NCERT Solutions Class 11 Mathematics Chapter 7 Permutations and Combinations

Get the most accurate NCERT Solutions for Class 11 Mathematics Chapter 6 Permutations and Combinations here. Updated for the 2025-26 academic session, these solutions are based on the latest NCERT textbooks for Class 11 Mathematics. Our expert-created answers for Class 11 Mathematics are available for free download in PDF format.

Detailed Chapter 6 Permutations and Combinations NCERT Solutions for Class 11 Mathematics

For Class 11 students, solving NCERT textbook questions is the most effective way to build a strong conceptual foundation. Our Class 11 Mathematics solutions follow a detailed, step-by-step approach to ensure you understand the logic behind every answer. Practicing these Chapter 6 Permutations and Combinations solutions will improve your exam performance.

Class 11 Mathematics Chapter 6 Permutations and Combinations NCERT Solutions PDF

Exercise 7.1

Question. How many 3-digit numbers can be formed from the digits 1, 2, 3, 4 and 5 assuming that 
(i) repetition of the digits is allowed?
(ii) repetition of the digits is not allowed ?

Answer :
(i) There will be as many ways as there are ways of filling 3 vacant places ⬜⬜⬜ in succession by the given five digits. In this case, repetition of digits is allowed. Therefore, the units place can be filled in by any of the given five digits. Similarly, tens and hundreds digits can be filled in by any of the given five digits.
Thus, by the multiplication principle, the number of ways in which three-digit numbers can be formed from the given digits is 5 × 5 × 5 = 125
(ii) In this case, repetition of digits is not allowed. Here, if units place is filled in first, then it can be filled by any of the given five digits. Therefore, the number of ways of filling the units place of the three-digit number is 5.
Then, the tens place can be filled with any of the remaining four digits and the hundreds place can be filled with any of the remaining three digits.
Thus, by the multiplication principle, the number of ways in which three-digit numbers can be formed without repeating the given digits is 5 × 4 × 3 = 60

Question. How many 3-digit even numbers can be formed from the digits 1, 2, 3, 4, 5, 6 if the digits can be repeated?
Answer :
There will be as many ways as there are ways of filling 3 vacant places ⬜⬜⬜ in succession by the given six digits. In this case, the units place can be filled by 2 or 4 or 6 only i.e., the units place can be filled in 3 ways. The tens place can be filled by any of the 6 digits in 6 different ways and also the hundreds place can be filled by any of the 6 digits in 6 different ways, as the digits can be repeated.
Therefore, by multiplication principle, the required number of three digit even numbers is 3 × 6 × 6 = 108.  

Question. How many 4-letter code can be formed using the first 10 letters of the English alphabet, if no letter can be repeated?
Answer :
There are as many codes as there are ways of filling 4 vacant places ⬜⬜⬜⬜ in succession by the first 10 letters of the English alphabet, keeping in mind that the repetition of letters is not allowed.
The first place can be filled in 10 different ways by any of the first 10 letters of the English alphabet following which, the second place can be filled in by any of the remaining letters in 9 different ways. The third place can be filled in by any of the remaining 8 letters in 8 different ways and the fourth place can be filled in by any of the remaining 7 letters in 7 different ways.
Therefore, by multiplication principle, the required numbers of ways in which 4 vacant places can be filled is 10 × 9 × 8 × 7 = 5040
Hence, 5040 four-letter codes can be formed using the first 10 letters of the English alphabet, if no letter is repeated. 

