + 4(100) + (1)4 

= 100000000 +4000000 + 60000 + 400 + 1 

= 104060401

9. Using Binomial Theorem, evaluate (99)5

Answer : 

99 can be written as the sum or difference of two numbers whose powers are easier to calculate and then, Binomial Theorem can be applied.

It can be written that, 99 = 100 – 1

∴ (99)5 = (100 - 1)5 

5C0 (100)5 - 5C1 (100)4 (1) + 5C2 (100)3 (1)2 - 5C3 (100)2 (1)3 + 5C4 (100)(1)4 + 5C5 (1)5 

= (100)5 - 5(100)4 + 10(100)3 - 10(100)2 + 5(100) - 1 

= 10000000000 - 500000000 + 10000000 - 100000 + 500 - 1 

= 10010000500 - 500100001 

= 9509900499

10. Using Binomial Theorem, indicate which number is larger (1.1)10000 or 1000.

Answer : 

By splitting 1.1 and then applying Binomial Theorem, the first few terms of (1.1)10000 can be obtained as

(1.1)10000 = (1 + 0.1)10000 

10000C0 - 10000C1 (1.1) + Other positive terms  

= 1 + 10000 × 1.1 + Other positive terms  

= 1 + 11000 + Other positive terms  

> 1000 

Hence, (1.1)10000 > 1000

11. Find (a + b)4 - (a - b)4. Hence, evaluate (√3 + √2)4 - (√3 - √2)4 

Answer : 

Using Binomial Theorem, the expressions, (a + b)4 and (a - b)4 , can be expanded as 

(a + b)4 = 4C0a4 + 4C1a3b + 4C2a2b2 + 4C3ab3 + 4C4b4 

(a - b)4 =  4C0a4 - 4C1a3b + 4C2a2b2 - 4C3ab3 + 4C4b4 

∴ (a + b)4 - (a - b)4 = 4C0a4 + 4C1a3b + 4C2a2b2 + 4C3ab3 + 4C4b4 - [4C0a4 - 4C1a3b + 4C2a2b2 - 4C3ab3 + 4C4b4]

= 2(4C1a3b + 4C3ab3) = 2(4a3b + 4ab3

= 8ab (a2 + b2 ) 

By putting a = √3 and b = √2 , we obtain  

(√3 + √2)4 - (√3 - √2)4 = 8(√3)(√2) {(√3)2  + (√2)2 } 

= 8(√6) (3 + 2) = 40√6

12. Find (x + 1)6 + (x -1)6. Hence or otherwise evaluate (√2 + 1)6 + (√2 - 1)6 

Answer : 

Using Binomial Theorem, the expressions, (x + 1)6 and (x - 1)6 , can be expanded as 

(x + 1)6  = 6C0 x6 + 6C1 x5  + 6C2 x4 + 6C3 x3 + 6C4 x2 + 6C5 x + 6C6 

(x - 1)6 =  6C0 x6 - 6C1 x5  + 6C2 x4 - 6C3 x3 + 6C4 x2 - 6C5 x + 6C6 

∴ (x + 1)6 + (x -1)6 = 2[6C0 x6 + 6C1 x5  + 6C2 x4 +  6C4 x2 + 6C6]

= 2[x6 + 15x4 + 15x2 + 1] 

By putting x = √2, we obtain  

(√2 + 1)6  + (√2 - 1)6  = 2[(√2)6 + 15(√2)4 + 15(√2)2 + 1 ]

= 2(8 + 15 × 4 + 15 × 2 + 1) 

= 2(8 + 60 + 30 + 1) 

= 2(99) = 198

13. Show that 9n+1 – 8n – 9 is divisible by 64, whenever n is a positive integer.

Answer : 

In order to show that 9n+1 - 8n - 9 is divisible by 64, it has to be proved that, 

9n+1  - 8n - 9 = 64k, where k is some natural number. 

