NCERT Solutions Class 12 Mathematics Chapter 4 Determinants

Get the most accurate NCERT Solutions for Class 12 Mathematics Chapter 4 Determinants here. Updated for the 2025-26 academic session, these solutions are based on the latest NCERT textbooks for Class 12 Mathematics. Our expert-created answers for Class 12 Mathematics are available for free download in PDF format.

Detailed Chapter 4 Determinants NCERT Solutions for Class 12 Mathematics

For Class 12 students, solving NCERT textbook questions is the most effective way to build a strong conceptual foundation. Our Class 12 Mathematics solutions follow a detailed, step-by-step approach to ensure you understand the logic behind every answer. Practicing these Chapter 4 Determinants solutions will improve your exam performance.

Class 12 Mathematics Chapter 4 Determinants NCERT Solutions PDF

Exercise 4.1

1. Evaluate the determinants in Exercises 1 and 2.

""NCERT-Solutions-Class-12-Mathematics-Chapter-4-Determinants

Solution

""NCERT-Solutions-Class-12-Mathematics-Chapter-4-Determinants-1

2. Evaluate the determinants in Exercises 1 and 2. 

""NCERT-Solutions-Class-12-Mathematics-Chapter-4-Determinants-2

Solution

""NCERT-Solutions-Class-12-Mathematics-Chapter-4-Determinants-3

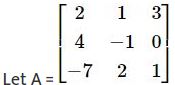
3. If A

""NCERT-Solutions-Class-12-Mathematics-Chapter-4-Determinants-4

Solution

""NCERT-Solutions-Class-12-Mathematics-Chapter-4-Determinants-5

4. If A

""NCERT-Solutions-Class-12-Mathematics-Chapter-4-Determinants-6

Solution

""NCERT-Solutions-Class-12-Mathematics-Chapter-4-Determinants-7

5. Evaluate the determinants 

""NCERT-Solutions-Class-12-Mathematics-Chapter-4-Determinants-8

Solution

""NCERT-Solutions-Class-12-Mathematics-Chapter-4-Determinants-9

""NCERT-Solutions-Class-12-Mathematics-Chapter-4-Determinants-10

6. If A

""NCERT-Solutions-Class-12-Mathematics-Chapter-4-Determinants-11

Solution

""NCERT-Solutions-Class-12-Mathematics-Chapter-4-Determinants-12

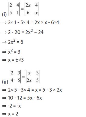
7. Find values of x, if 

""NCERT-Solutions-Class-12-Mathematics-Chapter-4-Determinants-13

Solution

""NCERT-Solutions-Class-12-Mathematics-Chapter-4-Determinants-14

8. If

""NCERT-Solutions-Class-12-Mathematics-Chapter-4-Determinants-15

(A) 6
(B) ± 6
(C) -6
(D) 0 
Solution

""NCERT-Solutions-Class-12-Mathematics-Chapter-4-Determinants-16

⇒ x2 - 36 = 36 - 36 
⇒ x2 - 36 = 0 
⇒ x2 = 36 
⇒ x = ± 6 
Hence, the correct answer is B.

Exercise 4.2

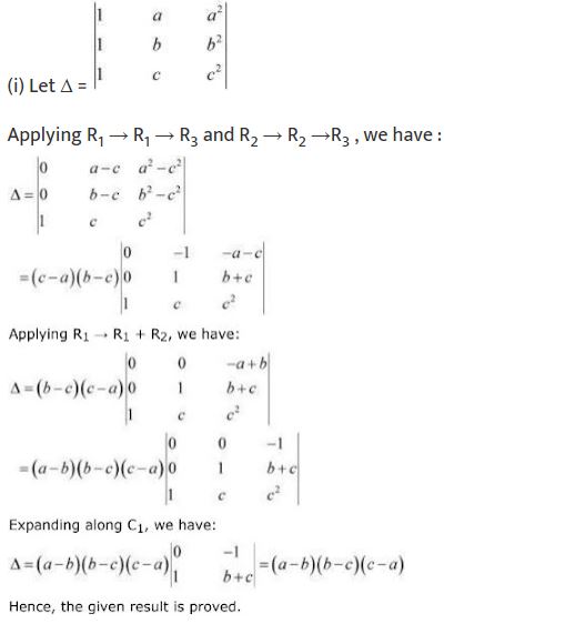
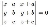
1. Using the property of determinants and without expanding,  prove that : 

""NCERT-Solutions-Class-12-Mathematics-Chapter-4-Determinants-17

Solution

""NCERT-Solutions-Class-12-Mathematics-Chapter-4-Determinants-18

2. Using the property of determinants and without expanding, prove that : 

""NCERT-Solutions-Class-12-Mathematics-Chapter-4-Determinants-19

Solution

""NCERT-Solutions-Class-12-Mathematics-Chapter-4-Determinants-20

3. Using the property of determinants and without expanding, prove that : 

""NCERT-Solutions-Class-12-Mathematics-Chapter-4-Determinants-21

Solution

""NCERT-Solutions-Class-12-Mathematics-Chapter-4-Determinants-22

4. Using the property of determinants and without expanding, prove that : 

""NCERT-Solutions-Class-12-Mathematics-Chapter-4-Determinants-23

Solution

""NCERT-Solutions-Class-12-Mathematics-Chapter-4-Determinants-24

5. Using the property of determinants and without expanding, prove that : 

""NCERT-Solutions-Class-12-Mathematics-Chapter-4-Determinants-25

Solution

""NCERT-Solutions-Class-12-Mathematics-Chapter-4-Determinants-26

""NCERT-Solutions-Class-12-Mathematics-Chapter-4-Determinants-27

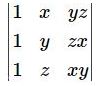
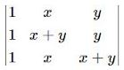
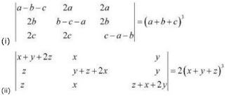
6. By using properties of determinants, show that: 

""NCERT-Solutions-Class-12-Mathematics-Chapter-4-Determinants-28

Solution 

We have, 

""NCERT-Solutions-Class-12-Mathematics-Chapter-4-Determinants-29

7. By using properties of determinants, show that : 

""NCERT-Solutions-Class-12-Mathematics-Chapter-4-Determinants-30

Solution

""NCERT-Solutions-Class-12-Mathematics-Chapter-4-Determinants-31

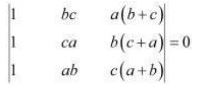
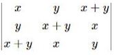
8. By using properties of determinants, show that : 

""NCERT-Solutions-Class-12-Mathematics-Chapter-4-Determinants-32

Solution

""NCERT-Solutions-Class-12-Mathematics-Chapter-4-Determinants-33

""NCERT-Solutions-Class-12-Mathematics-Chapter-4-Determinants-34

= (a - b)(b - c)(c - a)(a + b + c)
Hence, the given result is proved. 