Question. How many 5–digit telephone numbers can be constructed using the digits 0 to 9 if each number starts with 67 and no digit appears more than once?
Answer :
It is given that the 5-digit telephone numbers always start with 67.
Therefore, there will be as many phone numbers as there are ways of filling 3 vacant  places by the digits 0 – 9, keeping in mind that the digits cannot be repeated.
The units place can be filled by any of the digits from 0 – 9, except digits 6 and 7. Therefore, the units place can be filled in 8 different ways following which, the tens place can be filled in by any of the remaining 7 digits in 7 different ways, and the hundreds place can be filled in by any of the remaining 6 digits in 6 different ways.
Therefore, by multiplication principle, the required number of ways in which 5-digit telephone numbers can be constructed is 8 × 7 × 6 = 336

Question. A coin is tossed 3 times and the outcomes are recorded. How many possible outcomes are there?
Answer :
When a coin is tossed once, the number of outcomes is 2 (Head and tail) i.e., in each throw, the number of ways of showing a different face is 2.
Thus, by multiplication principle, the required number of possible outcomes is 2 × 2 × 2 = 8

Question. Given 5 flags of different colours, how many different signals can be generated if each signal requires the use of 2 flags, one below the other?
Answer :
Each signal requires the use of 2 flags.
There will be as many flags as there are ways of filling in 2 vacant places ⊟ in succession by the given 5 flags of different colours.
The upper vacant place can be filled in 5 different ways by any one of the 5 flags following which, the lower vacant place can be filled in 4 different ways by any one of the remaining 4 different flags.
Thus, by multiplication principle, the number of different signals that can be generated is 5 × 4 = 20

Exercise 7.2

Question. Evaluate
(i) 8!
(ii) 4! – 3!

Answer :
(i) 8! = 1 × 2 × 3 × 4 × 5 × 6 × 7 × 8 = 40320
(ii) 4! = 1 × 2 × 3 × 4 = 24
3! = 1 × 2 × 3 = 6
∴ 4! – 3! = 24 – 6 = 18

Question. Is 3! + 4! = 7!?
Answer :
3! = 1 × 2 × 3 = 6
4! = 1 × 2 × 3 × 4 = 24
∴3! + 4! = 6 + 24 = 30
7! = 1 × 2 × 3 × 4 × 5 × 6 × 7 = 5040
∴ 3! + 4! ≠ 7!

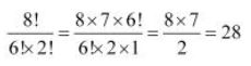
Question. Compute 8!/(6! × 2!)
Answer :

""NCERT-Solutions-Class-11-Mathematics-Chapter-7-Permutations-and-Combinations

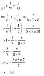
Question. If 1/6! + 1/7! = x/8! , find x. 
Answer :

""NCERT-Solutions-Class-11-Mathematics-Chapter-7-Permutations-and-Combinations-1

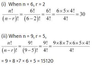
Question. Evaluate n!/(n - r)! , when  
(i) n = 6, r = 2 
(ii) n = 9, r = 5 

Answer :
""NCERT-Solutions-Class-11-Mathematics-Chapter-7-Permutations-and-Combinations-2

Exercise 7.3

Question. How many 3-digit numbers can be formed by using the digits 1 to 9 if no digit is repeated?
Answer :
3-digit numbers have to be formed using the digits 1 to 9.
Here, the order of the digits matters.
Therefore, there will be as many 3-digit numbers as there are permutations of 9 different digits taken 3 at a time.
Therefore, required number of 3-digit numbers = 9P3 = 9!/(9 – 3)! = 9!/6!
= (9×8×7×6!)/6! = 9× 8× 7 = 504

Question. How many 4-digit numbers are there with no digit repeated?
Answer :
The thousands place of the 4-digit number is to be filled with any of the digits from 1 to 9 as the digit 0 cannot be included. Therefore, the number of ways in which thousands place can be filled is 9.
The hundreds, tens, and units place can be filled by any of the digits from 0 to 9. However, the digits cannot be repeated in the 4-digit numbers and thousands place is already occupied with a digit. The hundreds, tens, and units place is to be filled by the remaining 9 digits.
Therefore, there will be as many such 3-digit numbers as there are permutations of 9 different digits taken 3 at a time.
Number of such 3-digit numbers = 9P3 = 9!/(9 – 3)! = 9!/6!
= (9×8×7×6!)/6! = 9× 8× 7 = 504 
Thus, by multiplication principle, the required number of 4 - digit numbers is 
504 × 9 = 4536

