NCERT Solutions Class 10 Mathematics Chapter 8 Introduction to Trigonometry

Get the most accurate NCERT Solutions for Class 10 Mathematics Chapter 8 Introduction to Trigonometry here. Updated for the 2026-27 academic session, these solutions are based on the latest NCERT textbooks for Class 10 Mathematics. Our expert-created answers for Class 10 Mathematics are available for free download in PDF format.

Detailed Chapter 8 Introduction to Trigonometry NCERT Solutions for Class 10 Mathematics

For Class 10 students, solving NCERT textbook questions is the most effective way to build a strong conceptual foundation. Our Class 10 Mathematics solutions follow a detailed, step-by-step approach to ensure you understand the logic behind every answer. Practicing these Chapter 8 Introduction to Trigonometry solutions will improve your exam performance.

Class 10 Mathematics Chapter 8 Introduction to Trigonometry NCERT Solutions PDF

Exercise 8.1

Q.1) In Δ ABC, right-angled at 𝐵, 𝐴𝐵 = 24 𝑐𝑚, 𝐵𝐶 = 7 𝑐𝑚.
Determine : (i) sin 𝐴 , cos 𝐴 (ii) sin 𝐶 , cos 𝐶
Sol.1) In 𝛥 𝐴𝐵𝐶, ∠𝐵 = 90°
By Applying Pythagoras theorem , we get
𝐴𝐶2 = 𝐴𝐵2 + 𝐵𝐶2
= (24)2 + 72 = (576 + 49)𝑐𝑚2 = 625 𝑐𝑚2
⇒ 𝐴𝐶 = 25
(i) 𝑠𝑖𝑛 𝐴 = 𝐵𝐶/𝐴𝐶 = 7/25
𝑐𝑜𝑠 𝐴 = 𝐴𝐵/𝐴𝐶 = 24/25
(ii) 𝑠𝑖𝑛 𝐶 = 𝐴𝐵/𝐴𝐶 = 24/25
𝑐𝑜𝑠 𝐶 = 𝐵𝐶/𝐴𝐶 = 7/25

Q.2) In Fig. , find 𝑡𝑎𝑛 𝑃 – 𝑐𝑜𝑡 𝑅.
Sol.2) By Applying Pythagoras theorem in 𝛥𝑃𝑄𝑅 , we get
𝑃𝑅2 = 𝑃𝑄2 + 𝑄𝑅2
= (13)2 = (12)2 + 𝑄𝑅2
= 169 = 144 + 𝑄𝑅2
⇒ 𝑄𝑅2 = 25
⇒ 𝑄𝑅 = 5 𝑐𝑚
Now, 𝑡𝑎𝑛 𝑃 = 𝑄𝑅/𝑃𝑄 = 5/12
𝑐𝑜𝑡 𝑅 = 𝑄𝑅/𝑃𝑄 = 5/12
A/q
𝑡𝑎𝑛 𝑃 – 𝑐𝑜𝑡 𝑅 = 5/12 − 5/12 = 0

Q.3) If 𝑠𝑖𝑛 𝐴 = 3/4 , calculate 𝑐𝑜𝑠 𝐴 and 𝑡𝑎𝑛 𝐴.
Sol.3) Let 𝛥𝐴𝐵𝐶 be a right-angled triangle, right-angled at B.
We know that, 𝑠𝑖𝑛 𝐴 = 𝐵𝐶/𝐴𝐶 = 3/4
Let BC be 3k and AC will be 4k where k is a positive real number.
By Pythagoras theorem we get,
𝐴𝐶2 = 𝐴𝐵2 + 𝐵𝐶2
(4𝑘)2 = 𝐴𝐵2 + (3𝑘)2
16𝑘2 − 9𝑘2 = 𝐴𝐵2
𝐴𝐵2 = 7𝑘2
𝐴𝐵 = √7𝑘