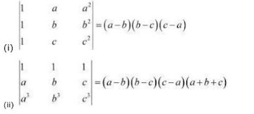
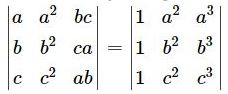
9. By using properties of determinants, show that : 

""NCERT-Solutions-Class-12-Mathematics-Chapter-4-Determinants-35

Solution

""NCERT-Solutions-Class-12-Mathematics-Chapter-4-Determinants-36

= (x - y)(z - x)(z- y)[(-xz - yz) + (-x2 – xy + x2 )]
= -(x - y)(z -x)(z - y)(xy + yz + zx)
= (x - y)(y - z)(z - x)(xy + yz + zx)
Hence, the given result is proved.

10. By using properties of determinants, show that : 

""NCERT-Solutions-Class-12-Mathematics-Chapter-4-Determinants-37

Solution

""NCERT-Solutions-Class-12-Mathematics-Chapter-4-Determinants-38

""NCERT-Solutions-Class-12-Mathematics-Chapter-4-Determinants-39

11. By using properties of determinants, show that : 

""NCERT-Solutions-Class-12-Mathematics-Chapter-4-Determinants-40

Solution

""NCERT-Solutions-Class-12-Mathematics-Chapter-4-Determinants-41

""NCERT-Solutions-Class-12-Mathematics-Chapter-4-Determinants-42

Hance, the guven result is proved

12. By using properties of determinants show that : 

""NCERT-Solutions-Class-12-Mathematics-Chapter-4-Determinants-43

Solution

""NCERT-Solutions-Class-12-Mathematics-Chapter-4-Determinants-44

""NCERT-Solutions-Class-12-Mathematics-Chapter-4-Determinants-45

Hance, the guven result is proved

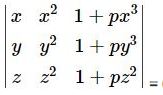
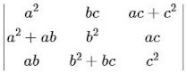
13. By using properties of determinants show that : 

""NCERT-Solutions-Class-12-Mathematics-Chapter-4-Determinants-46

Solution 

""NCERT-Solutions-Class-12-Mathematics-Chapter-4-Determinants-47

14. By using properties of determinants show that : 

""NCERT-Solutions-Class-12-Mathematics-Chapter-4-Determinants-48

Solution

""NCERT-Solutions-Class-12-Mathematics-Chapter-4-Determinants-49

15. Let A be a square matrix of order 3 × 3, then | kA| is equal to
(A) k|A|
(B) k2 | A |
(C) k3 | A |
(D) 3k | A |

Solution

""NCERT-Solutions-Class-12-Mathematics-Chapter-4-Determinants-50

6. Which of the following is correct?
(A) Determinant is a square matrix.
(B) Determinant is a number associated to a matrix.
(C) Determinant is a number associated to a square matrix.
(D) None of the above.
Solution

We know that to every square matrix, A = [aij] of order n , we can associate a number called the determinant of square matrix A, where aij = (i, j)th element of A. Thus, the determinant is a number associated to a square matrix. Hence, the correct option is C.

Exercise 4.3

1. Find area of the triangle with vertices at the point given in each of the following : 
(i) (1, 0) , (6, 0) , (4, 3) 
(ii) (2, 7), (1, 1) , (10 , 8) 
(iii) (-2, -3), (3, 2) , (-1, -8) 
Solution

(i) The area of the triangle with vertices (1, 0),  (6, 0), (4, 3) is given by the relation,  

""NCERT-Solutions-Class-12-Mathematics-Chapter-4-Determinants-51

= (1/2)[-2(2 + 8) + 3(3 + 1) + 1(-24 + 2)] 
= (1/2)[-2(10) + 3(4) + 1(-22)] 
= (1/2)[-20 + 12 - 22] 
= (1/2) [-30]
= -30/2 = -15 
Hence, area of the triangle is 15 square units.

2. Show that the points A(a, b + c), B(b, c + a), C(c, a +  b) are collinear. 
Solution

The area of the triangle with vertices A(a, b + c), B(b, c + a), C(c, a +  b) is given by the absolute value of the relation : 

""NCERT-Solutions-Class-12-Mathematics-Chapter-4-Determinants-52

Thus, the area of the triangle formed by points A, B, and C is zero. 
Hence, the points A, B and C are collinear.

3. Find values of k if area of triangle is 4 square units and vertices are : 
(i) (k, 0),(4, 0), (0, 2) 
(ii) (-2, 0), (0, 4), (0, k) 
Solution

We know that the area of a triangle whose vertices are (x1 , y1), (x2 , y­2) and (x3 , y3 ) is the absolute value of the determinant (Δ), where 

""NCERT-Solutions-Class-12-Mathematics-Chapter-4-Determinants-53

= (1/2) [-2(4 - k)
= k - 4 
∴  k - 4 = ± 4
When k - 4 = - 4 , k = 0 
When k - 4 = 4, k = 8 
Hence, k = 0, 8

4. (i) Find equation of line joining (1, 2) and (3, 6) using determinants. 
(ii) Find equation of line joining (3, 1) and (9, 3) using determinants. 
Solution

(i) Let P(x, y) be any point on the line joining points A(1, 2) and B(3, 6). Then, the points A, B, and P are collinear. Therefore, the area of triangle ABP will be zero. 

""NCERT-Solutions-Class-12-Mathematics-Chapter-4-Determinants-54

⇒ 1/2 [ 1(6 - y) - 2(3 - x) + 1(3y - 6x)] = 0 
⇒ 6 - y - 6 + 2x + 3y - 6x = 0 
⇒ 2y - 4x = 0 
⇒ y = 2x 
Hence, the equation of the line joining the given points is y = 2x.

(ii) Let P (x, y) be any point on the line joining points A(3, 1) and B(9, 3). Then, the points A, B, and P are collinear. Therefore, the area of triangle ABP will be zero. 

""NCERT-Solutions-Class-12-Mathematics-Chapter-4-Determinants-55

⇒ 1/2 [3(3 - y) - 1(9 - x) + 1(9y - 3x)] = 0 
⇒ 9 - 3y - 9 + x + 9y - 3x = 0 
⇒ 6y - 2x = 0 
⇒ x - 3y = 0 
Hence, the equation of the line joining the given points is x - 3y = 0.

5. If area of triangle is 35 square units with vertices (2, −6), (5, 4), and (k, 4). Then k is
(A) 12
(B) −2
(C) −12, −2
(D) 12, −2
Solution

The area of the triangle with vertices (2, -6), (5, 4), and (k, 4) is given by the relation , 

""NCERT-Solutions-Class-12-Mathematics-Chapter-4-Determinants-56

= 1/2 [2(4 - 4) + 6(5 - k) + 1(20 -4k)] 
= 1/2 [30 - 6k + 20 - 4k ] 
= 1/2 [50 - 10k] 
= 25 - 5k
It is given that the area of the triangle is ± 35. 
Therefore, we have :
⇒ 25 - 5k = ± 35 
⇒ 5(5 - k) = ± 35
⇒ 5 - k = ± 7
When 5 - k = - 7 , k = 5 + 7 = 12
When 5 - k = 7 , k = 5 - 7 = - 2
Hence, k = 12. -2. 
The correct answer is D.

