NCERT Solutions Class 11 Mathematics Chapter 5 Complex Numbers and Quadratic Equations

Get the most accurate NCERT Solutions for Class 11 Mathematics Chapter 4 Complex Numbers and Quadratic Equations here. Updated for the 2026-27 academic session, these solutions are based on the latest NCERT textbooks for Class 11 Mathematics. Our expert-created answers for Class 11 Mathematics are available for free download in PDF format.

Detailed Chapter 4 Complex Numbers and Quadratic Equations NCERT Solutions for Class 11 Mathematics

For Class 11 students, solving NCERT textbook questions is the most effective way to build a strong conceptual foundation. Our Class 11 Mathematics solutions follow a detailed, step-by-step approach to ensure you understand the logic behind every answer. Practicing these Chapter 4 Complex Numbers and Quadratic Equations solutions will improve your exam performance.

Class 11 Mathematics Chapter 4 Complex Numbers and Quadratic Equations NCERT Solutions PDF

 

Question. Express the given complex number in the form a + ib: (5i) (-3/5)i 
Answer : 
(5i) (-3/5)i = -5 × (3/5) × i × i
= -3i2
= -3(-1)  [i2 = -1]
= 3

Question. Express the given complex number in the form a + ib : i9 + i19 
Answer : 
 i9 + i19 = i4×2+1 + i4×4+3 
= (i4)2i + (i4)4i3 
= 1×i + 1×(-i)  [i4 = 1, i3 = -i]
= i + (-i)
= 0

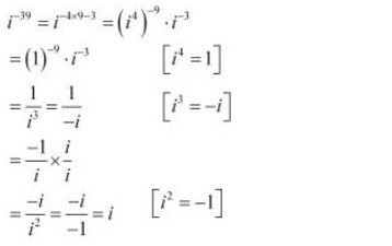
Question. Express the given complex number in the form a +ib : i-39  
Answer : 

""NCERT-Solutions-Class-11-Mathematics-Chapter-5-Complex-Numbers-and-Quadratic-Equations

Question. Express the given complex number in the form a + ib : 3(7 + i7) + i(7 + i7) 
Answer : 
3(7 + i7) + i(7 + i7) = 21 + 21i + 7i + 7i2  
= 21 + 28i + 7 × (-1)  [∵i2  = -1] 
= 14 + 28i 

Question. Express the given complex number in the form a + ib: (1 – i) – (–1 + i6)
Answer : 
(1 - i) - (-1 + i6) = 1 - i + 1 - 6i
= 2 - 7i

 

Question. Express the given complex number in the form a + ib: (1/5 +i 2/5) - (4 + i 5/2) 
Answer : 

""NCERT-Solutions-Class-11-Mathematics-Chapter-5-Complex-Numbers-and-Quadratic-Equations-1

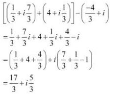
Question. Express the given complex number in the form a + ib: [(1/3 + 7/3) + (4 + i 1/3)] - (-4/3 + i
Answer : 

""NCERT-Solutions-Class-11-Mathematics-Chapter-5-Complex-Numbers-and-Quadratic-Equations-2

8. Express the given complex number in the form a + ib : (1 - )4  
Answer : 

(1 -i)2 = [(1 - i)2]2  

= [12 + i2 + 2i2]2  
= [1 - 1 - 2i]2  
= (-2i)2  
= (-2i)×(-2i)
= 4i2 = -4  [i2  = -1] 

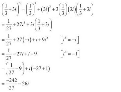
Question. Express the given complex number in the form a + ib : (1/3 + 3i)3  
Answer : 

""NCERT-Solutions-Class-11-Mathematics-Chapter-5-Complex-Numbers-and-Quadratic-Equations-3

Question. Express the given complex number in the form a + ib : [-2 - (1/3)i]3 
Answer : 

""NCERT-Solutions-Class-11-Mathematics-Chapter-5-Complex-Numbers-and-Quadratic-Equations-4

