NCERT Solutions Class 11 Mathematics Chapter 3 Trigonometric Functions

Get the most accurate NCERT Solutions for Class 11 Mathematics Chapter 3 Trigonometric Functions here. Updated for the 2025-26 academic session, these solutions are based on the latest NCERT textbooks for Class 11 Mathematics. Our expert-created answers for Class 11 Mathematics are available for free download in PDF format.

Detailed Chapter 3 Trigonometric Functions NCERT Solutions for Class 11 Mathematics

For Class 11 students, solving NCERT textbook questions is the most effective way to build a strong conceptual foundation. Our Class 11 Mathematics solutions follow a detailed, step-by-step approach to ensure you understand the logic behind every answer. Practicing these Chapter 3 Trigonometric Functions solutions will improve your exam performance.

Class 11 Mathematics Chapter 3 Trigonometric Functions NCERT Solutions PDF

Exercise 3.1

Question. Find the radian measures corresponding to the following degree measures:
(i) 25°
(ii) –47° 30'
(iii) 240°
(iv) 520°
Answer : 

(i) 25°
We know that 180° = π radian 
∴ 25° = π/180° ×25 radian = 5π/36 radian  

(ii) -47° 30' 
- 47° 30' = -47.5 degree [1° = 60']
= -95/2 degree 
Since, 180° = π radian 

""NCERT-Solutions-Class-11-Mathematics-Chapter-3-Trigonometric-Functions

(iii) 240° 
We know that 180° = π radian
∴ 240° = (π/180) ×240 radian = (4/3)π radian

(iv) 520° 
We know that 180° = π radian
∴ 520° = π/180 ×520 radian = 26π/9 radian

Question. Find the degree measures corresponding to the following radian measures (use π = 22/7). 
(i) 11/16    
(ii) -4
(iii) 5π/3 
(iv) 7π/6 
Answer : 

(i) 11/16

""NCERT-Solutions-Class-11-Mathematics-Chapter-3-Trigonometric-Functions-1

(ii) -4
We know that π radian = 180° 

""NCERT-Solutions-Class-11-Mathematics-Chapter-3-Trigonometric-Functions-2

(iii) 5π/3
We know that π radian = 180° 
∴ 5π/3 radian = 180/π × 5π/3 degree = 300° 

(iv) 7π/6 
We know that π radian = 180° 
∴ 7π/6 radian = 180/π × 7π/6 = 210°

Question. A wheel makes 360 revolutions in one minute. Through how many radians does it turn in one second?
Answer : 

Number of revolutions made by the wheel in 1 minute = 360
∴ Number of revolutions made by the wheel in 1 second = 360/60 = 6
In one complete revolution, the wheel turns an angle of 2π radian.
Hence, in 6 complete revolutions, it will turn an angle of 6 × 2π radian, i.e.,
12 π radian
Thus, in one second, the wheel turns an angle of 12π radian.

Question. Find the degree measure of the angle subtended at the centre of a circle of radius 100 cm by an arc of length 22 cm (use π = 22/7) . 
Answer : 

We know that in a circle of radius r unit, if an arc of length l unit subtends an angle θ radian at the centre, then
θ = 1/r
Therefore, for = 100 cm, l = 22 cm, we have

""NCERT-Solutions-Class-11-Mathematics-Chapter-3-Trigonometric-Functions-3

Question. In a circle of diameter 40 cm, the length of a chord is 20 cm. Find the length of minor arc of the chord.
Answer : 

Diameter of the circle = 40 cm
∴ Radius (r) of the circle = 40/2 cm = 20 cm
Let AB be a chord (length = 20 cm) of the circle.

""NCERT-Solutions-Class-11-Mathematics-Chapter-3-Trigonometric-Functions-4

In ΔOAB, OA = OB = Radius of circle = 20 cm
Also, AB = 20 cm
Thus, ΔOAB is an equilateral triangle.
∴θ = 60° = π/3 radian
We know that in a circle of radius r unit, if an arc of length l unit subtends an angle θ radian at the centre, then θ = l/r. 