Question. How many 3-digit even numbers can be made using the digits 1, 2, 3, 4, 6, 7, if no digit is repeated?
Answer :
3-digit even numbers are to be formed using the given six digits, 1, 2, 3, 4, 6, and 7, without repeating the digits.
Then, units digits can be filled in 3 ways by any of the digits, 2, 4, or 6.
Since the digits cannot be repeated in the 3-digit numbers and units place is already occupied with a digit (which is even), the hundreds and tens place is to be filled by the remaining 5 digits.
Therefore, the number of ways in which hundreds and tens place can be filled with the remaining 5 digits is the permutation of 5 different digits taken 2 at a time.
Number of ways of filling hundreds and tens place = 5P2 = 5!/(5 – 2)! = 5!/3!
= (5×4×3!)/3! = 20 
Thus, by multiplication principle, the required number of 3 - digit numbers is 
3 × 20 = 60

Question. Find the number of 4-digit numbers that can be formed using the digits 1, 2, 3, 4, 5 if no digit is repeated. How many of these will be even?
Answer :
4-digit numbers are to be formed using the digits, 1, 2, 3, 4, and 5.
There will be as many 4-digit numbers as there are permutations of 5 different digits taken 4 at a time.
Therefore, required number of 4 digit numbers = 5P4 = 5!/(5 – 4)! = 5!/1!
= 1 × 2× 3× 4× 5 = 120.
Among the 4-digit numbers formed by using the digits, 1, 2, 3, 4, 5, even numbers end with either 2 or 4.
The number of ways in which units place is filled with digits is 2.
Since the digits are not repeated and the units place is already occupied with a digit (which is even), the remaining places are to be filled by the remaining 4 digits.
Therefore, the number of ways in which the remaining places can be filled is the permutation of 4 different digits taken 3 at a time.
Number of ways of filling the remaining places 4P3 = 4!/(4 – 3)! = 4!/1!
= 4× 3×2×1 = 24 
Thus, by multiplication principle, the required number of even numbers is 
24 × 2 = 48

Question. From a committee of 8 persons, in how many ways can we choose a chairman and a vice chairman assuming one person cannot hold more than one position?
Answer :
From a committee of 8 persons, a chairman and a vice chairman are to be chosen in such a way that one person cannot hold more than one position.
Here, the number of ways of choosing a chairman and a vice chairman is the permutation of 8 different objects taken 2 at a time.
Thus, required number of ways = 8P2 = 8!/(8 – 2)! = 8!/6!
= (8×7×6!)/6! = 8×7 = 56

Question. Find n if n – 1P3 : nP4 = 1 : 9 
Answer :

""NCERT-Solutions-Class-11-Mathematics-Chapter-7-Permutations-and-Combinations-3

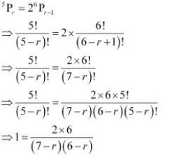
Question. Find r if:
(i) 5Pr = 26 Pr-1

(ii) 5Pr = 6 Pr-1
Answer :
(i)

""NCERT-Solutions-Class-11-Mathematics-Chapter-7-Permutations-and-Combinations-4

⇒ (7 - r)(6 - r) = 12 
⇒ 42 - 6r - 7r + r2 = 12
⇒ r2 - 13r + 30 = 0 
⇒ r2 - 3r - 10r + 30 = 0 
⇒ r(r - 3)-10(r - 3) = 0 
⇒ (r - 3)(r - 10) = 0 

⇒ (r - 3) = 0 or (r - 10) = 0 
⇒ r = 3 or r = 10 
It is known that, nPr = n!/(n – r)!, where 0 ≤ r ≤ n 
0 ≤ r ≤ 5 
Hence, r ≠ 10
r = 3 
(ii) 

""NCERT-Solutions-Class-11-Mathematics-Chapter-7-Permutations-and-Combinations-5

⇒ (7 - r)(6 - r) = 6 
⇒ 42 - 7r - 6r + r2 - 6 = 0
⇒ r2 - 13r + 36 = 0 
⇒ r2 - 4r - 9r + 36 = 0 
⇒ r(r - 4)-9(r - 4) = 0 
⇒ (r - 4)(r - 9) = 0 
⇒ (r - 4) = 0 or (r - 9) = 0 
⇒ r = 4 or r = 9
It is known that, nPr = n!/(n – r)!, where 0 ≤ r ≤ n 
0 ≤ r ≤ 5 
Hence, r ≠ 9
r = 4