Question. Find the multiplicative inverse of the complex number 4 - 3i 
Answer : 
Let z = 4 - 3i 
Then, z  = 4 + 3i and |z|2 = 42 + (-3)2 = 16 + 9 = 25 
Therefore, the multiplicative inverse of 4 - 3i is given by

""NCERT-Solutions-Class-11-Mathematics-Chapter-5-Complex-Numbers-and-Quadratic-Equations-5

Question. Find the multiplicative inverse of the complex number √5 + 3i 
Answer : 
Let z = √5 + 3i 
Then, z = √5 + 3i and |z|2 = (√5)2 + 32 = 5 + 9= 14 
Therefore, the multiplicative inverse of √5 + 3i is given by 

""NCERT-Solutions-Class-11-Mathematics-Chapter-5-Complex-Numbers-and-Quadratic-Equations-6

Question. Find the multiplicative inverse of the complex number –i
Answer : 
Let z = -i 
Then, z  = i and |z|2 = 12 = 1 
Therefore, the multiplicative inverse of -i is given by 
z-1 = z /|z|2 = i/1 = i 

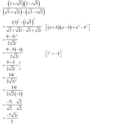
Question. Express the following expression in the form of a + ib. 
[(3 + i√5)(3 - i√5)]/[(√3 + √2i)- (√3 - i√2)]

Answer : 

""NCERT-Solutions-Class-11-Mathematics-Chapter-5-Complex-Numbers-and-Quadratic-Equations-7

Exercise 5.2

Question. Find the modulus and the argument of the complex number z = -1 - i√3 
Answer : 
z = -1- i√3 
Let r cos θ = -1 and r sin θ = -√3 
On squaring and adding, we obtain
(r cos θ)2 + (r sin θ)2 = (-1)2 + (-√3)2 
⇒ r2 (cos2 θ + sin2 θ) = 1 + 3 
⇒  r2 = 4  [cos2 θ + sin2 θ = 1]
⇒ r = √4 = 2  [Conventionally, r > 0]
∴ Modulus = 2 
∴ 2 cos θ = -1 and 2sin θ = - √3 
⇒ cos θ = -1/2  and sin θ = -√3/2 
Since both the values of sin θ and cos θ are negative and sin θ and cos θ are negative in III quadrant, 
Argument = -(π - π/3) = -2π/3 
Thus, the modulus and argument of the complex number -1 - √3 i are 2 and -2π/3 respectively.

Question. Find the modulus and the argument of the complex number z = -√3 + i 
Answer : 
z = -√3 + i 
Let r cos θ = -√3 and r sin θ = 1 
On squaring and adding, we obtain 
r2 cos2 θ + r2 sin2 θ = (-√3)2 + 12 
⇒ r2 = 3 + 1 = 4  [cos2 θ + sin2 θ = 1] 
⇒ r = √4 = 2  [Conventionally, r > 0]
∴ Modulus = 2 
∴ 2 cos θ = -√3 and 2sin θ = 1 
⇒ cosθ = -√3/2 and sinθ = 1/2 
∴ θ = π - π/6 = 5π/6  [As θ lies in the II quadrant] 
Thus, the modulus and argument of the complex number -√3 + i are 2 and 5π/6 respectively.

Question. Convert the given complex number in polar form : 1 - i 
Answer : 
1 - i 
Let r cos θ = 1 and r sin θ = -1 
On squaring and adding, we obtain 
r2 cos2 θ + r2 sin2 θ = 12 + (-1)2 
⇒ r2 (cos2 θ + sin2 θ) = 1 + 1 
⇒ r2 = 2 
⇒ r = √2  [Conventionally, r > 0] 
∴ √2 cos θ = 1 and √2 sin θ = -1 
⇒ cos θ = 1/√2  and sinθ = -1/√2
∴ θ = -π/4  [As θ lies in the IV quadrant] 
∴ 1 - i = r cos θ + i r sinθ = √2 cos (-π/4)  + i√2sin(-π/4) = √2[cos (-π/4) + i sin(-π/4) ] This is the required polar form.