""NCERT-Solutions-Class-11-Mathematics-Chapter-3-Trigonometric-Functions-5

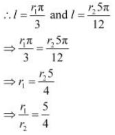
Question. If in two circles, arcs of the same length subtend angles 60° and 75° at the centre, find the ratio of their radii.
Answer : 

Let the radii of the two circles be and . Let an arc of length l subtend an angle of 60° at the centre of the circle of radius r1, while let an arc of length subtend an angle of 75° at the centre of the circle of radius r2.
Now,  60° = π/3 radian and 75° = 5π/12 radian 
We know that in a circle of radius r unit, if an arc of length l unit subtends an angle θ radian at the centre, then θ = 1/r or l = rθ . 

""NCERT-Solutions-Class-11-Mathematics-Chapter-3-Trigonometric-Functions-6

Thus, the ratio of the radii is 5:4.

Question. Find the angle in radian though which a pendulum swings if its length is 75 cm and the tip describes an arc of length
(i) 10 cm 
(ii) 15 cm
(iii) 21 cm
Answer : 

We know that in a circle of radius r unit, if an arc of length l unit subtends an angle θ radian at the centre, then θ = l/r.
It is given that r = 75 cm
(i) Here, l = 10 cm
θ = 10/75 radian = 2/15 radian
(ii) Here, l = 15 cm  
θ = 15/75 radian = 1/5 radian
(iii) Here, l = 21 cm 
θ = 21/75  radian = 7/25 radian

Exercise 3.2

Question. Find the values of other five trigonometric functions in cosx = −1/2 , x lies in third quadrant.
Answer : 
Given:
cosx = −1/2 ,
sec x = 1/cosx
Substituting the values
 =  1/ (-1/2) = -2

""NCERT-Solutions-Class-11-Mathematics-Chapter-3-Trigonometric-Functions-7

Question. Find the values of other five trigonometric functions if sin x = 3/5 x lies in quadrant 
Answer : 

sin x = 3/5 
cosec x = 1/sin x = 1/(3/5) = 5/3 
sin2x + cos2 x = 1 
⇒ cos2 x = 1 - sin2 x 
⇒ cos2 x = 1 - (3/5)2 
⇒ cos2 x = 1 - 9/25 
⇒ cos2 x = 16/25 
⇒ cos x = ± 4/5 
Since x lies in the 2nd quadrant, the value of cos x will be negative 
∴ cos x = -4/5 

""NCERT-Solutions-Class-11-Mathematics-Chapter-3-Trigonometric-Functions-8

Question. Find the values of other five trigonometric functions if cot x = 3/4, x lies in third quadrant.  
Answer : 
cot x = 3/4 
tan = 1/cos x = 1/ (3/4) = 4/3
1 + tan2 x = sec2 x 
⇒ 1 + (4/3)2 = sec2 x 
⇒ 1 + 16/9 = sec2 x 
⇒ 25/9 = sec2 x 
⇒ sec x = ± 5/3 
Since x lies in the 3rd quadrant, the value of sec x will be negative. 
∴ sec x = -5/3 

""NCERT-Solutions-Class-11-Mathematics-Chapter-3-Trigonometric-Functions-31

Question. Find the values of other five trigonometric functions if sec x = 13/5 , x lies in fourth quadrant. 
Answer : 

sec x = 13/5 

""NCERT-Solutions-Class-11-Mathematics-Chapter-3-Trigonometric-Functions-32

Question. Find the values of other five trigonometric functions if tan x = -5/12, x lies in second quadrant. 
Answer : 

tan x = -5/12 
cot x = 1/tan x = 1/(-5/12) = -(12/5)

""NCERT-Solutions-Class-11-Mathematics-Chapter-3-Trigonometric-Functions-33

Question. find the value of the trigonometric function sin 765°. 
Answer : 

It is known that the values of sin repeat after an interval of 2π or 360°.
∴ sin 765° = sin(2×360° + 45°) = sin 45° = 1/√2.