Question. How many words, with or without meaning, can be formed using all the letters of the word EQUATION, using each letter exactly once?
Answer :
There are 8 different letters in the word EQUATION.
Therefore, the number of words that can be formed using all the letters of the word EQUATION, using each letter exactly once, is the number of permutations of 8 different objects taken 8 at a time, which is  8P8 = 8! . 
Thus, required number of words that can be formed = 8! = 40320

Question. How many words, with or without meaning can be made from the letters of the word MONDAY, assuming that no letter is repeated, if
(i) 4 letters are used at a time,
(ii) all letters are used at a time,
(iii) all letters are used but first letter is a vowel?

Answer :
There are 6 different letters in the word MONDAY.
(i) Number of 4-letter words that can be formed from the letters of the word MONDAY, without repetition of letters, is the number of permutations of 6 different objects taken 4 at a time, which is 6P4.
Thus, required number of words that can be formed using 4 letters at a time is 

""NCERT-Solutions-Class-11-Mathematics-Chapter-7-Permutations-and-Combinations-6

(ii) Number of words that can be formed by using all the letters of the word MONDAY at a time is the number of permutations of 6 different objects taken 6 at a time, which is 6P6 = 6! .
Thus, required number of words that can be formed when all letters are used at a time = 6! = 6 × 5 × 4 × 3 × 2 ×1 = 720
(iii) In the given word, there are 2 different vowels, which have to occupy the rightmost place of the words formed. This can be done only in 2 ways.
Since the letters cannot be repeated and the rightmost place is already occupied with a letter (which is a vowel), the remaining five places are to be filled by the remaining 5 letters. This can be done in 5! ways.
Thus, in this case, required number of words that can be formed is
5! × 2 = 120 × 2 = 240

Question. In how many of the distinct permutations of the letters in MISSISSIPPI do the four I’s not come together?
Answer :
In the given word MISSISSIPPI, I appears 4 times, S appears 4 times, P appears 2 times, and M appears just once.
Therefore, number of distinct permutations of the letters in the given word

""NCERT-Solutions-Class-11-Mathematics-Chapter-7-Permutations-and-Combinations-7

There are 4 Is in the given word. When they occur together, they are treated as a single object  for the time being. This single object together with the remaining 7 objects will account for 8 objects.
These 8 objects in which there are 4 Ss and 2 Ps can be arranged in 8!/4!2! ways i.e., 840 ways. 
Number of arrangements where all is occur together = 840 
Thus, number of distinct permutations of the letters in MISSISSIPPI in which four is do not come together = 34650 - 840 = 33810

Question. In how many ways can the letters of the word PERMUTATIONS be arranged if the
(i) words start with P and end with S,
(ii) vowels are all together,
(iii) there are always 4 letters between P and S?

Answer :
In the word PERMUTATIONS, there are 2 Ts and all the other letters appear only once.
(i) If P and S are fixed at the extreme ends (P at the left end and S at the right end), then 10 letters are left.
Hence, in this case, required number of arrangements = 10!/2! = 1814400

(ii) There are 5 vowels in the given word, each appearing only once.
Since they have to always occur together, they are treated as a single object for the time being. This single object together with the remaining 7 objects will account for 8 objects. These 8 objects in which there are 2 Ts can be arranged in 8!/2! ways. 
Corresponding to each of these arrangements, the 5 different vowels can be arranged in 5! ways. 
Therefore, by multiplication principle, required number of arrangements in this case = (8!/2!) × 5!= 2419200.