Question. Convert the given complex number in polar form : -1 + i 
Answer : 
-1 + i 
Let r cos θ = -1 and r sin θ = 1 
On squaring and adding, we obtain 
r2 cos2 θ + r2 sin2 θ = (-1)2 + 12 
⇒ r2 (cos2 θ + sin2 θ) = 1 + 1 
⇒ r2 = 2
⇒ r = √2  [Conventionally, r > 0] 
∴ √2 cos θ = -1 and √2sin θ = 1 
⇒ cos θ = -1/√2 and sinθ = 1/√2 
∴ θ = π - π/4 = 3π/4  [As θ lies in the II quadrant] 
It can be written,  
∴ -1 + i = r cos θ + i r sinθ 

""NCERT-Solutions-Class-11-Mathematics-Chapter-5-Complex-Numbers-and-Quadratic-Equations-8

Question. Convert the given complex number in polar form : -1 - i . 
Answer : 
-1-i 
Let r cos θ = -1 and r sin θ = -1 
On squaring and adding, we obtain  
r2 cos2 θ + r2 sin2 θ = (-1)2  + (-1)2 
⇒ r2 (cos2 θ + sin2 θ) = 1 + 1 
⇒ r2 = 2
⇒ r = √2  [Conventionally, r > 0] 
∴ √2 cos θ = -1 and √2sin θ = -1 
⇒ cos θ = -1/√2 and sinθ = -1/√2 
∴ θ = -(π - π/4) = -3π/4  [As θ lies in the III quadrant] 
∴ -1-i = r cos θ + i r sin θ = √2 cos (-3π/4) + i√2 sin(-3π/4) = √2[cos(-3π/4) + i sin(-3π/4)]
This is the required polar form.

Question. Convert the given complex number in polar form: -3 
Answer : 
-3 
Let r cos c = -3 and r sin θ = 0 
On squaring and adding we obtain  
r2 cos2 θ + r2 sin2 θ = (-3)2 
⇒ r2 (cos2 θ + sin2 θ) = 9 
⇒ r2 = 9 
⇒ r = √9 = 3  [Conventionally, r > 0] 
∴ 3 cosθ = -3 and 3 sinθ = 0 
 ⇒ cos θ= -1 and sinθ = 0 
∴ θ = π 
∴ -3 = r cos θ + i r sin θ = 3 cos π + B sinπ = 3(cos π + isin π)
This is the required polar form.

Question. Convert the given complex number in polar form : √3 + i 
Answer : 
√3 + i 
let r cos θ = √3 and r sin θ = 1 
On squaring and adding, we obtain 
r2 cos2 θ + r2 sin2 θ = (√3)2 + 12 
⇒ r2 (cos2 θ + sin2 θ) = 3 + 1 
⇒ r2 = 4 
⇒ r = √4 = 2   [Conventionally, r > 0] 
∴ 2 cosθ = √3 and 2sinθ = 1 
 ⇒ cos θ = √3/2 and sinθ = 1/2
∴ θ = π/6  [As θ lies n the I quadrant] 
∴ √3 + i = r cos θ + i r sinθ = 2 cos (π/6 ) + i 2 sin (π/6) = 2[cos(π/6) + i sin(π/6)]
This is the required polar form.

Question. Convert the given complex number in polar form : i
Answer : 
i
Let r cosθ = 0 and r sin θ = 1
On squaring and adding, we obtain
r2 cos2 θ + r2 sin2 θ = 02 + 12 
⇒ r2 (cos2 θ + sin2 θ) = 1
⇒ r2 = 1
⇒ r = √1 = 1  [Conventionally, r > 0]
∴ cosθ = 0 and sinθ = 1
∴ θ = π/2
∴ i = r cosθ + i r sin θ = cos (π/2) + i sin (π/2) 
This is the required polar form.