Question. Find the value of the trigonometric function cosec (-1410°) 
Answer : 
It is known that the values of cosec x repeat after an interval of 2π or 360° . 
∴ cosec (-1410°) = cosec (-1410° + 4×360°) 
= cosec (-1410° + 1440°)
= cosec 30° = 2

Question. Find the value of the trigonometric function tan(19π/3) .
Answer : 

It is known that the values of tan x repeat after an interval of π or  180° . 

""NCERT-Solutions-Class-11-Mathematics-Chapter-3-Trigonometric-Functions-34

Question. Find the value of the trigonometric function sin(-11π/3)
Answer : 

It is known that the values of sin x repeat after an interval of 2π or 360° . 

""NCERT-Solutions-Class-11-Mathematics-Chapter-3-Trigonometric-Functions-35

Question. Find the value of the trigonometric function cot(-15π/4) 
Answer : 

It is known that the values of cot x repeat after an interval of π or  180° . 

""NCERT-Solutions-Class-11-Mathematics-Chapter-3-Trigonometric-Functions-36

Exercise 3.3

Question. sin2 (π/6) + cos2 (π/3) – tan2 (π/4) = -1/2 
Answer : 

""NCERT-Solutions-Class-11-Mathematics-Chapter-3-Trigonometric-Functions-37

Question. Prove that 2sin2 (π/6) + cosec2 (7π/6) cos2 (π/3) = 3/2 
Answer : 

""NCERT-Solutions-Class-11-Mathematics-Chapter-3-Trigonometric-Functions-38

Question. Prove that cot2 (π/6) + cosec (5π/6) + 3 tan2 (π/6) = 6 
Answer : 

""NCERT-Solutions-Class-11-Mathematics-Chapter-3-Trigonometric-Functions-39

Question. Prove that 2sin2 (3π/4) + 2cos2 (π/4) + 2sec2 (π/3) = 10 
Answer : 

""NCERT-Solutions-Class-11-Mathematics-Chapter-3-Trigonometric-Functions-40

Question. Find the value of:
(i) sin 75°
(ii) tan 15° 
Answer : 

(i) sin 75° = sin (45° + 30°)
= sin 45° cos 30° + cos 45° sin 30°
[sin (x + y) = sin x cos y + cos x sin y]

""NCERT-Solutions-Class-11-Mathematics-Chapter-3-Trigonometric-Functions-41

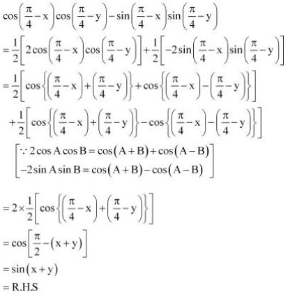
Question. Prove that : cos(π/4 - x) cos (π/4 - y) - sin(π/4 - x) sin(π/4 - y) = sin(x + y) 
Answer : 

""NCERT-Solutions-Class-11-Mathematics-Chapter-3-Trigonometric-Functions-42

Question. Prove that : tan(π/4 + x)/tan(π/4 - x) = [(1+ tan x)/(1 - tan x)2 
Answer : 

""NCERT-Solutions-Class-11-Mathematics-Chapter-3-Trigonometric-Functions-43

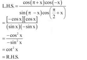
Question. Prove that  [cos(π + x) cos (-x)]/[sin(π - x) cos(π/2 + x)] = cot2 x 
Answer : 

""NCERT-Solutions-Class-11-Mathematics-Chapter-3-Trigonometric-Functions-44

Question. cos(3π/2 + x) cos(2π + x) [cot(3π/2 - x) + cot(2π + x)] = 1
Answer : 

L.H.S = cos(3π/2 + x) cos(2π + x) [cot(3π/2 - x) + cot(2π + x)] 
= sin x cos x[tan x + cot x] 

""NCERT-Solutions-Class-11-Mathematics-Chapter-3-Trigonometric-Functions-45

Question. Prove that sin (n + 1)x sin (n + 2)x + cos (n + 1)x cos (n + 2)x = cos x 
Answer : 