By Binomial Theorem,  

(1 + a)m =  mC0 + mC1 a + mC2 a2 + .... + mCm am 

For a = 8 and m = n + 1, we obtain 

""NCERT-Solutions-Class-11-Mathematics-Chapter-8-Binomial-Theorem-3

14. Prove that 

""NCERT-Solutions-Class-11-Mathematics-Chapter-8-Binomial-Theorem-4

Answer : 

By Binomial Theorem,  

""NCERT-Solutions-Class-11-Mathematics-Chapter-8-Binomial-Theorem-5

Exercise 8.2

1. Find the coefficient of x5 in (x + 3)8

Answer : 

It is known that (r + 1)th term, (Tr+1), in the binomial expansion of (a + b)n is given by Tr+1 = nCr an-rbr.

Assuming that x5 occurs in the (r + 1)th term of the expansion (x + 3)8 , we obtain 

Tr+1 = 8Cr x8-r 3r.

Comparing the indices of x in x5 and in Tr+1, we obtain 

r = 3 

Thus, the coefficient of x5 is 8Cr (3)3 = (8!/3!5!) × 33 = (8.7.6.5!/3.2.5!).33 = 1512

2. Find the coefficient of a5 b7 in (a - 2b)12 .

Answer : 

It is known that (+ 1)th term, (Tr+1), in the binomial expansion of (b)n is given by Tr+1 = nCr an-r br .

Assuming that a5 b7 occurs in the (r + 1)th term of the expansion (a - 2b)12 , we obtain  

""NCERT-Solutions-Class-11-Mathematics-Chapter-8-Binomial-Theorem-6

Comparing the indices of a and b in a5 b7 and in Tr+1 , we obtain  
r = 7 
Thus, the coefficient of a5 b7 is 12C7 (-2)7 = (-12!/7!5!) .27 = (12.11.10.9.8.7!/5.4.3.2.7!) 27 = -(792)(128) = -101376

3. Write the general term in the expansion of (x2 - y)6 

Answer : 

It is known that the general term Tr+1{which is the (r+1)th term} in the binomial expansion of (a + b)n is given by Tr+1 = nCr an-r br .

Thus, the general term in the expansion of (x2 - y6) is 

Tr+1 = 6Cr (x2 )6-r (-y)r . (-1)r  6Cr x12-2r yr

Question4. Write the general term in the expansion of (x2 – yx)12, x ≠ 0

Answer : 

General form of the expansion Tr+1 is

{ which is the (r+1)th term } in the binomial expansion of (a+b)n is given by Tr+1=nCran−rbr.

Thus, the general term in the expansion of (x2−yx)12

 is Tr+1 12Cr(x2)12−t(−yx)r

=(−1)r12Cr−x24−2r−yr

=(−1)r−2Crx24−r⋅yr

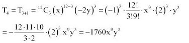
5. Find the 4th term in the expansion of (x – 2y)12 .

Answer : 

It is known that (r + 1)th term, Tr+1, in the binomial expansion of (a + b)n is given by Tr+1 =  nCr an-r br .

Thus, the 4th term in the expansion of (x - 2y)12 is 

""NCERT-Solutions-Class-11-Mathematics-Chapter-8-Binomial-Theorem-7

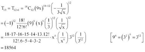
6. Find the 13th term in the expansion of (9x - 1/3√x)18 , x ≠ 0. 

Answer : 

It is known that (r + 1)th term, (Tr+1 ), in the binomial expansion of (a + b)n is given by Tr+1 = nCr an-r br.

Thus, 13th term in the expansion of (9x - 1/3√x)18 is 

""NCERT-Solutions-Class-11-Mathematics-Chapter-8-Binomial-Theorem-8

7. Find the middle terms in the expansions of (3 - x3 /6)7 . 

Answer : 

It is known that in the expansion of (a + b)n, if n is odd, then there are two middle terms, namely, [(n+1)/2]8 term and [(n+1)/2 + 1)th term. 

Therefore, the middle terms in the expansion of [3 - x3 /6]7 are [(7+1)/2]th = 4th term and [(7+1)/2 + 1)th = 5th term

""NCERT-Solutions-Class-11-Mathematics-Chapter-8-Binomial-Theorem-9

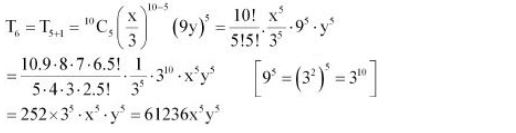
8. Find the middle terms in the expansions of (x/3 + 9y)10 

Answer : 

It is known that in the expansion (a + b)n , if n is even , then the middle term is (n/2 + 1)th term. 