Exercise 4.4

1. Write Minors and Cofactors of the elements of following determinants : 

""NCERT-Solutions-Class-12-Mathematics-Chapter-4-Determinants-57

Solution
(i) The given determinant is

""NCERT-Solutions-Class-12-Mathematics-Chapter-4-Determinants-58

Minor of aij is Mij .
M11 = minor of element a11 = 3
M12 = minor of element a12 = 0 
M21 = minor of element a21 = -4
M22 = minor of element a22 = 2 
Cofactor of aij is Aij = (-1)i+j  Mij .
∴ A11 = (-1)1+1 M11 = (-1)2 (3) = 3 
A12 = (-1)1+2 M12 = (-1)3 (0) = 0
A21 = (-1)2+1 M21 = (-1)3 (-4) = 4
A22 = (-1)2+2 M22 = (-1)4 (2) = 2

(ii) The given determinant is

""NCERT-Solutions-Class-12-Mathematics-Chapter-4-Determinants-59

Minor of element aij is Mij . 
∴ M11 = minor of element a11 = d
M12 = minor of element a12 = b
M21 = minor of element a21 = c
M22 = minor of element a22 = a
Cofactor of aij is Aij = (-1)i+j  Mij .
∴ A11 = (-1)1+1 M11 = (-1)2 (d) = d
A12 = (-1)1+2 M12 = (-1)3 (b) = -b
A21 = (-1)2+1 M21 = (-1)3 (c) = -c
A22 = (-1)2+2 M22 = (-1)4 (a) = a

2. Write Minors and Cofactors of the elements of following determinants: 

""NCERT-Solutions-Class-12-Mathematics-Chapter-4-Determinants-60

Solution

""NCERT-Solutions-Class-12-Mathematics-Chapter-4-Determinants-61

A11 = cofactor of a11 = (-1)1+1 M11 = 1
A12 = cofactor of a12 = (-1)1+2 M12 = 0
A13 = cofactor of a13 = (-1)1+3 M13 = 0
A21 = cofactor of a21 = (-1)2+1 M21 = 0
A22 = cofactor of a22 = (-1)2+2 M22 = 1
A23 = cofactor of a23 = (-1)2+3 M23 = 0
A31 = cofactor of a31 = (-1)3+1 M31 = 0
A32 = cofactor of a32 = (-1)3+2 M32 = 0
A33 = cofactor of a33 = (-1)3+3 M33 = 1

""NCERT-Solutions-Class-12-Mathematics-Chapter-4-Determinants-62

A11 = cofactor of a11 = (-1)1+1 M11 = 11
A12 = cofactor of a12 = (-1)1+2 M12 = -6
A13 = cofactor of a13 = (-1)1+3 M13 = 3
A21 = cofactor of a21 = (-1)2+1 M21 = 4
A22 = cofactor of a22 = (-1)2+2 M22 = 2
A23 = cofactor of a23 = (-1)2+3 M23 = -1
A31 = cofactor of a31 = (-1)3+1 M31 = -20
A32 = cofactor of a32 = (-1)3+2 M32 = 13
A33 = cofactor of a33 = (-1)3+3 M33 = 5

3. Using Cofactors of elements of second row, evaluate Δ =

""NCERT-Solutions-Class-12-Mathematics-Chapter-4-Determinants-63

Solution

""NCERT-Solutions-Class-12-Mathematics-Chapter-4-Determinants-64

A23 = cofactor of a23 = (-1)2+3 M23 = -7
We know that ∆ is equal to the sum of the product of the elements of the second row with their corresponding cofactors.
Δ = a21 A21 + a22 A22 + a23 A23 = 2(7) + 0(7) + 1(-7) = 14 - 7 = 7

4. sing Cofactors of elements of third column, evaluate Δ =

""NCERT-Solutions-Class-12-Mathematics-Chapter-4-Determinants-65

Solution

""NCERT-Solutions-Class-12-Mathematics-Chapter-4-Determinants-66

A13 = cofactor of a13 = (-1)1+3 M13 = (z- y)
A23 = cofactor of a23 = (-1)2+3 M23 = -(z - x) = (x - z) 
A33 = cofactor of a33 = (-1)3+3 M33 = (y - x)
We know that Δ is equal to the sum of the product of the elements of the second row with their corresponding cofactors. 
∴ Δ = a21 A21 + a22 A22 + a23 A23 
= yz(z - y) + zx(x - z) + xy(y - x) 
= yz2 - y2 z  +x2 z - xz2 + xy2 - x2 y
= (x2 z - y2 z) + (yz2 - xz2 ) + (xy2 - x2 y)
= z(x2  - y2 ) + z2 (y -x) + xy(y -x)
= z(x - y)(x + y) + z2 (y -x) + xy(y - x) 
= (x - y)[zx - zy - z2 - xy]
= (x - y) [z(x -z) + y(z - x)] 
= (x - y) (z - x)[-z + y]
= (x - y)(y - z)(z - x)
Hence, Δ = (x - y)(y - z)(z - x) .

5. If ∆ = 

""NCERT-Solutions-Class-12-Mathematics-Chapter-4-Determinants-67

and Aij  is Cofactors of aij , then value of Δ is given by
(A) a11 A31+ a12 A32 + a13 A33
(B) a11 A11+ a12 A21 + a13 A31
(C) a21 A11+ a22 A12 + a23 A13
(D) a11 A11+ a21 A21 + a31 A31

Solution 
We know that :
∆ = Sum of the product of the elements of a column (or a row) with their corresponding cofactors
∆ = a21 A21 + a22 A22 + a23 A23
Hence, the value of Δ is given by the expression given in alternative D.
The correct answer is D.