""NCERT-Solutions-Class-10-Mathematics-Chapter-8-Introduction-to-Trigonometry-18

Q.4) Given 15 𝑐𝑜𝑡 𝐴 = 8, find 𝑠𝑖𝑛 𝐴 and 𝑠𝑒𝑐 𝐴.
Sol.4) Let ΔABC be a right-angled triangle, right-angled at B.
We know that 𝑐𝑜𝑡 𝐴 = 𝐴𝐵/𝐵𝐶 = 8/15
(Given)
Let 𝐴𝐵 be 8𝑘 and BC will be 15𝑘 where 𝑘 is a positive real number.
By Pythagoras theorem we get,
𝐴𝐶2 = 𝐴𝐵2 + 𝐵𝐶2
𝐴𝐶2 = (8𝑘)2 + (15𝑘)2
𝐴𝐶2 = 64𝑘2 + 225𝑘2
𝐴𝐶2 = 289𝑘2
𝐴𝐶 = 17 𝑘
𝑠𝑖𝑛 𝐴 = 𝐵𝐶/𝐴𝐶 = 15𝑘/17𝑘 = 15/17
𝑠𝑒𝑐 𝐴 = 𝐴𝐶/𝐴𝐵 = 17𝑘/8𝑘 = 17/8

Q.5) Given 𝑠𝑒𝑐 𝜃 = 13/12, calculate all other trigonometric ratios.
Sol.5) Let 𝛥𝐴𝐵𝐶 be a right-angled triangle, right-angled at B.
We know that 𝑠𝑒𝑐 𝜃 = 𝑂𝑃/𝑂𝑀 = 13/12
(Given)
Let 𝑂𝑃 be 13𝑘 and OM will be 12𝑘 where 𝑘 is a positive real number.
By Pythagoras theorem we get,
𝑂𝑃2 = 𝑂𝑀2 + 𝑀𝑃2
(13𝑘)2 = (12𝑘)2 + 𝑀𝑃2
169𝑘2 − 144𝑘2 = 𝑀𝑃2
𝑀𝑃2 = 25𝑘2
𝑀𝑃 = 5

""NCERT-Solutions-Class-10-Mathematics-Chapter-8-Introduction-to-Trigonometry-17

Q.6) If ∠𝐴 and ∠𝐵 are acute angles such that 𝑐𝑜𝑠 𝐴 = 𝑐𝑜𝑠 𝐵, then show that ∠𝐴 = ∠𝐵.
Sol.6) Let 𝛥𝐴𝐵𝐶 in which 𝐶𝐷 ⊥ 𝐴𝐵.
A/q,
𝑐𝑜𝑠 𝐴 = 𝑐𝑜𝑠 𝐵
⇒ 𝐴𝐷/𝐴𝐶 = 𝐵𝐷/𝐵𝐶
⇒ 𝐴𝐷/𝐵𝐷 = 𝐴𝐶/𝐵𝐶
Let 𝐴𝐷/𝐵𝐷 = 𝐴𝐶/𝐵𝐶 = 𝑘
⇒ 𝐴𝐷 = 𝑘𝐵𝐷 .... (i)
⇒ 𝐴𝐶 = 𝑘𝐵𝐶 .... (ii)
By applying Pythagoras theorem in 𝛥𝐶𝐴𝐷 and 𝛥𝐶𝐵𝐷 we get,
𝐶𝐷2 = 𝐴𝐶2 − 𝐴𝐷2        …. (iii)
and also
𝐶𝐷2 = 𝐵𝐶2 − 𝐵𝐷2        …. (iv)
From equations (iii) and (iv) we get,
𝐴𝐶2 − 𝐴𝐷2 = 𝐵𝐶2 − 𝐵𝐷2
⇒ (𝑘𝐵𝐶)2 − (𝑘 𝐵𝐷)2 = 𝐵𝐶2 − 𝐵𝐷2
⇒ 𝑘2 (𝐵𝐶2 − 𝐵𝐷2) = 𝐵𝐶2 − 𝐵𝐷2
⇒ 𝑘2 = 1 ⇒ 𝑘 = 1
Putting this value in equation (ii), we obtain
𝐴𝐶 = 𝐵𝐶
⇒ ∠𝐴 = ∠𝐵 (Angles opposite to equal sides of a triangle are equal-isosceles triangle)