Exercise 5.3

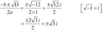
Question. Solve the equation x2 + 3 = 0
Answer : 
The given quadratic equation is x2 + 3 = 0
On comparing the given equation with ax2 + bx + c = 0, we obtain
a = 1, b = 0, and c = 3
Therefore, the discriminant of the given equation is
D = b2 – 4ac = 02 – 4 × 1 × 3 = –12
Therefore, the required solutions are

""NCERT-Solutions-Class-11-Mathematics-Chapter-5-Complex-Numbers-and-Quadratic-Equations-9

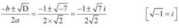
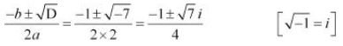
Question. Solve the equation 2x2 + x + 1 = 0
Answer : 
The given quadratic equation is 2x2 + x + 1 = 0
On comparing the given equation with ax2 + bx + c = 0, we obtain
a = 2, b = 1, and c = 1
Therefore, the discriminant of the given equation is
D = b2 – 4ac = 12 – 4 × 2 × 1 = 1 – 8 = –7
Therefore, the required solutions are

""NCERT-Solutions-Class-11-Mathematics-Chapter-5-Complex-Numbers-and-Quadratic-Equations-10

Question. Solve the equation x2 + 3x + 9 = 0 
Answer : 
The given quadratic equation is x2 + 3x + 9 = 0
On comparing the given equation with ax2 + bx + c = 0, we obtain
a = 1, b = 3, and c = 9
Therefore, the discriminant of the given equation is
D = b2 – 4ac = 32 – 4 × 1 × 9 = 9 – 36 = –27
Therefore, the required solutions are

Question. Solve the equation –x2 + x – 2 = 0
Answer : 
The given quadratic equation is –x2 + – 2 = 0
On comparing the given equation with ax2 + bx + c = 0, we obtain
a = –1, b = 1, and c = –2
Therefore, the discriminant of the given equation is
D = b2 – 4ac = 12 – 4 × (–1) × (–2) = 1 – 8 = –7
Therefore, the required solutions are

Question. Solve the equation x2 + 3x + 5 = 0
Answer : 
The given quadratic equation is x2 + 3x + 5 = 0
On comparing the given equation with ax2 + bx + c = 0, we obtain
a = 1, b = 3, and c = 5
Therefore, the discriminant of the given equation is
D = b2 – 4ac = 32 – 4 × 1 × 5 =9 – 20 = –11
Therefore, the required solutions are

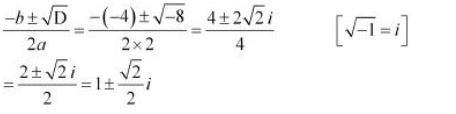
6. Solve the equation x2 – x + 2 = 0
Answer : 
The given quadratic equation is x2 – x + 2 = 0
On comparing the given equation with ax2 + bx + c = 0, we obtain
a = 1, b = –1, and c = 2
Therefore, the discriminant of the given equation is
D = b2 – 4ac = (–1)2 – 4 × 1 × 2 = 1 – 8 = –7
Therefore, the required solutions are

""NCERT-Solutions-Class-11-Mathematics-Chapter-5-Complex-Numbers-and-Quadratic-Equations-15

Question. Solve the equation √2x2 + x + √2 = 0 
Answer : 
The given quadratic equation is √2x2 + x + √2 = 0 
On comparing the given equation with ax2 + bx + c = 0, we obtain  
a = √2, b = 1, and c = √2 
Therefore, the discriminant of the given equation is  
D = b2 - 4ac = 12 - 4 × √2 × √2 = 1 - 8 =-7 
Therefore, the required solution are 

""NCERT-Solutions-Class-11-Mathematics-Chapter-5-Complex-Numbers-and-Quadratic-Equations-14

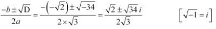
Question. Solve the equation √3x2 - √2x + 3√3 = 0 
Answer : 
The given quadratic equation is √3x2 - √2x + 3√3 = 0
On comparing the given equation with ax2 + bx + c = 0, we obtain 
a = √3, b = -√2, and c = 3√3 
Therefore, the discriminant of the given equation is  
d = b2 - 4ac = (-√2)2 - 4(√3)(3√3) = 2 - 36 = -34 
Therefore, the required solution are  

""NCERT-Solutions-Class-11-Mathematics-Chapter-5-Complex-Numbers-and-Quadratic-Equations-13