Exercise 4.5

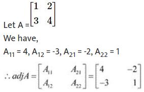
1. Find the adjoint of the matrix

""NCERT-Solutions-Class-12-Mathematics-Chapter-4-Determinants-68

Solution

""NCERT-Solutions-Class-12-Mathematics-Chapter-4-Determinants-69

2. Find adjoint of each of the matrices.

""NCERT-Solutions-Class-12-Mathematics-Chapter-4-Determinants-70

Solution

""NCERT-Solutions-Class-12-Mathematics-Chapter-4-Determinants-71

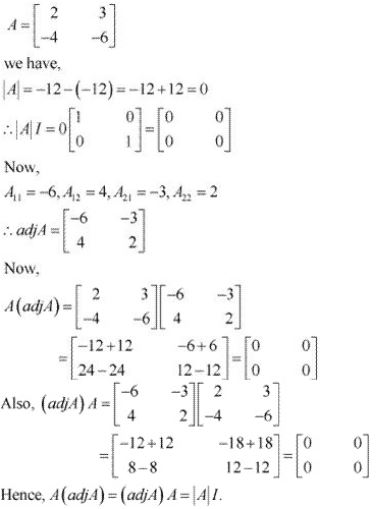
3. Verify A (adj A) = (adj A) A = |A|

""NCERT-Solutions-Class-12-Mathematics-Chapter-4-Determinants-72

Solution

""NCERT-Solutions-Class-12-Mathematics-Chapter-4-Determinants-73

4. Verify A (adj A) = (adj A) A = |A|

""NCERT-Solutions-Class-12-Mathematics-Chapter-4-Determinants-74

Solution

""NCERT-Solutions-Class-12-Mathematics-Chapter-4-Determinants-75

""NCERT-Solutions-Class-12-Mathematics-Chapter-4-Determinants-76

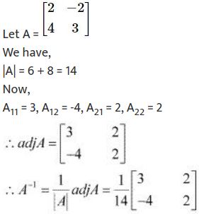
5. Find the inverse of each of the matrices (if it exists). 

""NCERT-Solutions-Class-12-Mathematics-Chapter-4-Determinants-77

Solution

""NCERT-Solutions-Class-12-Mathematics-Chapter-4-Determinants-78

6. Find the inverse of each of the matrices (if it exists). 

""NCERT-Solutions-Class-12-Mathematics-Chapter-4-Determinants-79

Solution

""NCERT-Solutions-Class-12-Mathematics-Chapter-4-Determinants-80

7. Find the inverse of each of the matrices (if it exists). 

Solution

""NCERT-Solutions-Class-12-Mathematics-Chapter-4-Determinants-82

We have,  
|A| = 1(10 - 0) - 2(0 - 0) + 3(0 - 0) = 10 
Now, 
A11 = 10 - 0 = 10 , A12 = -(0 - 0) = 0, A13 = 0 - 0 = 0,
A21 = -(10 - 0) = -10, A22 = 5 - 0 = 5, A23 = -(0 - 0) = 0 
A31 = 8 - 6= 2 , A32 = -(4 - 0) = -4, A33 = 2 - 0 = 2 

""NCERT-Solutions-Class-12-Mathematics-Chapter-4-Determinants-83

8. Find the inverse of each of the matrix (if it exists). 

""NCERT-Solutions-Class-12-Mathematics-Chapter-4-Determinants-85

Solution

""NCERT-Solutions-Class-12-Mathematics-Chapter-4-Determinants-84

9. Find the inverse of each of the matrices (if it exists). 

""NCERT-Solutions-Class-12-Mathematics-Chapter-4-Determinants-86

Solution

""NCERT-Solutions-Class-12-Mathematics-Chapter-4-Determinants-87

We have, 
|A| = 2(-1 - 0) - 1(4 - 0) + 3(8 - 7) 
= 2(-1) - 1(4) + 3(1)
= -2 - 4 + 3
= - 3 
Now, 
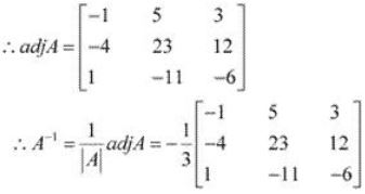
A11 = -1 - 0 = -1 , A12 = -(4 - 0) = -4, A13 = 8 - 7 = 1
A21 = -(1 - 6) = 5, A22 = 2 + 21 = 23, A23 = -(4 + 7) = -11 
A31 = 0 - 3 = 3 , A32 = -(0 - 12) = 12, A33 = -2 - 4 = -6

""NCERT-Solutions-Class-12-Mathematics-Chapter-4-Determinants-88

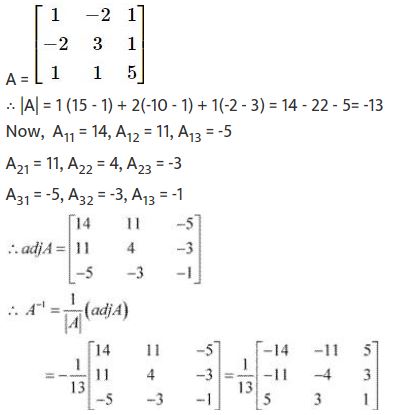
10. Find the inverse of each of the matrices (if it exists). 

""NCERT-Solutions-Class-12-Mathematics-Chapter-4-Determinants-89

Solution

""NCERT-Solutions-Class-12-Mathematics-Chapter-4-Determinants-90

11. Find the inverse of each of the matrices (if it exists). 

""NCERT-Solutions-Class-12-Mathematics-Chapter-4-Determinants-91

Solution

""NCERT-Solutions-Class-12-Mathematics-Chapter-4-Determinants-92

12. Let A =

""NCERT-Solutions-Class-12-Mathematics-Chapter-4-Determinants-93

Solution

""NCERT-Solutions-Class-12-Mathematics-Chapter-4-Determinants-94

""NCERT-Solutions-Class-12-Mathematics-Chapter-4-Determinants-95

From (1) and (2), we have : 
(AB)-1 = B-1 A-1 
Hence, the given result is proved.

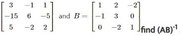
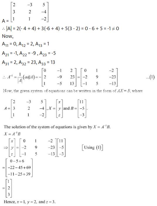
13. If A =

""NCERT-Solutions-Class-12-Mathematics-Chapter-4-Determinants-96

Solution

Hence, A2 - 5A + 7I = 0.
∴ A . A - 5A = -7I
⇒ A.A(A-1 ) - 5AA-1 = -7IA-1 [Post-multiplying by A-1 as  |A| ≠ 0]
⇒ A(AA-1 ) - 5I = -7A-1 
⇒ AI -5I = -7A-1 
⇒ A-1 = - (1/7)[A - 5I]
⇒ A-1 = (1/7)[5I - A] 

""NCERT-Solutions-Class-12-Mathematics-Chapter-4-Determinants-98

14. For the matrix A = 

find the numbers a and b such that A2  + aA + bI = 0. 
Solution

""NCERT-Solutions-Class-12-Mathematics-Chapter-4-Determinants-100

15. For the matrix A =

""NCERT-Solutions-Class-12-Mathematics-Chapter-4-Determinants-101

show that A3 - 6A2 + 5A + 11I = 0 . Hence, find A-1 . 
Solution

""NCERT-Solutions-Class-12-Mathematics-Chapter-4-Determinants-102

A3 - 6A2 + 5A + 11I = 0 
⇒ (AAA)A-1  - 6(AA)A-3 + 5AA-1 + 11IA-1  = 0  [Post-multiplying by A-1 as  |A| ≠ 0]
⇒ AA(AA-1 ) - 6A(AA-1 ) + 5(AA-1 ) = 11(IA-1)
⇒ A2 - 6A + 5I = -11A-1   
⇒ A + aI = -bA-1 
⇒ A-1 = -(1/11)[A2 - 6A + 5I]  ...(1)
Now, 
A2 - 6A + 5I 