Therefore, the middle term in the expansion of (x/3 + 9y)10 is (10/2 + 1)th = 6th term 

""NCERT-Solutions-Class-11-Mathematics-Chapter-8-Binomial-Theorem-10

Thus, the middle term in the expansion of (x/3 + 9y)10 is 61236 x5 y5.

9. In the expansion of (1 + a)m + n, prove that coefficients of am and an are equal.

Answer : 

It is known that (+ 1)th term, (Tr+1), in the binomial expansion of (b)n is given by Tr+1 = nCr an-r br .

Assuming that am occurs in the (r + 1)th term of the expansion (1 + a)m + n, we obtain

Tr+1 =  m+nCr (1)m+n-r (a)r . = m+nCr ar  

Comparing the indices of a in am and in Tr+1, we obtain  

r = m 

Therefore, the coefficient of am i

""NCERT-Solutions-Class-11-Mathematics-Chapter-8-Binomial-Theorem-11

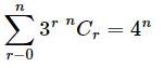
10. The coefficients of the (r – 1)thrth and (r + 1)th terms in the expansion of (x + 1)n are in the ratio 1:3:5. Find n and r.

Answer : 

It is known that (k +1)th term, (Tk+1 ) in the binomial expansion of (a + b)n is given by Tk+1 = nCk an-k bk .

Therefore, (r – 1)th term in the expansion of (x + 1)n is Tr-1 = nCr-2 (x)n-(r-2) (1)(r- 2) = nCr-2 Xn-r+2

rth term in the expansion of (x + 1)n is Tr = nCr-1 (x)n-(r-1) (1)(r-1) = nCr-1 xn-r+1

(r +1)th term in the expansion of (x +1)n is Tr+1 = nCr (X)n-r (1)r = nCr Xn-r

Therefore, the coefficients of the (r -1)th , rth and (r + 1)th terms in the expansion of (x + 1)n are nCr-2 , nCr-1 and nCr respectively. Since these coefficients are in the ratio 1 : 3 : 5, we obtain

""NCERT-Solutions-Class-11-Mathematics-Chapter-8-Binomial-Theorem-12

Multiplying (1) by 3 and subtracting it from (2), we obtain

4– 12 = 0

⇒ r = 3

Putting the value of r in (1), we obtain

n – 12 + 5 = 0

⇒ n = 7

Thus, = 7 and r = 3

11. Prove that the coefficient of xn in the expansion of (1 + x)2n is twice the coefficient of xn in the expansion of (1 + x)2n–1 .

Answer :  

It is known that (+ 1)th term, (Tr+1), in the binomial expansion of (b)n is given by Tr+1 = nCr an-r br ..

Assuming that xn occurs in the (r + 1)th term of the expansion of (1 + x)2n, we obtain


Comparing the indices of x in xn and in Tr+1 , we obtain 

r = n 

Therefore, the coefficient of xn in the expansion of (1 + x)2n is 

""NCERT-Solutions-Class-11-Mathematics-Chapter-8-Binomial-Theorem-13

Therefore, the coefficient of xn in the expansion of (1 + x)2n is twice the coefficient of xn in the expansion of (1 + x)2n–1.

Hence, proved.

12. Find a positive value of m for which the coefficient of x2 in the expansion (1 + x)m is 6

Answer : 

It is known that (+ 1)th term, (Tr+1), in the binomial expansion of (b)n is given by .

Tr+1 =  nCr an-r br . 

Assuming that x2 occurs in the (+ 1)th term of the expansion (1 +x)m, we obtain

""NCERT-Solutions-Class-11-Mathematics-Chapter-8-Binomial-Theorem-14

⇒ m(m - 1) = 12

⇒ m2 - m - 12 = 0 

⇒ m2 - 4m + 3m - 12 = 0 

⇒ m(m - 4) + 3(m -4) = 0 

⇒ (m - 4)(m + 3) = 0 

⇒ (m - 4) = 0 or (m +3) = 0 

⇒ m = 4 or m = -3 

Thus, the positive value of m, for which the coefficient of x2 in the expansion 

(1 + x)m is 6, is 4.