Question. Solve the equation x2 + x + 1/√2 = 0 
Answer : 
The given quadratic equation is x2 + x+ 1/√2 = 0 
This equation can also be written as √2x2 + √2x+ 1 = 0 
On comparing this equation  with ax2 + bx + c = 0, we obtain  
a = √2, b = √2, and c = 1 
∴ Discriminant (D) = b2 - 4ac = (√2)2 - 4×√2 ×1 = 2 - 4√2
Therefore, the required solutions are 

""NCERT-Solutions-Class-11-Mathematics-Chapter-5-Complex-Numbers-and-Quadratic-Equations-12

Question. Solve the equation x2 + x/√2 + 1 = 0 
Answer : 
The given quadratic equation is x2 + x/√2 + 1 = 0 
This equation can also be written as √2x2 + x + √2 = 0 
On comparing this equation with ax2 +bx + c = 0, we obtain  
a = √2, b = 1, and c = √2 
∴ Discriminant (D) = b2 - 4ac = 12 - 4×√2×√2 = 1 - 8 = -7
Therefore, the required solutions are  

""NCERT-Solutions-Class-11-Mathematics-Chapter-5-Complex-Numbers-and-Quadratic-Equations-11

Miscellaneous Solutions

Question. Evaluate : [i18 + (1/i)25 ]3 .
Answer : 

""NCERT-Solutions-Class-11-Mathematics-Chapter-5-Complex-Numbers-and-Quadratic-Equations-17

= [-1 - i]3 
= (-1)3 [1 +i]3 
= -[13 + i3 + 3.1.i(1 + i)] 
= -[1 + i3 + 3i + 3i2 ]
= -[1 - i + 3i -3]
= -[-2+2i]
= 2 -2i

Question. For any two complex numbersz1 and z2, prove that
Re (z1z2)= Re zRe z2 – Im z1 Im z2

Answer : 
Let z1 = x1 + iy1 and z2 = x2 + iy2 
∴ z1z2 = (x1 + iy1)(x2 + iy2)
= x1 (x2 + iy2) + iy1 (x2 + iy2
= x1x2 + ix1y2 + iy1x2 + i2 y1y2 
= x1x2 + ix1y2 + iy1x2 + y1y2 [i2 = -1] 
= (x1x2 - y1y2) + i(x1y2 + y1x2
⇒ Re (z1z2) = x1x2 - y1x2 
⇒ Re (z1z2) = Re z1 Re z2 - Im z1 Im z2 
Hence, proved. 

Question. Reduce [(1/(1-4i) - 2/(1 + i)][(3 - 4i)/(5 +i)] to the standard form. 
Answer : 

""NCERT-Solutions-Class-11-Mathematics-Chapter-5-Complex-Numbers-and-Quadratic-Equations-18

Question. If x - iy = √(a - ib)/(c-id) prove that (x2 + y2)2  = (a2 + b2)/(c2 + d2
Answer : 

""NCERT-Solutions-Class-11-Mathematics-Chapter-5-Complex-Numbers-and-Quadratic-Equations-19

""NCERT-Solutions-Class-11-Mathematics-Chapter-5-Complex-Numbers-and-Quadratic-Equations-20

Question. Convert the following in the polar form : 
(i) (1 + 7i)/(2 - i)2 ,
(ii) (1 + 3i)/(1 - 2i) 

Answer : 

""NCERT-Solutions-Class-11-Mathematics-Chapter-5-Complex-Numbers-and-Quadratic-Equations-21

Let r cos θ = –1 and r sin θ = 1
On squaring and adding, we obtain
r2 (cos2 θ + sin2 θ) = 1 + 1
⇒ r2 (cos2 θ + sin2 θ) = 2
⇒ r2 = 2  [cos2 θ + sin2 θ = 1]
⇒ r = √2  [Conventionally, r > 0] 
∴ √2 cosθ = -1 and √2 sinθ = 1 
⇒ cos θ = -1/√2 and sin θ = 1/√2 
∴ θ = π - π/4 = 3π/4   [As θ lies in II quadrant] 
∴ z = r cos θ + i r sin θ 
= √2 cos (3π/4) + i √2sin (3π/4) = √2[ cos(3π/4) + i sin(3π/4) 
This is the required polar form.
(ii) Here, z = (1 + 3i)/(1 - 2i) 