Q.7) If 𝑐𝑜𝑡 𝜃 = 7/8,
evaluate : (i) (1+𝑠𝑖𝑛 𝜃 )(1−𝑠𝑖𝑛 𝜃)/(1+𝑐𝑜𝑠 𝜃)(1−𝑐𝑜𝑠 𝜃)
(ii) cot2 𝜃
Sol.7) Let 𝛥𝐴𝐵𝐶 in which ∠𝐵 = 90𝑜 and ∠𝐶 = 𝜃
A/q,
𝑐𝑜𝑡 𝜃 = 𝐵𝐶/𝐴𝐵 = 7/8
Let 𝐵𝐶 = 7𝑘 and 𝐴𝐵 = 8𝑘, where k is a positive real number.
By Pythagoras theorem in 𝛥𝐴𝐵𝐶 we get.
𝐴𝐶2 = 𝐴𝐵2 + 𝐵𝐶2
𝐴𝐶2 = (8𝑘)2 + (7𝑘)2
𝐴𝐶2 = 64𝑘2 + 49𝑘2
𝐴𝐶2 = 113𝑘2
𝐴𝐶 = √113 𝑘

""NCERT-Solutions-Class-10-Mathematics-Chapter-8-Introduction-to-Trigonometry-16

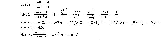
Q.8) If 3 𝑐𝑜𝑡 𝐴 = 4/3, check whether 1−𝑡𝑎𝑛 2𝐴/1+𝑡𝑎𝑛 2𝐴 = cos2 𝐴 – sin2 𝐴 or not
Sol.8) Let 𝛥𝐴𝐵𝐶 in which ∠𝐵 = 90°,
A/q,
𝑐𝑜𝑡 𝐴 = 𝐴𝐵/𝐵𝐶 = 4/3
Let 𝐴𝐵 = 4𝑘 and 𝐵𝐶 = 3𝑘, where 𝑘 is a positive real number.
By Pythagoras theorem in 𝛥𝐴𝐵𝐶 we get.
𝐴𝐶2 = 𝐴𝐵2 + 𝐵𝐶2
𝐴𝐶2 = (4𝑘)2 + (3𝑘)2
𝐴𝐶2 = 16𝑘2 + 9𝑘2
𝐴𝐶2 = 25𝑘2
𝐴𝐶 = 5𝑘
𝑡𝑎𝑛 𝐴 = 𝐵𝐶/𝐴𝐵 = 3/4
𝑠𝑖𝑛 𝐴 = 𝐵𝐶/𝐴𝐶 = 3/5

""NCERT-Solutions-Class-10-Mathematics-Chapter-8-Introduction-to-Trigonometry-15

Q.9) In triangle ABC, right-angled at B, if 𝑡𝑎𝑛 𝐴 = 1/√3 find the value of: (i) 𝑠𝑖𝑛 𝐴 𝑐𝑜𝑠 𝐶 + 𝑐𝑜𝑠 𝐴 𝑠𝑖𝑛 𝐶 (ii) 𝑐𝑜𝑠 𝐴 𝑐𝑜𝑠 𝐶 – 𝑠𝑖𝑛 𝐴 𝑠𝑖𝑛 𝐶
Sol.9) Let 𝛥𝐴𝐵𝐶 in which ∠𝐵 = 90°,
A/q,
𝑡𝑎𝑛 𝐴 = 𝐵𝐶/𝐴𝐵 = 1/√3
Let 𝐴𝐵 = √3 𝑘 and 𝐵𝐶 = 𝑘, where 𝑘 is a positive real number.
By Pythagoras theorem in 𝛥𝐴𝐵𝐶 we get.
𝐴𝐶2 = 𝐴𝐵2 + 𝐵𝐶2
𝐴𝐶2 = (√3𝑘)2 + (𝑘)2
𝐴𝐶2 = 3𝑘2 + 𝑘2
𝐴𝐶2 = 4𝑘2
𝐴𝐶 = 2𝑘