""NCERT-Solutions-Class-12-Mathematics-Chapter-4-Determinants-103

16. If A = 

""NCERT-Solutions-Class-12-Mathematics-Chapter-4-Determinants-104

verify that A3 - 6A2 + 9A - 4I = 0 and hence find A-1.
Solution

""NCERT-Solutions-Class-12-Mathematics-Chapter-4-Determinants-105

∴ A3 - 6A2 + 9A + 4I = 0 
Now, 
A3 - 6A2 + 9A + 4I = 0 
⇒ (AAA)A-1  - 6(AA)A-3 + 9AA-1 + 4IA-1  = 0   [Post-multiplying by A-1 as  |A| ≠ 0]
⇒ AA(AA-1 ) - 6A(AA-1 ) + 9(AA-1 ) = 4(IA-1  )
⇒ AAI - 6AI + 9I = 4A-1 
⇒ A2 - 6A + 9I = 4A-1   
⇒ A + aI = -bA-1 
⇒ A-1 = (1/4)[A2 - 6A + 9I]  ...(1)
A2 - 6A + 9I 

""NCERT-Solutions-Class-12-Mathematics-Chapter-4-Determinants-106

17. Let A be a nonsingular square matrix of order 3 × 3. Then |adj A| is equal to
(A) |A |
(B) |A|2
(C) |A|3
(D) 3|A|
Solution

We know that, 

""NCERT-Solutions-Class-12-Mathematics-Chapter-4-Determinants-107

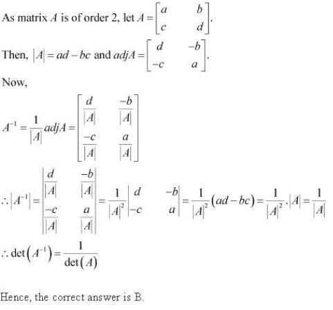
18. If A is an invertible matrix of order 2, then det (A−1) is equal to
(A) det (A)
(B) 1/det (A)
(C) 1
(D) 0
Solution

Since A is an invertible matrix, A-1 exists and A-1 = (1/|A|) adj A. 

""NCERT-Solutions-Class-12-Mathematics-Chapter-4-Determinants-108

Exercise 4.6

 

1. Examine the consistency of the system of equations.
+ 2= 2
2x + 3= 3
Solution

The given system of equation is : 
x + 2y = 2 
2x + 3y = 3 
The given system of equations can be written in the form of AX = B, where 

""NCERT-Solutions-Class-12-Mathematics-Chapter-4-Determinants-128

Now, 
|A| = 1(3) - 2(2) = 3 - 4 = -1 ≠ 0 
∴ A is non - singular. 
Therefore, A-1 exists.
Hence, the given system of equations is consistent.

2. Examine the consistency of the system of equations.
2− y = 5
x + = 4
Solution

The given system of equations is : 
2x - y = 5 
x + y = 4 
The given system of equations can be written in the form of AX = B, where 

""NCERT-Solutions-Class-12-Mathematics-Chapter-4-Determinants-129

Now, 
|A| = 2|1| - (-1)(1) = 2 + 1 = 3 ≠ 0 
∴ A is non - singular. 
Therefore, A-1 exists. 
Hence, the given system of equations is consistent.

3. Examine the consistency of the system of equations.
x + 3y = 5
2x + 6y = 8
Solution

The given system of equations is : 
x + 3y = 5 
2x + 6y = 8 
The given system of equations can be written in the form of AX = B, where 

""NCERT-Solutions-Class-12-Mathematics-Chapter-4-Determinants-127

Thus, the solution of the given system of equations does not exist. Hence, the system of equations is inconsistent.

4. Examine the consistency of the system of equations.
x + y z = 1
2x + 3y + 2z = 2
ax + ay + 2az = 4
Solution

The given system of equations is : 
x + y + z = 1 
2x + 3y + 2z = 2 
ax + ay + 2az = 4 
This system of equations can be written in the form AX = B, where 

""NCERT-Solutions-Class-12-Mathematics-Chapter-4-Determinants-126

Now,  
|A| = 1(6a - 2a) - 1(4a - 2a) + 1(2a - 3a)
= 4a - 2a - a = 4a - 3a = a ≠ 0 
∴ A is non - singular. 
Therefore, A-1 exists. 
Hence, the given system of equations is consistent.

5. Examine the consistency of the system of equations.
3x − y − 2z = 2
2y − z = −1
3x − 5y = 3
Solution
 
The given system of equations is : 
3x - y - 2z = 2 
2y - z = - 1 
3x - 5y = 3 
This system of equations can be written in the form of AX = B, where 

""NCERT-Solutions-Class-12-Mathematics-Chapter-4-Determinants-125

Thus, the solution of the given system of equations does not exist. Hence, the system of equations is inconsistent.

6. Examine the consistency of the system of equations.
5x − y + 4z = 5
2x + 3y + 5z = 2
5x − 2y + 6z = −1
Solution

The given system of equations is : 
5x − y + 4z = 5
2x + 3y + 5z = 2
5x − 2y + 6z = −1
This system of equations can be written in the form of AX = B, where 

""NCERT-Solutions-Class-12-Mathematics-Chapter-4-Determinants-124

Now, 
|A| = 5(18 + 10) + 1(12 - 25) + 4(- 4 - 15) 
= 5(28) + 1(-13) + 4(-19)
= 140 - 13 - 76 
= 51 ≠ 0 
A is non  - singular. 
Therefore, A-1 exists. 
Hence, the given system of equations is consistent.