""NCERT-Solutions-Class-11-Mathematics-Chapter-5-Complex-Numbers-and-Quadratic-Equations-22

Let r cos θ = –1 and r sin θ = 1
On squaring and adding, we obtain
r2 (cos2 θ + sin2 θ) = 1 + 1
⇒r2 (cos2 θ + sin2 θ) = 2
⇒ r2 = 2 [cos2 θ + sin2 θ = 1]
⇒ r = √2   [Conventionally, r > 0] 
∴ √2 cosθ = -1 and √2sinθ = 1 
⇒ cos θ = -1/√2 and sinθ = 1/√2
∴ θ = π - π4 = 3π/4  [As θ lies in II quadrant] 
∴ z = r cos θ + i r sin θ 
= √2 cos 3π/4 + i√2 sin3π/4 = √2 [cos (3π/4 + i sin(3π/4)] 
This is the required polar form. 

Question. Solve the equation 3x2 - 4x + 20/3 = 0 
Answer : 
The given quadratic equation is 3x2 - 4x + 20/3 = 0 
This equation can also be written as 9x2 - 12x + 20 = 0 
On comparing this equation with ax2 + bx + c = 0 , we obtain 
a = 9 b = -12 and c = 20 
Therefore, the discriminant of the given equation is 
D = b2 - 4ac = (-12)2 - 4× 9 × 20 = 144 - 720 = -576 
Therefore, the required solutions are 

""NCERT-Solutions-Class-11-Mathematics-Chapter-5-Complex-Numbers-and-Quadratic-Equations-23

Question. Solve the equation x2 - 2x + 3/2 = 0 
Answer : 
The given quadratic equation is x2 - 2x + 3/2 = 0 
This equation can also be written as 2x2 - 4x +3 = 0 
On comparing this equation with ax2 + bx + c = 0 we obtain 
a = 2, b = -4 and c = 3 
Therefore, the discriminant of the given equation is
D = b2 - 4ac = (-4)2 - 4 × 2 × 3 = 16 - 24 = -8 
Therefore, the required solutions are  

""NCERT-Solutions-Class-11-Mathematics-Chapter-5-Complex-Numbers-and-Quadratic-Equations-24

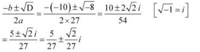
Question. Solve the equation 27x2 - 10x + 1 = 0 
Answer : 
The given quadratic equation is 27x2 - 10x + 1 = 0 
On comparing the given equation with ax2 + bx + c = 0, we obtain 
a = 27, b = -10, and c = 1 
Therefore, the discriminant of the given equation is  
D = b2 - 4ac = (-10)2 - 4 × 27 × 1 = 100 - 108 = -8 
Therefore, the required solutions are  

""NCERT-Solutions-Class-11-Mathematics-Chapter-5-Complex-Numbers-and-Quadratic-Equations-25

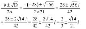
Question. Solve the equation 21x2 - 28x + 10 = 0 
Answer : 
The given quadratic equation is 21x2 - 28x + 10 = 0 
On comparing the given equation with ax2 + bx + c = 0 , we obtain  
a = 21, b = -28 and c = 10 
therefore, the discriminant of the given equation is 
D = b2 - 4ac = (-28)2 - 4×21 ×10 = 784 - 840 = -56 
Therefore, the required solutions are 

""NCERT-Solutions-Class-11-Mathematics-Chapter-5-Complex-Numbers-and-Quadratic-Equations-26

Question. If z1 = 2 – i , z2 = 1+ i , find |(z1 + z2 + 1)/(z1 – z­2 + 1)|
Answer : 

z1 = 2 – I , z2 = 1+ i , 

""NCERT-Solutions-Class-11-Mathematics-Chapter-5-Complex-Numbers-and-Quadratic-Equations-27

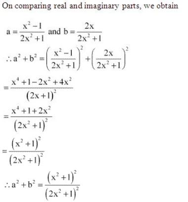
Question. If (a + ib) = (x + 1)2 /(2x2 + 1) , prove that a2 + b2 = (x2 + 1)2 /(2x + 1)2 
Answer : 