""NCERT-Solutions-Class-10-Mathematics-Chapter-8-Introduction-to-Trigonometry-14

Q.10) In 𝛥 𝑃𝑄𝑅, right-angled at 𝑄, 𝑃𝑅 + 𝑄𝑅 = 25 𝑐𝑚 and 𝑃𝑄 = 5 𝑐𝑚. Determine the values of 𝑠𝑖𝑛 𝑃, 𝑐𝑜𝑠 𝑃 and 𝑡𝑎𝑛 𝑃.
Sol.10) Given that, 𝑃𝑅 + 𝑄𝑅 = 25 , 𝑃𝑄 = 5
Let 𝑃𝑅 be 𝑥.
∴ 𝑄𝑅 = 25 − 𝑥
By Pythagoras theorem ,
𝑃𝑅2 = 𝑃𝑄2 + 𝑄𝑅2
𝑥2 = (5)2 + (25 − 𝑥)2
𝑥2 = 25 + 625 + 𝑥2 − 50𝑥
50𝑥 = 650
𝑥 = 13
∴ 𝑃𝑅 = 13 𝑐𝑚
𝑄𝑅 = (25 − 13) 𝑐𝑚 = 12 𝑐𝑚
𝑠𝑖𝑛 𝑃 = 𝑄𝑅/𝑃𝑅 = 12/13
𝑐𝑜𝑠 𝑃 = 𝑃𝑄/𝑃𝑅 = 5/13
𝑡𝑎𝑛 𝑃 = 𝑄𝑅/𝑃𝑄 = 12/5

Q.11) State whether the following are true or false. Justify your answer.
(i) The value of 𝑡𝑎𝑛 𝐴 is always less than 1.
(ii) 𝑠𝑒𝑐 𝐴 = 12/5 for some value of angle A.
(iii) cos A is the abbreviation used for the cosecant of angle A.
(iv) cot A is the product of cot and A.
(v) 𝑠𝑖𝑛 𝜃 = 4/3 for some angle 𝜃.
Sol.11) (i) False.
In 𝛥𝐴𝐵𝐶 in which ∠𝐵 = 90°, 𝐴𝐵 = 3, 𝐵𝐶 = 4 and 𝐴𝐶 = 5
Value of 𝑡𝑎𝑛 𝐴 = 4/3 which is greater than.
The triangle can be formed with sides equal to 3, 4 and hypotenuse = 5 as it will follow the Pythagoras theorem.
𝐴𝐶2 = 𝐴𝐵2 + 𝐵𝐶2
52 = 32 + 42
25 = 9 + 16
25 = 25
(ii) True.
Let a 𝛥𝐴𝐵𝐶 in which ∠𝐵 = 90°, 𝐴𝐶 be 12𝑘 and 𝐴𝐵 be 5𝑘, where 𝑘 is a positive real number. By Pythagoras theorem we get,
𝐴𝐶2 = 𝐴𝐵2 + 𝐵𝐶2
(12𝑘)2 = (5𝑘)2 + 𝐵𝐶2
𝐵𝐶2 + 25𝑘2 = 144𝑘2
𝐵𝐶2 = 119𝑘2
Such a triangle is possible as it will follow the Pythagoras theorem.
(iii) False
Abbreviation used for cosecant of angle A is 𝑐𝑜𝑠𝑒𝑐 𝐴. 𝑐𝑜𝑠 𝐴 is the abbreviation used for cosine of angle A.
(iv) False.
cot A is not the product of cot and A. It is the cotangent of ∠𝐴.
(v) False.
𝑠𝑖𝑛 𝜃 = 𝐻𝑒𝑖𝑔ℎ𝑡/𝐻𝑦𝑝𝑜𝑡𝑒𝑛𝑢𝑠𝑒
We know that in a right angled triangle, Hypotenuse is the longest side.
∴ 𝑠𝑖𝑛 𝜃 will always less than 1 and it can never be 4/3 for any value of 𝜃.