(iii) The letters have to be arranged in such a way that there are always 4 letters between P and S.
Therefore, in a way, the places of P and S are fixed. The remaining 10 letters in which there are 2 Ts can be arranged in 10!/2! ways .
Also, the letters P and S can be placed such that there are 4 letters between them in 2×7 = 14 ways
Therefore, by multiplication principle, required number of arrangements in this case = (10!/2!)×14 = 25401600

Exercise 7.4

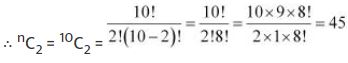
Question. If nC8 = nC2, find nC2.
Answer :
It is known that, nCa = nCb ⇒ a = b or n = a+ b
Therefore,
 nC8 = nC2 ⇒ n = 8 + 2 = 10 
∴ nC2 = 10C2 = 

""NCERT-Solutions-Class-11-Mathematics-Chapter-7-Permutations-and-Combinations-16

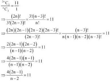
Question. Determine n if  
(i) 2nC3 = nC3 = 12 : 1 
(ii) 2nC3 = nC3 = 11 : 1 

Answer :
(i) 

""NCERT-Solutions-Class-11-Mathematics-Chapter-7-Permutations-and-Combinations-15

⇒ 2n - 1 = 3(n - 2) 
⇒ 2n - 1 = 3n - 6 
⇒ 3n - 2n = -1 + 6 
⇒ n = 5
(ii)

""NCERT-Solutions-Class-11-Mathematics-Chapter-7-Permutations-and-Combinations-14

⇒ 4(2n - 1) = 11(n - 2)
⇒ 8n - 4 = 11n - 22 
⇒ 11n - 8n = -4 + 22 
⇒ 3n = 18 
⇒ n = 6

Question. How many chords can be drawn through 21 points on a circle?
Answer :
For drawing one chord on a circle, only 2 points are required.
To know the number of chords that can be drawn through the given 21 points on a circle, the number of combinations have to be counted.
Therefore, there will be as many chords as there are combinations of 21 points taken 2 at a time.
Thus, required number of chords = 21C2 = 21!/2!(21 -2)! = 21!/2!19! = (21×20)/2 = 210

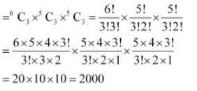
Question. In how many ways can a team of 3 boys and 3 girls be selected from 5 boys and 4 girls?
Answer :
A team of 3 boys and 3 girls is to be selected from 5 boys and 4 girls. 
3 boys can be selected from 5 boys in  5C3  ways .
3 girls can be selected from 4 girls in 4C3  ways. 
Therefore, by multiplication principle, number of ways in which a team of 3 boys and  3 girls can be selected = 5C3 × 4C3  = (5!/3!2!) × (4!/3!1!) 

""NCERT-Solutions-Class-11-Mathematics-Chapter-7-Permutations-and-Combinations-13

Question. Find the number of ways of selecting 9 balls from 6 red balls, 5 white balls and 5 blue balls if each selection consists of 3 balls of each colour.
Answer :
There are a total of 6 red balls, 5 white balls, and 5 blue balls.
9 balls have to be selected in such a way that each selection consists of 3 balls of each colour.
Here,
3 balls can be selected from 6 red balls in 6C3 ways.
3 balls can be selected from 5 white balls in 5C3 ways.
3 balls can be selected from 5 blue balls in 5C3 ways.
Thus, by multiplication principle, required number of ways of selecting 9 balls

""NCERT-Solutions-Class-11-Mathematics-Chapter-7-Permutations-and-Combinations-12

Question. Determine the number of 5 card combinations out of a deck of 52 cards if there is exactly one ace in each combination.
Answer :
In a deck of 52 cards, there are 4 aces. A combination of 5 cards have to be made in which there is exactly one ace.
Then, one ace can be selected in 4C1 ways and the remaining 4 cards can be selected out of the 48 cards in 48C4 ways.
Thus, by multiplication principle, required number of 5 card combinations 

""NCERT-Solutions-Class-11-Mathematics-Chapter-7-Permutations-and-Combinations-11