L.H.S. = sin (n + 1)x sin (n + 2)x + cos (n + 1)x cos (n + 2)x 
= (1/2)[2sin(n + 1)x sin(n + 2)x + 2cos(n + 1)x cos(n + 2)x]

""NCERT-Solutions-Class-11-Mathematics-Chapter-3-Trigonometric-Functions-46

Question. Prove that cos(3π/4 + x) - cos(3π/4 - x) = -√2 sin x 
Answer : 

""NCERT-Solutions-Class-11-Mathematics-Chapter-3-Trigonometric-Functions-47

= -2sin(3π/4) sin x
= -2sin(π - π/4) sin x 
= -2 sin (π/4) sin x 
= -2 × 1/√2 × sin x 
= -√2 sin x 
= R.H.S. 

Question. Prove that sin2 6x – sin2 4x = sin 2x sin 10x 
Answer : 

It is known that sin A + sin B = 2 sin (A + B)/2 cos (A - B)/2 , sin A - sin B = 2 cos (A + B)/2 sin (a - B)/2  . 
∴ L.H.S. = sin2 6x - sin2 4x 
= (sin 6x + sin 4x)(sin 6x - sin 4x) = 

""NCERT-Solutions-Class-11-Mathematics-Chapter-3-Trigonometric-Functions-48

= (2 sin 5x cos x) (2 cos 5x sin x)
= (2 sin 5x cos 5x) (2 sin x cos x)
= sin 10x sin 2x
= R.H.S.

Question. Prove that cos2 2x – cos2 6x = sin 4x sin 8x 
Answer : 

It is known that cos A + cos B = [2 cos(A+B)/2][cos(A-B)/2], cos A - cos B = -[2 sin(A+B)/2][sin (A-B)/2].
∴ L.H.S. = cos2 2x – cos2 6x
= (cos 2x + cos 6x) (cos 2– 6x)

""NCERT-Solutions-Class-11-Mathematics-Chapter-3-Trigonometric-Functions-49

= [2 cos 4x cos(-2x)][-2 sin 4x sin(-2x)] 
= [2 cos 4x cos 2x] [–2 sin 4(–sin 2x)]
= (2 sin 4x cos 4x) (2 sin 2x cos 2x)
= sin 8x sin 4x
= R.H.S. 

Question. Prove that sin 2x + 2sin 4x + sin 6x = 4cos2 x sin 4x
Answer : 

L.H.S = sin 2x + 2sin 4x + sin 6x 
= [sin 2x + sin 6x]  + 2sin4x 

""NCERT-Solutions-Class-11-Mathematics-Chapter-3-Trigonometric-Functions-50

[∵ sin A + sin B = 2sin (A + B)/2. cos(A - B)/2]
= 2 sin 4x cos (– 2x) + 2 sin 4x
= 2 sin 4x cos 2x + 2 sin 4x
= 2 sin 4x (cos 2x + 1)
= 2 sin 4x (2 cos2 x – 1 + 1)
= 2 sin 4x (2 cos2 x)
= 4cos2 x sin 4x
= R.H.S.

Question. Prove that cot 4x (sin 5x + sin 3x) = cot x (sin 5x – sin 3x) 
Answer : 

L.H.S = cot 4x (sin 5x + sin 3x)

""NCERT-Solutions-Class-11-Mathematics-Chapter-3-Trigonometric-Functions-51

= (cos x/sin x) [2 cos 4x sin x] 
= 2 cos 4x. cos x
= L.H.S = R.H.S 

Question. Prove that (cos 9x - cos 5x)/(sin 17x - sin 3x) = -sin 2x/cos 10x  
Answer : 

It is known that  
cos A - cos B = -2 sin(A+B)/2 .sin(A-B)/2, sin A - sin B = 2 cos(A+B)/2 .sin(A-B)/2