Miscellaneous Solutions

1. Find a, b and n in the expansion of (a + b)n if the first three terms of the expansion are 729, 7290 and 30375, respectively.

Answer : 

It is known that (+ 1)th term, (Tr+1), in the binomial expansion of (b)n is given by

Tr+1 = nCr an-r br .

The first three terms of the expansion are given as 729, 7290, and 30375 respectively.

Therefore, we obtain

T1 = nC0 an-0 b0 = an = 729  ...(1)

T2 = nC1 an-1 b1 = nan-1 b = 7290  ...(2)

T3 = nC2 an-2 b= [n(n-1)/2] an-2 b2  = 30375 ...(3)

Dividing (2) by (1), we obtain 

""NCERT-Solutions-Class-11-Mathematics-Chapter-8-Binomial-Theorem-15

⇒ n = 6

Substituting n = 6 in equation (1), we obtain  

a6 = 729

⇒ a = 6√729 = 3 

From (5), we obtain  

b/3 = 5/3 ⇒ 5 

Thus, a = 3 , b = 5 , and n = 6.

2. Find a if the coefficients of x2 and x3 in the expansion of (3 + ax)9 are equal.

Answer : 

It is known that (+ 1)th term, (Tr+1), in the binomial expansion of (b)n is given by Tr+1 = nCr an-r br ..

Assuming that x2 occurs in the (r + 1)th term in the expansion of (3 + ax)9, we obtain

""NCERT-Solutions-Class-11-Mathematics-Chapter-8-Binomial-Theorem-16

It is given that the coefficients of x2 and x3 are the same.  

84(3)6 a3 = 36(3)7 a2 

⇒ 84a = 36× 3 

⇒ a = (36× 3)/84 = 104/84 

⇒ a = 9/7 

Thus, the required value of a is 9/7.

3. Find the coefficient of x5 in the product (1 + 2x)6 (1 – x)7 using binomial theorem.

Answer : 

""NCERT-Solutions-Class-11-Mathematics-Chapter-8-Binomial-Theorem-18

Question4. If a and b are distinct integers, prove that a – b is a factor of an – bn, whenever n is a positive integer.

[Hint: write an = (a – b + b)n and expand]

Answer : 

n order to prove that (a – b) is a factor of (an – bn), it has to be proved that

an – bn = k (a – b) where k is some natural number.

a can be written as a = a – b + b

an = (a – b + b)n = [(a – b) + b]n

nC0 (a – b)n + nC1 (a – b)n-1 b + …… + n C n bn

a– bn = (a – b) [(a –b)n-1 + nC1 (a – b)n-1 b + …… + bn]

an – bn = (a – b) k

Where k = [(a –b)n-1 nC1 (a – b)n-1 b + …… + n C n bn] is a natural number

Question5. Evaluate: (√3 + √2)- (√3 - √2)6

Answer : 

""NCERT-Solutions-Class-11-Mathematics-Chapter-8-Binomial-Theorem-19

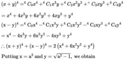
6. Find the value of [a2 + √(a2 - 1)]4 + [a2 - √(a2 - 1)]4 

Answer : 

Firstly, the expression (x + y)4 + (x – y)4 is simplified by using Binomial Theorem.

This can be done as

""NCERT-Solutions-Class-11-Mathematics-Chapter-8-Binomial-Theorem-20

7. Find an approximation of (0.99)5 using the first three terms of its expansion.

Answer : 

0.99 = 1 - 0.01 

∴ (0.99)5 = (1 - 0.01)5 

5C0 (1)5 - 5C1 (1)4 (0.01) + 5C2 (1)3 (0.01)2  (Approximately)

= 1 - 5(0.01) + 10(0.01)2 

1 - 0.05 + 0.001 

= 1.001 - 0.05

= 0.951 

Thus, the value of (0.99)5 is approximately 0.951.