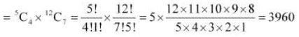
Question. In how many ways can one select a cricket team of eleven from 17 players in which only 5 players can bowl if each cricket team of 11 must include exactly 4 bowlers?
Answer :
Out of 17 players, 5 players are bowlers.
A cricket team of 11 players is to be selected in such a way that there are exactly 4 bowlers.
4 bowlers can be selected in 5C4 ways and the remaining 7 players can be selected out of the 12 players in  12C7 ways.
Thus, by multiplication principle, required number of ways of selecting cricket team 

""NCERT-Solutions-Class-11-Mathematics-Chapter-7-Permutations-and-Combinations-10

Question. A bag contains 5 black and 6 red balls. Determine the number of ways in which 2 black and 3 red balls can be selected.
Answer :
There are 5 black and 6 red balls in the bag.
2 black balls can be selected out of 5 black balls in 5C2 ways and 3 red balls can be selected out of 6 red balls in 6C3 ways.
Thus, by multiplication principle, required number of ways of selecting 2 black and 3 red balls 
""NCERT-Solutions-Class-11-Mathematics-Chapter-7-Permutations-and-Combinations-9

Question. In how many ways can a student choose a programme of 5 courses if 9 courses are available and 2 specific courses are compulsory for every student?
Answer :
There are 9 courses available out of which, 2 specific courses are compulsory for every student.
Therefore, every student has to choose 3 courses out of the remaining 7 courses. This can be chosen in 7C3 ways.
Thus, required number of ways of choosing the programme

""NCERT-Solutions-Class-11-Mathematics-Chapter-7-Permutations-and-Combinations-8

Miscellaneous Solutions

Question. How many words, with or without meaning, each of 2 vowels and 3 consonants can be formed from the letters of the word DAUGHTER?
Answer :
In the word DAUGHTER, there are 3 vowels namely, A, U, and E, and 5 consonants namely, D, G, H, T, and R.
Number of ways of selecting 2 vowels out of 3 vowels = 3C2 = 3 
Number of ways of selecting 3 consonants out of 5 consonants = 5C3 = 10  
Therefore, number of combinations of 2 vowels and 3 consonants = 3 × 10 = 30
Each of these 30 combinations of 2 vowels and 3 consonants can be arranged among themselves in 5! ways.
Hence, required number of different words = 30 × 5! = 3600

Question. How many words, with or without meaning, can be formed using all the letters of the word EQUATION at a time so that the vowels and consonants occur together?
Answer :
In the word EQUATION, there are 5 vowels, namely, A, E, I, O, and U, and 3 consonants, namely, Q, T, and N.
Since all the vowels and consonants have to occur together, both (AEIOU) and (QTN) can be assumed as single objects. Then, the permutations of these 2 objects taken all at a time are counted. This number would be 2C2 = 2! 
Corresponding to each of these permutations, there are 5! permutations of the five vowels taken all at a time and 3! permutations of the 3 consonants taken all at a time.
Hence, by multiplication principle, required number of words = 2! × 5! × 3! = 1440

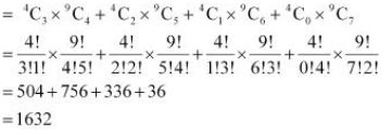
Question. A committee of 7 has to be formed from 9 boys and 4 girls. In how many ways can this be done when the committee consists of:
(i) exactly 3 girls?
(ii) atleast 3 girls?
(iii) atmost 3 girls?

Answer :
A committee of 7 has to be formed from 9 boys and 4 girls.
(i) Since exactly 3 girls are to be there in every committee, each committee must consist of (7 – 3) = 4 boys only.
Thus, in this case, required number of ways = 4C3 × 9C4 = (4!/3!1!) × (9!/4!5!) 