""NCERT-Solutions-Class-11-Mathematics-Chapter-3-Trigonometric-Functions-52

Question. Prove that (sin 5x + sin 3x)/(cos 5x + cos 3x) = tan 4x 
Answer : 

It is known that 
cos A + cos B = 2cos(A+B)/2 .cos(A-B)/2, sin A + sin B = 2sin(A+B)/2 .cos(A-B)/2 

""NCERT-Solutions-Class-11-Mathematics-Chapter-3-Trigonometric-Functions-53

Question. Prove that (sin x - sin 3x)/(sin2 x - cos2 x) = 2 sin x 
Answer : 

It is known that  
sin A - sin B = 2cos(A+B)/2 .sin (A-B)/2, cos2A - sin2A = cos2A 

""NCERT-Solutions-Class-11-Mathematics-Chapter-3-Trigonometric-Functions-54

Question. Prove that (cos 4x + cos 3x + cos 2x)/(sin 4x + sin 3x + sin 2x) = cot 3x
Answer : 

""NCERT-Solutions-Class-11-Mathematics-Chapter-3-Trigonometric-Functions-55

Question. Prove that cot x cot 2x – cot 2x cot 3x – cot 3x cot x = 1
Answer : 

L.H.S. = cot x cot 2x – cot 2x cot 3x – cot 3x cot x
= cot x cot 2x – cot 3x (cot 2x + cot x)
= cot x cot 2x – cot (2x) (cot 2x + cot x)

""NCERT-Solutions-Class-11-Mathematics-Chapter-3-Trigonometric-Functions-56

Question. Prove that tan 4x = [4 tan x(1 - tan2 x)]/(1 - 6 tan2 x + tan4 x) 
Answer : 

It is known that tan 2A = 2 tan A/(1 - tan2 A
∴ L.H.S = tan 4x = tan 2(2x) 

""NCERT-Solutions-Class-11-Mathematics-Chapter-3-Trigonometric-Functions-57

Question. Prove that cos 4x = 1 – 8sinx cosx
Answer : 

L.H.S. = cos 4x
= cos 2(2x)
= 1 – 2 sin2 2x [cos 2A = 1 – 2 sin2 A]
= 1 – 2(2 sin x cos x)2 [sin2A = 2sin A cosA]
= 1 – 8 sin2x cos2x
= R.H.S.

Question. Prove that: cos 6x = 32 cos6 x – 48 cos4 x + 18 cos2 – 1
Answer : 

L.H.S. = cos 6x 
= cos 3(2x)
= 4 cos3 2x – 3 cos2x [cos 3A = 4 cos3 A – 3 cosA]
= 4 [(2 cos2 x – 1)3 – 3 (2 cos2 x – 1) [cos 2x = 2 cos2 x – 1]
= 4 [(2 cos2 x)3 – (1)3 – 3 (2 cos2 x)2 + 3 (2 cos2 x)] – 6cos2 x + 3
= 4 [8cos6x – 1 – 12 cos4x + 6 cos2x] – 6 cos2x + 3
= 32 cos6x – 4 – 48 cos4x + 24 cos2 x – 6 cos2x + 3
= 32 cos6x – 48 cos4x + 18 cos2x – 1
= R.H.S.

Exercise 3.4

Question. Find the principal and general solutions of the equation tan x = √x 
Answer : 

tan x = √x 
It is known that tan(π/3) = √3 and tan (4π/3) = tan(π + π/3) = tan (π/3) = √3 
Therefore, the principal solutions are x = π/3 and 4π/3. 
Now, tan x = tan (π/3) 
⇒ x = nπ + π/3, where n ∈ Z 
Therefore, the general solution is x = nπ + π/3, where n ∈ Z

Question. Find the principal and general solutions of the equation sec x = 2 
Answer : 

sec x = 2 
It is known that sec(π/3) = 2 and sec(5π/3) = sec(2π - π/3) = sec(π/3) = 2 
Therefore, the principal solutions are x = π/3 and 5π/3. 
Now, sec π = sec(π/3) 
⇒ cos x = cos (π/3)  [sec x = 1/cos x] 
⇒ x = 2nπ ± π/3, where n ∈ Z 
Therefore, the general solution is x = 2nπ ± π/3, where n ∈ Z