7. Solve system of linear equations, using matrix method.
5x + 2y = 4
7x + 3y = 5
Solution

The given system of equations can be written in the form of AX = B, where 

""NCERT-Solutions-Class-12-Mathematics-Chapter-4-Determinants-123

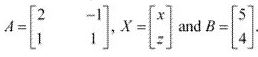
8. Solve system of linear equations, using matrix method.
2x – y = –2
3x + 4y = 3
Solution

The given system of equations can be written in the form of AX = B, where 

""NCERT-Solutions-Class-12-Mathematics-Chapter-4-Determinants-122

9. Solve system of linear equations, using matrix method.
4x – 3y = 3
3x – 5y = 7
Solution

The given system of equation can be written in the form of AX = B, where 

""NCERT-Solutions-Class-12-Mathematics-Chapter-4-Determinants-121

10.Solve system of linear equations, using matrix method.
5x + 2y = 3

3x + 2y = 5
Solution
The given system of equations can be written in the form of AX = B, where

""NCERT-Solutions-Class-12-Mathematics-Chapter-4-Determinants-120

11. Solve system of linear equations, using matrix method.
2x + y + z = 1
x – 2y – z = 3/2
3y – 5z = 9
Solution

The given system of equations can be written in the form of AX = B, where 

""NCERT-Solutions-Class-12-Mathematics-Chapter-4-Determinants-118

Now, 
|A| = 2(10 + 3) - 1(-5 - 3) + 0 = 2(13) - 1(-8) = 26 + 8 = 34 ≠ 0 
Thus, A is non - singular. Therefore, its inverse exists. 
Now,
A11 = 13, A12 = 5, A13 = 3
A21 = 8, A22 = -10 , A23 = -6
A31 = 1, A32 = 3, A33 = -5

""NCERT-Solutions-Class-12-Mathematics-Chapter-4-Determinants-119

12. Solve system of linear equations, using matrix method.
x − y + z = 4
2x + y − 3z = 0
x + y + z = 2
Solution

The given system of equations can be written in the form of AX= B, where 

""NCERT-Solutions-Class-12-Mathematics-Chapter-4-Determinants-116

Now, 
|A| = 1(1 + 3) + 1(2 + 3) + 1(2 - 1) = 4 + 5 + 1= 10 ≠ 0 
Thus, A is non - singular. Therefore, its inverse exists. 
Now, 
A11 = 4, A12 = -5, A13 = 1
A21 = 2, A22 = 0 , A23 = -2
A31 = 2, A32 = 5, A33 = 3

""NCERT-Solutions-Class-12-Mathematics-Chapter-4-Determinants-117

13. Solve system of linear equations, using matrix method.
2x + 3y + 3z = 5
x − 2y + z = −4
3x − y − 2z = 3
Solution

The given system of equations can be written in the form AX = B, where 

""NCERT-Solutions-Class-12-Mathematics-Chapter-4-Determinants-114

Now, 
|A| = 2(4 + 1) - 3(-2 - 3) + 3(-1 + 6)
= 2(5) - 3(-5) + 3(5) 
= 10 + 15 + 15
= 40 ≠ 0 
Thus, A is non - singular. Therefore, its inverse exists. 
Now,  
A11 = 5, A12 = 5, A13 = 5
A21 = 3, A22 = -13 , A23 = 11
A31 = 9, A32 = 1, A33 = -7

""NCERT-Solutions-Class-12-Mathematics-Chapter-4-Determinants-115

14. Solve system of linear equations, using matrix method.
x − y + 2z = 7
3x + 4y − 5z = −5
2x − y + 3z = 12
Solution

The given system of equations can be written in the form of AX = B, where 

""NCERT-Solutions-Class-12-Mathematics-Chapter-4-Determinants-112

Now, 
|A| = 1(12 - 5) + 1(9 + 10) + 2(-3 - 8)
= 7 + 19 - 22 
= 4 ≠ 0 
Thus, A is non - singular. Therefore, its inverse exists. 
Now,  
A11 = 7, A12 = -19, A13 = -11
A21 = 1, A22 = -1 , A23 = -1
A31 = -3, A32 = 11, A33 = 7

""NCERT-Solutions-Class-12-Mathematics-Chapter-4-Determinants-113

15. If A = 

""NCERT-Solutions-Class-12-Mathematics-Chapter-4-Determinants-110

find A−1. Using A−1 solve the system of equations
2x – 3y + 5z = 11
3x + 2y – 4z = – 5
x + y – 2z = – 3
Solution

""NCERT-Solutions-Class-12-Mathematics-Chapter-4-Determinants-111

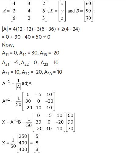
16. The cost of 4 kg onion, 3 kg wheat and 2 kg rice is Rs 60. The cost of 2 kg onion, 4 kg wheat and 6 kg rice is Rs 90. The cost of 6 kg onion 2 kg wheat and 3 kg rice is Rs 70. Find cost of each item per kg by matrix method.
Solution

Let the cost of onions, wheat, and rice per kg be Rs x, Rs y, and Rs z respectively. 
Then, the given situation can be represented by a system of equations as : 
4x +3y + 2z = 60 
2x + 4y + 6z = 90 
6x + 2y + 3z = 70 
This system of equations can be written in the form of AX = B, where 

""NCERT-Solutions-Class-12-Mathematics-Chapter-4-Determinants-109

x = 5, y = 8 and z = 8 
Hence, the cost of onion per kg is Rs. 5, the cost of wheat per kg is Rs.  8 and the cost of rice per kg is Rs. 8.

Miscellaneous Solutions

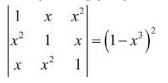
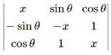
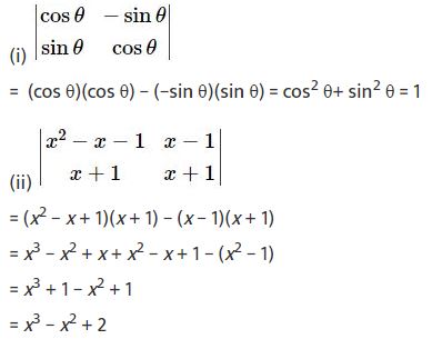
1. Prove that the determinant 

""NCERT-Solutions-Class-12-Mathematics-Chapter-4-Determinants-127

is independent of θ is independent of θ. 
Solution

""NCERT-Solutions-Class-12-Mathematics-Chapter-4-Determinants-128

= x(–x2 – 1) – sinθ(– x sinθ – cos θ) + cos θ(– sinθ + x cosθ)
= –x3 – x + xsin2 θ + sinθ cosθ – sinθ cosθ + x cos2θ
= –x3 – x + x(sin2θ + cos2θ)
= –x3 – x + x
= –x3 (Independent of θ)
Hence, Δ is independent of θ.

2. Without expanding the determinant, prove that

""NCERT-Solutions-Class-12-Mathematics-Chapter-4-Determinants-129

Solution

""NCERT-Solutions-Class-12-Mathematics-Chapter-4-Determinants-130

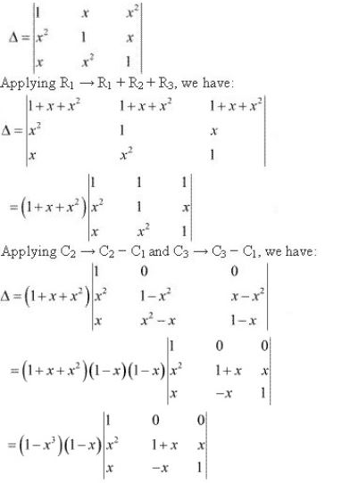
3. Evaluate 

""NCERT-Solutions-Class-12-Mathematics-Chapter-4-Determinants-131

Solution  Δ = 

""NCERT-Solutions-Class-12-Mathematics-Chapter-4-Determinants-132

Expanding along C3 , we have :
∆ = − sin α(−sin α sin2β – cos2 β sinα) + cos α(cos α cos2 β + cos α sin2 β)
= sin2 α(sin2 β + cos2 β) + cos2 α(cos2 β + sin2 β)
= sin2 α(1) + cos2 α(1)
= 1

