Get the most accurate NCERT Solutions for Class 12 Mathematics Chapter 3 Matrices here. Updated for the 2025-26 academic session, these solutions are based on the latest NCERT textbooks for Class 12 Mathematics. Our expert-created answers for Class 12 Mathematics are available for free download in PDF format.
Detailed Chapter 3 Matrices NCERT Solutions for Class 12 Mathematics
For Class 12 students, solving NCERT textbook questions is the most effective way to build a strong conceptual foundation. Our Class 12 Mathematics solutions follow a detailed, step-by-step approach to ensure you understand the logic behind every answer. Practicing these Chapter 3 Matrices solutions will improve your exam performance.
Class 12 Mathematics Chapter 3 Matrices NCERT Solutions PDF
Exercise 3.1
Find the value of the following:
Question: 1 (i) The order of the matrix,
(ii) The number of elements,
(iii) Write the elements a13, a21, a33, a24, a23.
Answer
(i) In the given matrix, the number of rows is 3 and the number of columns is 4. Therefore, the order of the matrix is 3 × 4.
(ii) Since the order of the matrix is 3 × 4, there are 3 × 4 = 12 elements in it.
(iii) a13 = 19, a21 = 35, a33 = −5, a24 = 12, a23 = 5/2
2. If a matrix has 24 elements, what are the possible orders it can have? What, if it has 13 elements?
Answer
We know that if a matrix is of the order m × n, it has mn elements. Thus, to find all the possible orders of a matrix having 24 elements, we have to find all the ordered pairs of natural numbers whose product is 24.
The ordered pairs are: (1, 24), (24, 1), (2, 12), (12, 2), (3, 8), (8, 3), (4, 6), and (6, 4)
Hence, the possible orders of a matrix having 24 elements are:
1 × 24, 24 × 1, 2 × 12, 12 × 2, 3 × 8, 8 × 3, 4 × 6, and 6 × 4
(1, 13) and (13, 1) are the ordered pairs of natural numbers whose product is 13.
Hence, the possible orders of a matrix having 13 elements are 1 × 13 and 13 × 1.
3. If a matrix has 18 elements, what are the possible orders it can have? What, if it has 5 elements?
Answer
We know that if a matrix is of the order m × n, it has mn elements. Thus, to find all the possible orders of a matrix having 18 elements, we have to find all the ordered pairs of natural numbers whose product is 18.
The ordered pairs are: (1, 18), (18, 1), (2, 9), (9, 2), (3, 6,), and (6, 3)
Hence, the possible orders of a matrix having 18 elements are:
1 × 18, 18 × 1, 2 × 9, 9 × 2, 3 × 6, and 6 × 3
(1, 5) and (5, 1) are the ordered pairs of natural numbers whose product is 5.
Hence, the possible orders of a matrix having 5 elements are 1 × 5 and 5 × 1.
4. Construct a 2 × 2 matrix, A = [aij], whose elements are given by:
Answer
5. Construct a 3 × 4 matrix, whose elements are given by:
(i) aij = 1/2 |-3 + j|
(ii) aij = 2i - j
Answer
(i) aij = 1/2 |-3 + j|
a11 = 1/2|−3 × 1 + 1| = 1/2|−3 + 1| = 1
a12 = 1/2|−3 × 1 + 2| = 1/2|−3 + 2| = 1/2
a13 = 1/2|−3 × 1 + 3| = 1/2|−3 + 3| = 0
a14 = 1/2|−3 × 1 + 4| = 1/2|−3 + 4| = 1/2
a21 = 1/2|−3 × 2 + 1| = 1/2|−6 + 1| = 5/2
a22 = 1/2|−3 × 2 + 2| = 1/2|−6 + 2| = 2
a23 = 1/2|−3 × 2 + 3| = 1/2|−6 + 3| = 3/2
a24 = 1/2|−3 × 2 + 4| = 1/2|−6 + 4| = 1
a31 = 1/2|−3 × 3 + 1| = 1/2|−9 + 1| = 4
a32 = 1/2|−3 × 3 + 2| = 1/2|−9 + 2| = 7/2
a33 = 1/2|−3 × 3 + 3| = 1/2|−9 + 3| = 3
a34 = 1/2|−3 × 3 + 4| = 1/2|−9 + 4| = 5/2
a11 = 2 × 1 − 1 = 2 −1 = 1
a12 = 2 × 1 − 2 = 2 −2 = 0
a13 = 2 × 1 − 3 = 2 −3 = -1
a14 = 2 × 1 − 4 = 2 −4 = -2
a21 = 2 × 2 − 1 = 4 −1 = 3
a22 = 2 × 2 − 2 = 4 −2 = 2
a23 = 2 × 2 − 3 = 4 −3 = 1
a24 = 2 × 2 − 4 = 4 −4 = 0
a31 = 2 × 3 − 1 = 6 −1 = 5
a32 = 2 × 3 − 2 = 6 −2 = 4
a33 = 2 × 3 − 3 = 6 −3 = 3
a34 = 2 × 3 − 4 = 6 −4 = 2
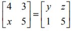
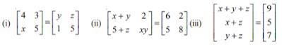
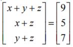
6. Find the values of x, y and z from the following equations:
Answer
(i)
As the given matrices are equal, their corresponding elements are also equal.