Question. Find the principal and general solutions of the equation cot x = -√3 
Answer : 
 
cos x = -√3 
It is known that cot (π/6) = √3

""NCERT-Solutions-Class-11-Mathematics-Chapter-3-Trigonometric-Functions-58

Question. Find the general solution of cosec x = –2
Answer : 

cosec x = -2 
It is known that 
cosec (π/6) = 2 
∴ cosec(π + π/2) = -cosec(π/2) = -2 and cosec(2π - π/6) = -cosec (π/6) = -2 
i.e., cosec (7π/6) = -2 and cosec(11x/6) = -2 
Therefore, the principal solution are x = 7π/6 and 11π/6. 
Now, cosec x = cosec(7π/6) 
⇒ sin x = sin(7π/6)  [cosec x = 1/sin x] 
⇒ x = nπ + (-1)n (7π/6) , where n ∈ Z 
Therefore, the general solution is x = nπ + (-1)n (7π/6) where n ∈ Z.

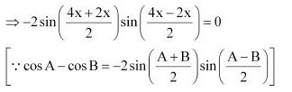
Question. Find the general solution of the equation cos 4x = cos 2x 
Answer : 

cos 4x = cos 2x 
⇒ cos 4x - cos 2x = 0 

""NCERT-Solutions-Class-11-Mathematics-Chapter-3-Trigonometric-Functions-59

⇒ sin 3x sin x = 0 
⇒ sin 3x = 0 or sin x = 0 
∴ 3x = nπ or x = nπ, where n ∈ Z
⇒ x = nπ/3  or x = nπ, where n ∈ Z

Question. Find the general solution of the equation cos 3x + cos x – cos 2x = 0
Answer : 

cos 3x  + cos x - cos 2x = 0 

""NCERT-Solutions-Class-11-Mathematics-Chapter-3-Trigonometric-Functions-60

⇒ 2 cos 2x cos x - cos 2x = 0 
⇒ cos 2x (2 cos x - 1) = 0 
⇒ cos 2x = 0 or 2 cos x - 1 = 0 
⇒ cos 2x = 0 or cos x = 1/2 
∴ 2x = (2n + 1)π/2 or cos x = cos π/3, where n ∈ Z 
⇒ x = (2n + 1)π/4 or x = 2nπ ± π/3, where n ∈ Z

Question. Find the general solution of the equation sin 2x + cos x = 0
Answer : 

sin 2x + cos x = 0 
⇒ 2 sin x cos x + cos x = 0 
⇒ cos x = 0 or  2 sin x + 1 = 0 
Now, cos x = 0
⇒ cos x = (2n+1)π/2, where n ∈ Z 
2 sin x + 1 = 0

""NCERT-Solutions-Class-11-Mathematics-Chapter-3-Trigonometric-Functions-61

Therefore, the general solution is (2n + 1)π/2 or nπ + (-1)n 7π/6, n ∈ Z.

Question. Find the general solution for each of the following equations sec2 2x = 1– tan 2x
Answer : 

sec2 2x = 1– tan 2x 
⇒ 1 + tan2 2x = 1 - tan 2x 
⇒ tan2 2x + tan 2x = 0 
⇒ tan 2x(tan 2x + 1) = 0 
⇒ tan 2x = 0   or tan 2x + 1 = 0 
Now, tan 2x = 0 
⇒ tan 2x = tan 0 
⇒ 2x = nπ + 0 , where n ∈ Z 
⇒ x = nπ/2 , where n ∈ Z 
tan 2x + 1 = 0 
⇒ tan 2x = -1 = -tan(π/4) = tan(π - π/4) = tan(3π/4) 
⇒ 2x = nπ + 3π/4, where n ∈ Z 
⇒ x = nπ/2 + 3π/8, where n ∈ Z 
Therefore, the general solution is nπ/2 or nπ/2 + 3π/8 , n ∈ Z.