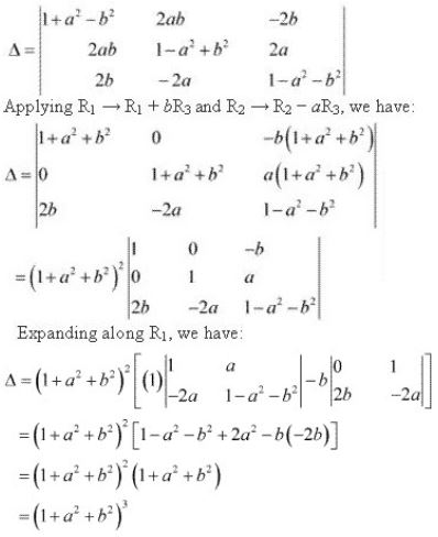
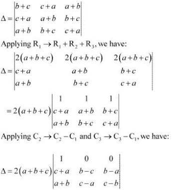
4. If a, b and c are real numbers, and triangle  = 

""NCERT-Solutions-Class-12-Mathematics-Chapter-4-Determinants-133

Show that either a + b + c = 0 or a = b = c. 

Solution

""NCERT-Solutions-Class-12-Mathematics-Chapter-4-Determinants-134

Expanding along R1 , we have : 
Δ = 2 (a + b + c)(1)[(b - c)(c - b) - (b - a)(c - a)] 
= 2(a + b + c)[-b2 - c2 + 2bc - bc + ba + ac - a2 ]
= 2(a + b + c)[ab + bc +  ca - a2  - b2  - c2 ]

It is given that Δ = 0. 
(a + b + c)[ab + bc + ca - a2 - b2 - c2] = 0 
⇒ Either a + b + c = 0, or ab + bc + ca - a2 - b2 - c2 = 0 .
Now,  
ab + bc + ca - a2 - b2 - c2 = 0 
⇒ -2ab - 2bc - 2ca + 2a2 + 2b2 + 2c2  = 0 
⇒ (a - b)2 + (b - c)2 + (c - a)2 = 0 
⇒ (a - b)2 = (b - c)2 = (c - a)2  = 0 [(a-b)2, (b-c)2, (c-a)2 are non-negative] 
⇒ (a - b) = (b - c) = (c - a) = 0 
⇒ a = b = c
Hence, if Δ = 0 then either a + b + c = 0 or a = b = c. 

5. Solve the equations

= 0, a ≠ 0 
Solution

""NCERT-Solutions-Class-12-Mathematics-Chapter-4-Determinants-136

Expanding along R1 , we have : 
(3x + a)[1 × a2 ]= 0 
⇒ a2 (3x + a) = 0 
But a ≠ 0. 
Therefore, we have : 
3x + a = 0 
⇒ x = -a/3 

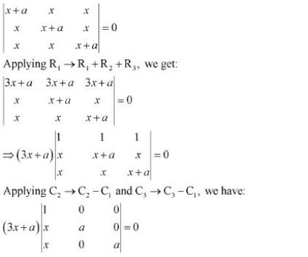
6. Prove that 

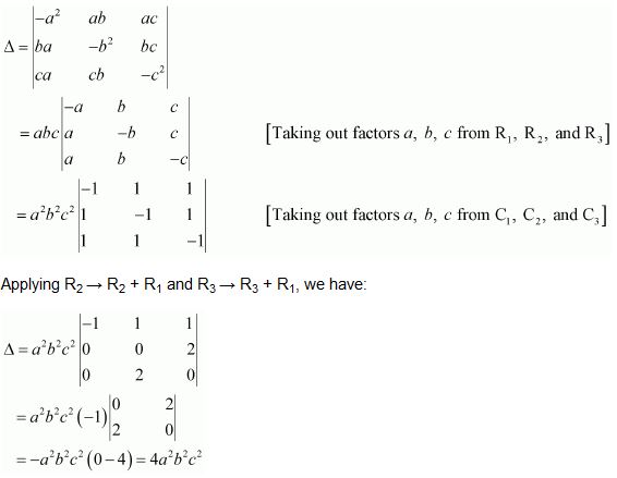
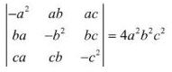
""NCERT-Solutions-Class-12-Mathematics-Chapter-4-Determinants-137

= 4a2 b2 c2 
Solution

""NCERT-Solutions-Class-12-Mathematics-Chapter-4-Determinants-138

Expanding along R3 , we have : 
Δ = 2ab2 c[a(c - a) + a(a + c)]
= 2ab2 c[ac - a2 + a2 + ac]
= 2ab2 c(2ac)
= 4a2 b2 c2 
Hence, the given result is proved.

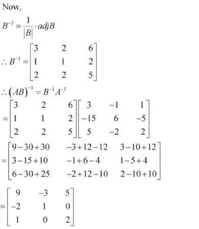
7. If A ^(-1) = 

""NCERT-Solutions-Class-12-Mathematics-Chapter-4-Determinants-139

Solution
We know that (AB)-1 = B-1 A-1 .

""NCERT-Solutions-Class-12-Mathematics-Chapter-4-Determinants-140

""NCERT-Solutions-Class-12-Mathematics-Chapter-4-Determinants-141

8. Let A = 

""NCERT-Solutions-Class-12-Mathematics-Chapter-4-Determinants-142

verify that 
(i) [adj A]-1 = adj(A-1
(ii) (A-1)-1 = A 
Solution

""NCERT-Solutions-Class-12-Mathematics-Chapter-4-Determinants-143

(i) |adj A| = 14(-4 - 9) - 11(-11 - 15) - 5(-33 + 20)
= 14(-13) - 11(-26) - 5(-13) 
= -182 + 286 + 65 = 169 
we have , 

""NCERT-Solutions-Class-12-Mathematics-Chapter-4-Determinants-145

9. Evaluate

""NCERT-Solutions-Class-12-Mathematics-Chapter-4-Determinants-146

Solution

""NCERT-Solutions-Class-12-Mathematics-Chapter-4-Determinants-147

10. Evaluate 

""NCERT-Solutions-Class-12-Mathematics-Chapter-4-Determinants-148

Solution

""NCERT-Solutions-Class-12-Mathematics-Chapter-4-Determinants-149

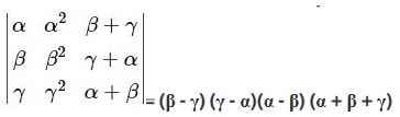
11. Using properties of determinants, prove that : 

""NCERT-Solutions-Class-12-Mathematics-Chapter-4-Determinants-150

Solution

""NCERT-Solutions-Class-12-Mathematics-Chapter-4-Determinants-151

Expanding along R3 , we have : 
Δ =  (β - α) (γ - α)[- (γ - β)( - α - β - γ)]
= (β - α) (γ - α) (γ - β)(α + β + γ)
= (α - β) (β - γ) (γ - α)(α + β + γ)
Hence, the given result is proved. 