""NCERT-Solutions-Class-11-Mathematics-Chapter-5-Complex-Numbers-and-Quadratic-Equations-28

""NCERT-Solutions-Class-11-Mathematics-Chapter-5-Complex-Numbers-and-Quadratic-Equations-29

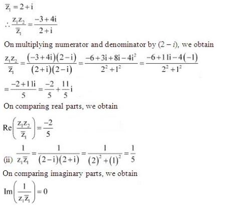
Question. Let z1 = 2 – i , z2 = -2+ i . find
(i) Re(z1 z2 /z1) 
(ii) Im(1/z1 z1)

Answer : 
z1 = 2 – i , z2 = -2+ i
(i) z1 z2 = (2 - i)(-2 + i) = -4 + 2i +2i - i2  = -4 + 4i -(-1) = -3 + 4i 

""NCERT-Solutions-Class-11-Mathematics-Chapter-5-Complex-Numbers-and-Quadratic-Equations-30

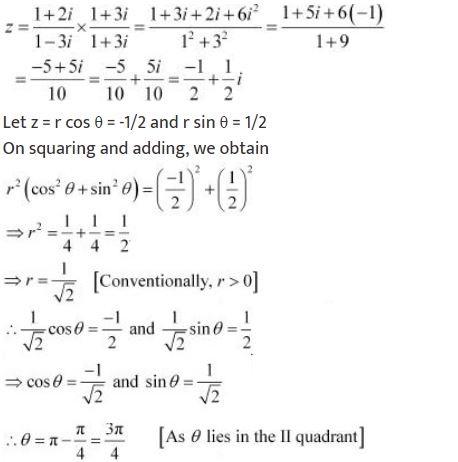
Question. Find the modulus and argument of the complex number (1 + 2i)/(1 - 3i).
Answer : 
Let z = (1 + 2i)/(1 - 3i) , then 

""NCERT-Solutions-Class-11-Mathematics-Chapter-5-Complex-Numbers-and-Quadratic-Equations-31

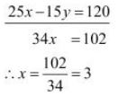
Question. Find the real numbers x and y if (x – iy) (3 + 5i) is the conjugate of –6 – 24i.
Answer : 
Let z = (x - iy)(3 + 5i) 
z = 3x + 5xi - 3yi - 5yi2 = 3x + 5xi - 3yi + 5y = (3x + 5y) + i(5x - 3y) 
∴ z  = (3x + 5y) - i(5x - 3y) 
It is given that ,  z  = -6-24i 
∴ (3x +5y) - i(5x - 3y) = -6 - 24i 
Equating real and imaginary parts, we obtain 
3x + 5y = -6 ...(i) 
5x - 3y = 24 ...(ii) 
Multiplying equation (i) by 3 and equation (ii) by 5 and then adding them, we obtain 

""NCERT-Solutions-Class-11-Mathematics-Chapter-5-Complex-Numbers-and-Quadratic-Equations-32

Putting the value of x in equation (i), we obtain 
3(3) + 5y = -6 
⇒ 5y = -6 - 9 = -15 
⇒ y = -3 
Thus, the values of x and y are 3 and -3  respectively. 

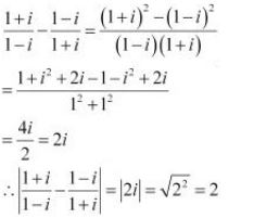
Question. Find the modulus of [(1+i)/(1-i)] -[(1 -i)/(1 +i)].
 