Question. Find the general solution of the equation sin x + sin 3x + sin 5x = 0
Answer : 

sin x + sin 3x + sin 5x = 0 
(sin x + sin 5x) + sin 3x = 0 

""NCERT-Solutions-Class-11-Mathematics-Chapter-3-Trigonometric-Functions-62

⇒ 2 sin 3x cos(-2x) + sin 3x  = 0
⇒ 2 sin 3x cos 2x + sin 3x = 0 
⇒ sin 3x(2 cos 2x + 1) = 0 
⇒ sin 3x = 0 or 2 cos 2x + 1 = 0 
Now, sin 3x = 0 ⇒ 3x = nπ , where n ∈ Z 
i.e., x = nπ/3, where n ∈ Z 
i.e., x = nπ/3, where n ∈ Z 
2 cos 2x + 1 = 0 

""NCERT-Solutions-Class-11-Mathematics-Chapter-3-Trigonometric-Functions-63

Question. Find, sin(x/2) cos(x/2) and tan(x/2) for sin x = 1/4 , x in quadrant II 
Answer : 

Here, x is in quadrant II. 
i.e., π/2 < x < π 
⇒ π/4 < x/2 < π/2 
Therefore, sin (x/2), cos (x/2), and tan(x/2) are all positive. 
It is given that sin x = 1/4. 
cos2x = 1 - sin2x  = 1 - (1/4)2 = 1 - 1/16 = 15/16 
⇒ cos x = -√15/4  [cos x is negative in quadrant II] 

""NCERT-Solutions-Class-11-Mathematics-Chapter-3-Trigonometric-Functions-64

""NCERT-Solutions-Class-11-Mathematics-Chapter-3-Trigonometric-Functions-65

NCERT Solutions Class 11 Mathematics Chapter 3 Trigonometric Functions

Students can now access the NCERT Solutions for Chapter 3 Trigonometric Functions prepared by teachers on our website. These solutions cover all questions in exercise in your Class 11 Mathematics textbook. Each answer is updated based on the current academic session as per the latest NCERT syllabus.

Detailed Explanations for Chapter 3 Trigonometric Functions

Our expert teachers have provided step-by-step explanations for all the difficult questions in the Class 11 Mathematics chapter. Along with the final answers, we have also explained the concept behind it to help you build stronger understanding of each topic. This will be really helpful for Class 11 students who want to understand both theoretical and practical questions. By studying these NCERT Questions and Answers your basic concepts will improve a lot.

Benefits of using Mathematics Class 11 Solved Papers

Using our Mathematics solutions regularly students will be able to improve their logical thinking and problem-solving speed. These Class 11 solutions are a guide for self-study and homework assistance. Along with the chapter-wise solutions, you should also refer to our Revision Notes and Sample Papers for Chapter 3 Trigonometric Functions to get a complete preparation experience.

Where can I find the latest [current-page:node:field_title] for the 2025-26 session?

The complete and updated is available for free on StudiesToday.com. These solutions for Class 11 Mathematics are as per latest NCERT curriculum.

Are the Mathematics NCERT solutions for Class 11 updated for the new 50% competency-based exam pattern?

Yes, our experts have revised the as per 2026 exam pattern. All textbook exercises have been solved and have added explanation about how the Mathematics concepts are applied in case-study and assertion-reasoning questions.

How do these Class 11 NCERT solutions help in scoring 90% plus marks?

Toppers recommend using NCERT language because NCERT marking schemes are strictly based on textbook definitions. Our will help students to get full marks in the theory paper.

Do you offer [current-page:node:field_title] in multiple languages like Hindi and English?

Yes, we provide bilingual support for Class 11 Mathematics. You can access in both English and Hindi medium.

Is it possible to download the Mathematics NCERT solutions for Class 11 as a PDF?

Yes, you can download the entire in printable PDF format for offline study on any device.