12. Using properties of determinants, prove that : 

""NCERT-Solutions-Class-12-Mathematics-Chapter-4-Determinants-152

(1 + pxyz)(x - y)(y - z)(z -x), where p is any scalar. 
Solution

""NCERT-Solutions-Class-12-Mathematics-Chapter-4-Determinants-153

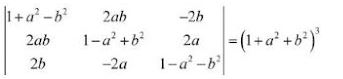
13. Using properties of determinants, prove that :

""NCERT-Solutions-Class-12-Mathematics-Chapter-4-Determinants-154

Solution

""NCERT-Solutions-Class-12-Mathematics-Chapter-4-Determinants-155

Expanding along C1 , we have : 
Δ = (a + b + c) [(2b + a)(2c + a) - (a - b)(a - c)]
= (a + b +c)[4abc + 2ab + 2ac + a2 - a2 + ac + ba - bc]
= (a + b + c)(3ab + 3bc + 3ac)
= 3(a + b + c)(ab + bc + ca)
Hence, the given result is proved. 

14. Using properties of determinants, prove that : 

""NCERT-Solutions-Class-12-Mathematics-Chapter-4-Determinants-156

Solution

""NCERT-Solutions-Class-12-Mathematics-Chapter-4-Determinants-157

15 . Solve the system of the following equations 
2/x + 3/y + 10/z = 4 
4/x - 6/y + 5/z = 1 
6/x + 9/y - 20/x = 2 
Solution

Let 1/x = p, 1/y = q, 1/z = r. 
Then the given system of equations is as follows : 
2p + 3q + 10r = 4 
4p - 6q + 5r = 1 
6p + 9q - 20r = 2 
This system can be written in the form of AX = B, where 

""NCERT-Solutions-Class-12-Mathematics-Chapter-4-Determinants-158

Now, 
|A| = 2(120 - 45) - 3 (-80 - 30) + 10(36 + 36)
= 150 + 330 + 720 
=1200 
Thus, A is non - singular. Therefore, its inverse exists. 
Now, 
A11 = 75, A12 = 110, A13 = 72 
A21 = 150, A22 = -100, A23 = 0 
A31 = 75, A32 = 30, A33 = -24 
∴ A-1 = 1/|A| [adj A]

""NCERT-Solutions-Class-12-Mathematics-Chapter-4-Determinants-159

16. Choose the correct answer. 
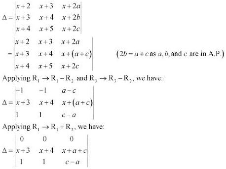
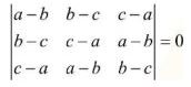
If a, b, c, are in A.P., then the determinant 

""NCERT-Solutions-Class-12-Mathematics-Chapter-4-Determinants-125

A. 0
B. 1 
C. x 
D. 2x 
Solution
 

""NCERT-Solutions-Class-12-Mathematics-Chapter-4-Determinants-126

Here, all the elements of the first row (R1 ) are zero. 
Hence, we have Δ = 0.
The correct answer is A.

18. If x, y, z are nonzero real numbers, then the inverse of matrix A =

""NCERT-Solutions-Class-12-Mathematics-Chapter-4-Determinants-123

Solution

""NCERT-Solutions-Class-12-Mathematics-Chapter-4-Determinants-124

19. Choose the correct answer . 

""NCERT-Solutions-Class-12-Mathematics-Chapter-4-Determinants-121

A. Det (A) = 0
B. Det (A) ∈ (2, ∞)
C. Det (A) ∈ (2, 4)
D. Det (A)∈ [2, 4]
Solution

""NCERT-Solutions-Class-12-Mathematics-Chapter-4-Determinants-122

∴ |A| = 1(1 + sin2 θ) - sinθ( - sinθ + sinθ) + 1 (sin2 θ + 1)
= 1 + sin2 θ + sin2 θ + 1 
= 2 + 2sin2 θ
= 2(1 + sin2 θ) 
Now, 0 ≤ θ ≤ 2π 
⇒ 0 ≤ sinθ  ≤ 1 
⇒ 0 ≤ sin2 θ  ≤ 1 
⇒ 1 ≤ 1 + sin2 θ  ≤ 2
⇒ 2 ≤ 2(1 + sin2 θ)  ≤ 2
∴ Det (A) ∊ [2, 4]
The correct answer is D.

NCERT Solutions Class 12 Mathematics Chapter 4 Determinants

Students can now access the NCERT Solutions for Chapter 4 Determinants prepared by teachers on our website. These solutions cover all questions in exercise in your Class 12 Mathematics textbook. Each answer is updated based on the current academic session as per the latest NCERT syllabus.

Detailed Explanations for Chapter 4 Determinants

Our expert teachers have provided step-by-step explanations for all the difficult questions in the Class 12 Mathematics chapter. Along with the final answers, we have also explained the concept behind it to help you build stronger understanding of each topic. This will be really helpful for Class 12 students who want to understand both theoretical and practical questions. By studying these NCERT Questions and Answers your basic concepts will improve a lot.

Benefits of using Mathematics Class 12 Solved Papers

Using our Mathematics solutions regularly students will be able to improve their logical thinking and problem-solving speed. These Class 12 solutions are a guide for self-study and homework assistance. Along with the chapter-wise solutions, you should also refer to our Revision Notes and Sample Papers for Chapter 4 Determinants to get a complete preparation experience.

Where can I find the latest [current-page:node:field_title] for the 2025-26 session?

The complete and updated is available for free on StudiesToday.com. These solutions for Class 12 Mathematics are as per latest NCERT curriculum.

Are the Mathematics NCERT solutions for Class 12 updated for the new 50% competency-based exam pattern?

Yes, our experts have revised the as per 2026 exam pattern. All textbook exercises have been solved and have added explanation about how the Mathematics concepts are applied in case-study and assertion-reasoning questions.

How do these Class 12 NCERT solutions help in scoring 90% plus marks?

Toppers recommend using NCERT language because NCERT marking schemes are strictly based on textbook definitions. Our will help students to get full marks in the theory paper.

Do you offer [current-page:node:field_title] in multiple languages like Hindi and English?

Yes, we provide bilingual support for Class 12 Mathematics. You can access in both English and Hindi medium.

Is it possible to download the Mathematics NCERT solutions for Class 12 as a PDF?

Yes, you can download the entire in printable PDF format for offline study on any device.