Comparing the corresponding elements, we get:
x = 1, y = 4, and z = 3
(ii)
As the given matrices are equal, their corresponding elements are also equal.
Comparing the corresponding elements, we
get: x + y = 6, xy = 8, 5 + z = 5
Now, 5 + z = 5 ⇒ z = 0
we know that:
(x − y)2 = (x + y)2 − 4xy
⇒ (x − y)2 = 36 − 32 = 4
⇒ x − y = ±2
Now, when x − y = 2 and x + y = 6, we get x = 4 and y = 2
When x − y = − 2 and x + y = 6, we get x = 2 and y = 4
∴ x = 4, y = 2, and z = 0 or x = 2, y = 4, and z = 0
(iii)
As the two matrices are equal, their corresponding elements are also equal.
Comparing the corresponding elements, we get:
x + y + z = 9 ... (1)
x + z = 5 ........ (2)
y + z = 7 ........ (3)
From (1) and (2), we have:
y + 5 = 9
⇒ y = 4
Then, from (3), we have:
4 + z = 7
⇒ z = 3
∴ x + z = 5
⇒ x = 2
∴ x = 2, y = 4 and z = 3.
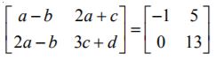
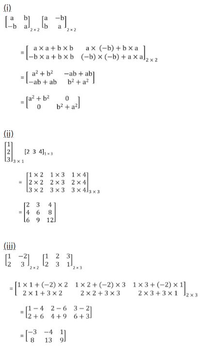
7. Find the value of a, b, c and d from the equation:
Answer
As the two matrices are equal, their corresponding elements are also equal.
Comparing the corresponding elements, we get:
a − b = −1 ...... (1)
2a − b = 0 ...... (2)
2a + c = 5 ....... (3)
3c + d = 13 ..... (4)
From (2), we have:
b = 2a
Then, from (1), we have:
a − 2a = −1 ⇒ a = 1 ⇒ b = 2
Now, from (3), we have:
2 ×1 + c = 5 ⇒ c = 3
From (4) we have:
3 × 3 + d = 13
⇒ 9 + d = 13 ⇒ d = 4
∴ a = 1, b = 2, c = 3 and d = 4.
8. A = [aij]mxn is a square matrix, if
(A) m < n
(B) m > n
(C) m = n
(D) None of these
Answer
The correct answer is C.
It is known that a given matrix is said to be a square matrix if the number of rows is equal to the number of columns.
Therefore, A =[aij]mxn is a square matrix, if m = n
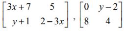
9. Which of the given values of x and y make the following pair of matrices equal
(A) x = -1/3, y = 7
(B) Not possible to find
(C) y = 7, x = -2/3
(D) x = -1/3, y = -2/3
Answer
The correct answer is B.
It is given that,
Equating the corresponding elements, we get:
3x + 7 = 0 ⇒ x = -7/3 and 5 = y − 2 ⇒ y = 7
y + 1 = 8 ⇒ y = 7 and 2 − 3x = 4 ⇒ x = -2/3
We find that on comparing the corresponding elements of the two matrices, we get two different values of x, which is not possible.
Hence, it is not possible to find the values of x and y for which the given matrices are equal.
10. The number of all possible matrices of order 3 × 3 with each entry 0 or 1 is:
(A) 27
(B) 18
(C) 81
(D) 512
Answer
The correct answer is D.
The given matrix of the order 3 × 3 has 9 elements and each of these elements can be either 0 or 1.
Now, each of the 9 elements can be filled in two possible ways.