Answer : 

""NCERT-Solutions-Class-11-Mathematics-Chapter-5-Complex-Numbers-and-Quadratic-Equations-33

Question. If α and β are different complex numbers with |β| = 1, then find |(β - α)/(1 - α β)|. 
Answer : 
Let α = a + ib and β = x +iy
It is given that, |β| = 1 
∴ √(x2 + y2 ) = 1 
⇒ x2  + y2  = 1 ...(i)

""NCERT-Solutions-Class-11-Mathematics-Chapter-5-Complex-Numbers-and-Quadratic-Equations-34

Question. Find the number of non-zero integral solutions of the equation |1-i|x  =  2x . 
Answer : 
|1-x|x = 2x 

""NCERT-Solutions-Class-11-Mathematics-Chapter-5-Complex-Numbers-and-Quadratic-Equations-35

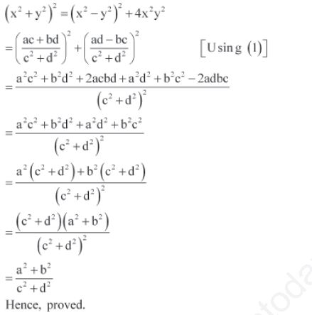
Question. If (a + ib)(c + id)(e + if)(g + ih) = A + iB, then show that 
(a2 + b2)(c2 + d2)(e2 + f2 )(g2 + h2) = A2 + B2

Answer : 
(a + ib)(c + id)(e + if)(g + ih) = A + iB 
∴ |(a + ib)(c + id)(e + if)(g + ih)| = |A + iB| 
⇒ |(a + ib)|× |(c + id)|× |(e + if)| × |(g + ih)| = |A + B|  [|z1 z2| z1||z2|] 



On squaring both sides, we obtain 
(a2 + b2 )(c2 + d2 )(e2 + f2 )(g2 + h2 ) = A2 + B2 . 
Hence, proved. 

 

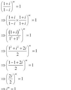
Question. If [(1 +i)/(1 - i)]m = 1, then find the least positive integral value of m. 
Answer : 

""NCERT-Solutions-Class-11-Mathematics-Chapter-5-Complex-Numbers-and-Quadratic-Equations-37

∴ m = 4k, where k is some integer. 
Therefore, the least positive integer is 1. 
Thus, the least positive integral value of m is 4 (= 4× 1).

Chapter 04 Complex Numbers and Quadratic Equations
Chapter 4 Complex Numbers and Quadratic Equations NCERT Solutions

NCERT Solutions Class 11 Mathematics Chapter 4 Complex Numbers and Quadratic Equations

Students can now access the NCERT Solutions for Chapter 4 Complex Numbers and Quadratic Equations prepared by teachers on our website. These solutions cover all questions in exercise in your Class 11 Mathematics textbook. Each answer is updated based on the current academic session as per the latest NCERT syllabus.

Detailed Explanations for Chapter 4 Complex Numbers and Quadratic Equations

Our expert teachers have provided step-by-step explanations for all the difficult questions in the Class 11 Mathematics chapter. Along with the final answers, we have also explained the concept behind it to help you build stronger understanding of each topic. This will be really helpful for Class 11 students who want to understand both theoretical and practical questions. By studying these NCERT Questions and Answers your basic concepts will improve a lot.

Benefits of using Mathematics Class 11 Solved Papers

Using our Mathematics solutions regularly students will be able to improve their logical thinking and problem-solving speed. These Class 11 solutions are a guide for self-study and homework assistance. Along with the chapter-wise solutions, you should also refer to our Revision Notes and Sample Papers for Chapter 4 Complex Numbers and Quadratic Equations to get a complete preparation experience.

FAQs

Where can I find the latest [current-page:node:field_title] for the 2026-27 session?

The complete and updated is available for free on StudiesToday.com. These solutions for Class 11 Mathematics are as per latest NCERT curriculum.

Are the Mathematics NCERT solutions for Class 11 updated for the new 50% competency-based exam pattern?

Yes, our experts have revised the as per 2026 exam pattern. All textbook exercises have been solved and have added explanation about how the Mathematics concepts are applied in case-study and assertion-reasoning questions.

How do these Class 11 NCERT solutions help in scoring 90% plus marks?

Toppers recommend using NCERT language because NCERT marking schemes are strictly based on textbook definitions. Our will help students to get full marks in the theory paper.

Do you offer [current-page:node:field_title] in multiple languages like Hindi and English?

Yes, we provide bilingual support for Class 11 Mathematics. You can access in both English and Hindi medium.

Is it possible to download the Mathematics NCERT solutions for Class 11 as a PDF?

Yes, you can download the entire in printable PDF format for offline study on any device.