""NCERT-Solutions-Class-11-Mathematics-Chapter-7-Permutations-and-Combinations-18

(ii) Since at least 3 girls are to be there in every committee, the committee can consist of 
(a) 3 girls and 4 boys or (b) 4 girls and 3 boys 
3 girls and 4 boys can be selected in 4C3 × 9C4 ways. 
4 girls and 3 boys can be selected in 4C3 × 9C4 ways.  
Therefore, in this case , required number of ways = 4C3 × 9C4 + 4C3 × 9C4  
= 504 + 84 = 588 

(iii) Since at most 3 girls are to be there in every committee, the committee can consist of 
(a) 3 girls and 4 boys (b) 2 girls and 5 boys 
(c) 1 girl and 6 boys (d) No girl and 7 boys  
3 girls and 4 boys can be selected in 4C3 × 9C4 ways. 
2 girls and 5 boys can be selected in 4C2 × 9C5 ways. 
1 girl and 6 boys can be selected in 4C1 × 9C6 ways . 
No girl and 7 boys can be selected in 4C0 × 9C7 ways . 
Therefore, in this case, required number of ways . 

""NCERT-Solutions-Class-11-Mathematics-Chapter-7-Permutations-and-Combinations-19

Question. If the different permutations of all the letter of the word EXAMINATION are listed as in a dictionary, how many words are there in this list before the first word starting with E?
Answer :
In the given word EXAMINATION, there are 11 letters out of which, A, I, and N appear 2 times and all the other letters appear only once.
The words that will be listed before the words starting with E in a dictionary will be the words that start with A only.
Therefore, to get the number of words starting with A, the letter A is fixed at the extreme left position, and then the remaining 10 letters taken all at a time are rearranged.
Since there are 2 Is and 2 Ns in the remaining 10 letters,
Number of words starting with A = 10!/2!2! = 907200 
Thus, the required numbers of words is 907200.

Question. How many 6-digit numbers can be formed from the digits 0, 1, 3, 5, 7 and 9 which are divisible by 10 and no digit is repeated?
Answer :
A number is divisible by 10 if its units digits is 0.
Therefore, 0 is fixed at the units place.
Therefore, there will be as many ways as there are ways of filling 5 vacant places  in succession by the remaining 5 digits (i.e., 1, 3, 5, 7 and 9).
The 5 vacant places can be filled in 5! ways.
Hence, required number of 6-digit numbers = 5! = 120

Question. The English alphabet has 5 vowels and 21 consonants. How many words with two different vowels and 2 different consonants can be formed from the alphabet?
Answer :
2 different vowels and 2 different consonants are to be selected from the English alphabet.
Since there are 5 vowels in the English alphabet, number of ways of selecting 2 different vowels from the alphabet = 5C2 = 5!/2!3! = 10 
Since there are 21 consonants in the English alphabet, number of ways of selecting 2 different consonants from the alphabet = 21C2 = 21!/2!19! = 210
Therefore, number of combinations of 2 different vowels and 2 different consonants = 10 × 210 = 2100
Each of these 2100 combinations has 4 letters, which can be arranged among themselves in 4! ways.
Therefore, required number of words = 2100 × 4! = 50400

Question. In an examination, a question paper consists of 12 questions divided into two parts i.e., Part I and Part II, containing 5 and 7 questions, respectively. A student is required to attempt 8 questions in all, selecting at least 3 from each part. In how many ways can a student select the questions?
Answer :
It is given that the question paper consists of 12 questions divided into two parts – Part I and Part II, containing 5 and 7 questions, respectively.
A student has to attempt 8 questions, selecting at least 3 from each part.
This can be done as follows.
(a) 3 questions from part I and 5 questions from part II
(b) 4 questions from part I and 4 questions from part II
(c) 5 questions from part I and 3 questions from part II
3 questions from part I and 5 questions from part II can be selected in 5C3 × 7C5 ways.
4 questions from part I and 4 questions from part II can be selected in 5C4 × 7C4 ways.
5 questions from part I and 3 questions from part II can be selected in 5C5 × 7C3 ways.
Thus, required number of ways of selecting questions

""NCERT-Solutions-Class-11-Mathematics-Chapter-7-Permutations-and-Combinations-17

Question. Determine the number of 5-card combinations out of a deck of 52 cards if each selection of 5 cards has exactly one king.
Answer :
From a deck of 52 cards, 5-card combinations have to be made in such a way that in each selection of 5 cards, there is exactly one king.
In a deck of 52 cards, there are 4 kings.
1 king can be selected out of 4 kings in 4C1 ways.
4 cards out of the remaining 48 cards can be selected in 48C4 ways.
Thus, the required number of 5-card combinations is 4C1 × 48C4.