Therefore, by the multiplication principle, the required number of possible matrices is 29 = 512
Exercise 3.2
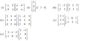
Question: 1
Find each of the following:
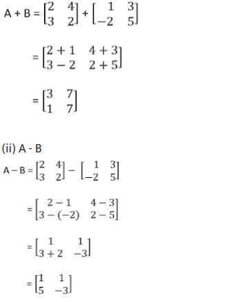
(i) A + B
(ii) A – B
(iii) 3A – C
(iv) AB
(v) BA
Answer
(i) A + B
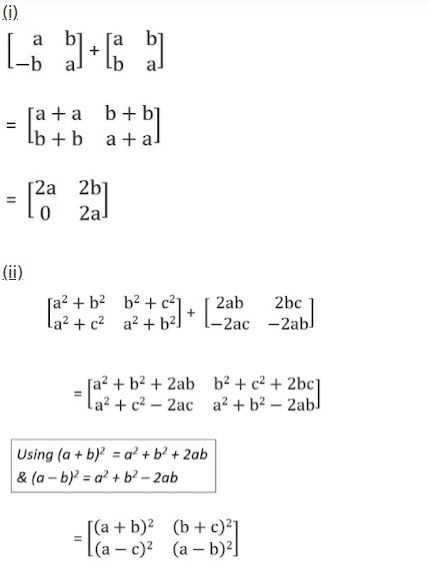
2. Compute the following:
Answer
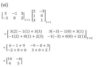
3. Compute the indicated products.
Answer
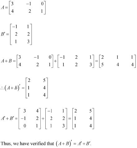
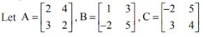
Question: 4
(A+B) and (B – C). Also, verify that A + (B – C) = (A + B) – C.
Answer
Question5. If
Question 6:
Answer
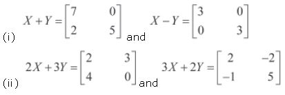
Question 7: Find X and Y, if
Answer
(i)
Question 8: Find X, if
Answer
Question 9: Find x and y, if
Answer
Question 10: Solve the equation for x, y, z and t if
Answer
Question 11:
Answer
Comparing the corresponding elements of these two matrices, we get:
2x − y = 10 and 3x + y = 5
Adding these two equations, we have:
5x = 15
⇒ x = 3
Now, 3x + y = 5
⇒ y = 5 − 3x
⇒ y = 5 − 9 = −4
∴x = 3 and y = −4
Question 12: Given
Answer
Question 13:
Answer
Question 14: Show that
Answer
Question 15: Find
Answer
We have A2 = A × A
Question 16:
Answer
Question 17:
Answer
Comparing the corresponding elements, we have:
3K - 2 = 1
⇒ 3K = 3
⇒ K = 1
Thus, the value of k is 1.
Question 18:
Answer


Question 19: A trust fund has Rs 30,000 that must be invested in two different types of bonds. The first bond pays 5% interest per year, and the second bond pays 7% interest per year. Using matrix multiplication, determine how to divide Rs 30,000 among the two types of bonds. If the trust fund must obtain an annual total interest of:
(a) Rs 1,800 (b) Rs 2,000
Answer
(a) Let Rs x be invested in the first bond. Then, the sum of money invested in the second bond will be Rs (30000 − x).
It is given that the first bond pays 5% interest per year and the second bond pays 7% interest per year.
Therefore, in order to obtain an annual total interest of Rs 1800, we have

Thus, in order to obtain an annual total interest of Rs 1800, the trust fund should invest
Rs 15000 in the first bond and the remaining Rs 15000 in the second bond.
(b) Let Rs x be invested in the first bond. Then, the sum of money invested in the second bond will be Rs (30000 − x).
Therefore, in order to obtain an annual total interest of Rs 2000, we have:

Thus, in order to obtain an annual total interest of Rs 2000, the trust fund should invest Rs 5000 in the first bond and the remaining Rs 25000 in the second bond.
Question20. The bookshop of a particular school has 10 dozen chemistry books, 8 dozen physics books, 10 dozen economics books. Their selling prices are ` 80, ` 60 and ` 40 each respectively. Find the total amount the bookshop will receive from selling all the books using matrix algebra.
Solution :
The bookshop has 10 dozen chemistry books, 8 dozen physics books, and 10 dozen economics books.
The selling prices of a chemistry book, a physics book, and an economics book are respectively given as Rs 80, Rs 60, and Rs 40.