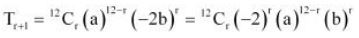
8. Find n, if the ratio of the fifth term from the beginning to the fifth term from the end in the expansion of (4√2 + 1/4√3 )n is √6 : 1 

Answer : 

(a + b)n = nC0an + nC1an-1b + nC2an-2b2 + ... + nCn-1 abn-1 + nCnbn,

Fifth term from the beginning = nC4 an-4 b4

Fifth term from the end = nCn-4 a4 bn-4

""NCERT-Solutions-Class-11-Mathematics-Chapter-8-Binomial-Theorem-21

It is given that the ratio of the fifth term from the beginning to the fifth term from the end is √6 : 1. Therefore, from (1) and (2), we obtain 

""NCERT-Solutions-Class-11-Mathematics-Chapter-8-Binomial-Theorem-22

9. Expand using Binomial Theorem (1 + x/2 - 2/x)4, x ≠ 0 

Answer : 

Using Binomial Theorem, the given expression (1 + x/2 - 2/x)4 can be expanded as 

""NCERT-Solutions-Class-11-Mathematics-Chapter-8-Binomial-Theorem-23

""NCERT-Solutions-Class-11-Mathematics-Chapter-8-Binomial-Theorem-24

Question10. Find the expansion of (3x2 – 2ax + 3a2)3using binomial theorem.

Answer : 

Here

=  We know that (a + b)3 = a3 + 3a2b + 3ab2 + b3

Putting a = 3x2 & b = -a (2x-3a), we get

[3x2 + (-a (2x-3a))]3

= (3x2)3+3(3x2)2(-a (2x-3a)) + 3(3x2) (-a (2x-3a))2 + (-a (2x-3a))3

= 27x6 – 27ax4 (2x-3a) + 9a2x2 (2x-3a)2 – a3(2x-3a)3

= 27x6 – 54ax5 + 81a2x4 + 9a2x2 (4x2-12ax+9a2) – a3 [(2x)3 – (3a)3 – 3(2x)2(3a) + 3(2x)(3a)2]

= 27x6 – 54ax5 + 81a2x4 + 36a2x4 – 108a3x3 + 81a4x2 – 8a3x3 + 27a6 + 36a4x2 – 54a5x

= 27x6 – 54ax5+ 117a2x4 – 116a3x3 + 117a4x2 – 54a5x + 27a6

Thus, (3x2 – 2ax + 3a2)3

= 27x6 – 54ax5+ 117a2x4 – 116a3x3 + 117a4x2 – 54a5x + 27a6

NCERT Solutions Class 11 Mathematics Chapter 7 Binomial Theorem

Students can now access the NCERT Solutions for Chapter 7 Binomial Theorem prepared by teachers on our website. These solutions cover all questions in exercise in your Class 11 Mathematics textbook. Each answer is updated based on the current academic session as per the latest NCERT syllabus.

Detailed Explanations for Chapter 7 Binomial Theorem

Our expert teachers have provided step-by-step explanations for all the difficult questions in the Class 11 Mathematics chapter. Along with the final answers, we have also explained the concept behind it to help you build stronger understanding of each topic. This will be really helpful for Class 11 students who want to understand both theoretical and practical questions. By studying these NCERT Questions and Answers your basic concepts will improve a lot.

Benefits of using Mathematics Class 11 Solved Papers

Using our Mathematics solutions regularly students will be able to improve their logical thinking and problem-solving speed. These Class 11 solutions are a guide for self-study and homework assistance. Along with the chapter-wise solutions, you should also refer to our Revision Notes and Sample Papers for Chapter 7 Binomial Theorem to get a complete preparation experience.

Where can I find the latest [current-page:node:field_title] for the 2025-26 session?

The complete and updated is available for free on StudiesToday.com. These solutions for Class 11 Mathematics are as per latest NCERT curriculum.

Are the Mathematics NCERT solutions for Class 11 updated for the new 50% competency-based exam pattern?

Yes, our experts have revised the as per 2026 exam pattern. All textbook exercises have been solved and have added explanation about how the Mathematics concepts are applied in case-study and assertion-reasoning questions.

How do these Class 11 NCERT solutions help in scoring 90% plus marks?

Toppers recommend using NCERT language because NCERT marking schemes are strictly based on textbook definitions. Our will help students to get full marks in the theory paper.

Do you offer [current-page:node:field_title] in multiple languages like Hindi and English?

Yes, we provide bilingual support for Class 11 Mathematics. You can access in both English and Hindi medium.

Is it possible to download the Mathematics NCERT solutions for Class 11 as a PDF?

Yes, you can download the entire in printable PDF format for offline study on any device.