Question. It is required to seat 5 men and 4 women in a row so that the women occupy the even places. How many such arrangements are possible?
Answer :
5 men and 4 women are to be seated in a row such that the women occupy the even places.
The 5 men can be seated in 5! ways. For each arrangement, the 4 women can be seated only at the cross marked places (so that women occupy the even places).
M× M× M×M×M
Therefore, the women can be seated in 4! ways.
Thus, possible number of arrangements = 4! × 5! = 24 × 120 = 2880

Question. From a class of 25 students, 10 are to be chosen for an excursion party. There are 3 students who decide that either all of them will join or none of them will join. In how many ways can the excursion party be chosen?
Answer :
From the class of 25 students, 10 are to be chosen for an excursion party.
Since there are 3 students who decide that either all of them will join or none of them will join, there are two cases.
Case I: All the three students join.
Then, the remaining 7 students can be chosen from the remaining 22 students in 22C7 ways.
Case II: None of the three students join.
Then, 10 students can be chosen from the remaining 22 students in 22C10 ways.
Thus, required number of ways of choosing the excursion party is 22C7 + 22C10.

Question. In how many ways can the letters of the word ASSASSINATION be arranged so that all the S’s are together?
Answer :
In the given word ASSASSINATION, the letter A appears 3 times, S appears 4 times, I appears 2 times, N appears 2 times, and all the other letters appear only once.
Since all the words have to be arranged in such a way that all the Ss are together, SSSS is treated as a single object for the time being. This single object together with the remaining 9 objects will account for 10 objects.
These 10 objects in which there are 3 As, 2 Is, and 2 Ns can be arranged in 10!/3!2!2! ways. 
Thus, required number of ways of arranging the letters of the given word 
= 10!/3!2!2! = 151200

NCERT Solutions Class 11 Mathematics Chapter 6 Permutations and Combinations

Students can now access the NCERT Solutions for Chapter 6 Permutations and Combinations prepared by teachers on our website. These solutions cover all questions in exercise in your Class 11 Mathematics textbook. Each answer is updated based on the current academic session as per the latest NCERT syllabus.

Detailed Explanations for Chapter 6 Permutations and Combinations

Our expert teachers have provided step-by-step explanations for all the difficult questions in the Class 11 Mathematics chapter. Along with the final answers, we have also explained the concept behind it to help you build stronger understanding of each topic. This will be really helpful for Class 11 students who want to understand both theoretical and practical questions. By studying these NCERT Questions and Answers your basic concepts will improve a lot.

Benefits of using Mathematics Class 11 Solved Papers

Using our Mathematics solutions regularly students will be able to improve their logical thinking and problem-solving speed. These Class 11 solutions are a guide for self-study and homework assistance. Along with the chapter-wise solutions, you should also refer to our Revision Notes and Sample Papers for Chapter 6 Permutations and Combinations to get a complete preparation experience.

Where can I find the latest [current-page:node:field_title] for the 2025-26 session?

The complete and updated is available for free on StudiesToday.com. These solutions for Class 11 Mathematics are as per latest NCERT curriculum.

Are the Mathematics NCERT solutions for Class 11 updated for the new 50% competency-based exam pattern?

Yes, our experts have revised the as per 2026 exam pattern. All textbook exercises have been solved and have added explanation about how the Mathematics concepts are applied in case-study and assertion-reasoning questions.

How do these Class 11 NCERT solutions help in scoring 90% plus marks?

Toppers recommend using NCERT language because NCERT marking schemes are strictly based on textbook definitions. Our will help students to get full marks in the theory paper.

Do you offer [current-page:node:field_title] in multiple languages like Hindi and English?

Yes, we provide bilingual support for Class 11 Mathematics. You can access in both English and Hindi medium.

Is it possible to download the Mathematics NCERT solutions for Class 11 as a PDF?

Yes, you can download the entire in printable PDF format for offline study on any device.