The total amount of money that will be received from the sale of all these books can be represented in the form of a matrix as:
Question21. Assume X, Y, Z, W and P are matrices of order 2 x n,3 x k,2 x p, n x 3 and p x k repectively. The restriction on n,k and p so that PY + WY will be define are:
A. k = 3, p = n
B. k is arbitrary, p = 2
C. p is arbitrary, k = 3
D. k = 2, p = 3
Solution :
Matrices P and Y are of the orders p × k and 3 × k respectively.
Therefore, matrix PY will be defined if k = 3. Consequently, PY will be of the order p × k.
Matrices W and Y are of the orders n × 3 and 3 × k respectively.
Since the number of columns in W is equal to the number of rows in Y, matrix WY is well-defined and is of the order n × k.
Matrices PY and WY can be added only when their orders are the same.
However, PY is of the order p × k and WY is of the order n × k. Therefore, we must have p = n.
Thus, k = 3 and p = n are the restrictions on n, k, and p so that PY + WY will be defined.
Question22. Assume X, Y, Z, W and P are matrices of order 2 x n,3 x k,2 x p, n x 3 and p x k repectively. If n = p then order of matrix 7X – 5Z is:
(A) p × 2
(B) 2 × n
(C) n × 3
(D)p × n
Solution :
Matrix X is of the order 2 × n.
Therefore, matrix 7X is also of the same order.
Matrix Z is of the order 2 × p, i.e., 2 × n [Since n = p]
Therefore, matrix 5Z is also of the same order.
Now, both the matrices 7X and 5Z are of the order 2 × n.
Thus, matrix 7X − 5Z is well-defined and is of the order 2 × n.
Exercise 3.3
Question 1: Find the transpose of each of the following matrices:
Answer
Question 2:
Answer
We have:
Question 3:
(i) It is known that
Therefore, we have:

Question 4:
| NCERT Solutions Class 12 Mathematics Chapter 1 Relations and Functions |
| NCERT Solutions Class 12 Mathematics Chapter 2 Inverse Trigonometric Functions |
| NCERT Solutions Class 12 Mathematics Chapter 3 Matrices |
| NCERT Solutions Class 12 Mathematics Chapter 4 Determinants |
| NCERT Solutions Class 12 Mathematics Chapter 5 Continuity and Differentiability |
| NCERT Solutions Class 12 Mathematics Chapter 6 Application of Derivatives |
| NCERT Solutions Class 12 Mathematics Chapter 7 Integrals |
| NCERT Solutions Class 12 Mathematics Chapter 8 Application of Integrals |
| NCERT Solutions Class 12 Mathematics Chapter 9 Differential Equations |
| NCERT Solutions Class 12 Mathematics Chapter 10 Vector Algebra |
| NCERT Solutions Class 12 Mathematics Chapter 11 Three Dimensional Geometry |
| NCERT Solutions Class 12 Mathematics Chapter 12 Linear Programming |
| NCERT Solutions Class 12 Mathematics Chapter 13 Probability |
Important Practice Resources for Class 12 Mathematics
NCERT Solutions Class 12 Mathematics Chapter 3 Matrices
Students can now access the NCERT Solutions for Chapter 3 Matrices prepared by teachers on our website. These solutions cover all questions in exercise in your Class 12 Mathematics textbook. Each answer is updated based on the current academic session as per the latest NCERT syllabus.
Detailed Explanations for Chapter 3 Matrices
Our expert teachers have provided step-by-step explanations for all the difficult questions in the Class 12 Mathematics chapter. Along with the final answers, we have also explained the concept behind it to help you build stronger understanding of each topic. This will be really helpful for Class 12 students who want to understand both theoretical and practical questions. By studying these NCERT Questions and Answers your basic concepts will improve a lot.
Benefits of using Mathematics Class 12 Solved Papers
Using our Mathematics solutions regularly students will be able to improve their logical thinking and problem-solving speed. These Class 12 solutions are a guide for self-study and homework assistance. Along with the chapter-wise solutions, you should also refer to our Revision Notes and Sample Papers for Chapter 3 Matrices to get a complete preparation experience.
The complete and updated is available for free on StudiesToday.com. These solutions for Class 12 Mathematics are as per latest NCERT curriculum.
Yes, our experts have revised the as per 2026 exam pattern. All textbook exercises have been solved and have added explanation about how the Mathematics concepts are applied in case-study and assertion-reasoning questions.
Toppers recommend using NCERT language because NCERT marking schemes are strictly based on textbook definitions. Our will help students to get full marks in the theory paper.
Yes, we provide bilingual support for Class 12 Mathematics. You can access in both English and Hindi medium.
Yes, you can download the entire in printable PDF format for offline study on any device.