Exercise 8.2

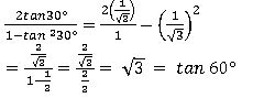
Q.1) Evaluate the following :
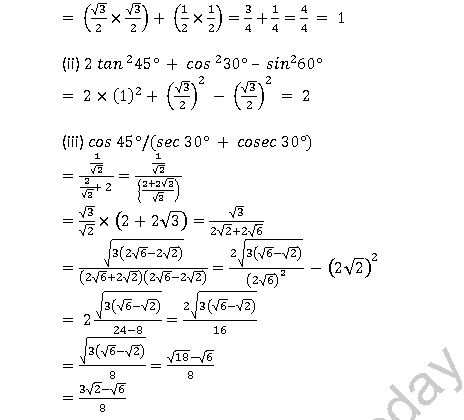
(i) sin 60° cos 30° + sin 30° cos 60°
(ii) 2 tan 245° + cos 230° – sin260°
(iii) cos 45°/(sec 30° + cosec 30°)
(iv) (sin 30° + tan 45° – cosec 60°)/(sec 30° + cos 60° + cot 45°)

(v) (5cos 260° + 4sec 230° - tan 245°)/(sin230° + cos 230°)
Sol.1)
(i) 𝑠𝑖𝑛 60° 𝑐𝑜𝑠 30° + 𝑠𝑖𝑛 30° 𝑐𝑜𝑠 60°

""NCERT-Solutions-Class-10-Mathematics-Chapter-8-Introduction-to-Trigonometry-13

""NCERT-Solutions-Class-10-Mathematics-Chapter-8-Introduction-to-Trigonometry-12

= 67/12

Q.2) Choose the correct option and justify your choice :
(i) 2𝑡𝑎𝑛 30°/1+𝑡𝑎𝑛 230° =
(A) 𝑠𝑖𝑛 60° (B) 𝑐𝑜𝑠 60° (C) 𝑡𝑎𝑛 60° (D) 𝑠𝑖𝑛 30°
(ii) 1−𝑡𝑎𝑛 245°/1+𝑡𝑎𝑛2 45° =
(A) 𝑡𝑎𝑛 90° (B) 1 (C) 𝑠𝑖𝑛 45° (D) 0
(iii) sin2 𝐴 = 2 𝑠𝑖𝑛 𝐴 is true when A =
(A) 0° (B) 30° (C) 45° (D) 60°
(iv) 2𝑡𝑎𝑛30°/1−𝑡𝑎𝑛 230° =
(A) 𝑐𝑜𝑠 60° (B) 𝑠𝑖𝑛 60° (C) 𝑡𝑎𝑛 60° (D) 𝑠𝑖𝑛 30°
Sol.2) (i) (A) is correct.

""NCERT-Solutions-Class-10-Mathematics-Chapter-8-Introduction-to-Trigonometry-11

(iii) (A) is correct.
sin2 𝐴 = 2 𝑠𝑖𝑛 𝐴 is true when A =
= As sin2 𝐴 = 𝑠𝑖𝑛 0° = 0
2 𝑠𝑖𝑛 𝐴 = 2𝑠𝑖𝑛 0° = 2 × 0 = 0
or, sin2 𝐴 = 2𝑠𝑖𝑛 𝐴 𝑐𝑜𝑠 𝐴
⇒ 2𝑠𝑖𝑛 𝐴 𝑐𝑜𝑠 𝐴 = 2 𝑠𝑖𝑛 𝐴
⇒ 2𝑐𝑜𝑠 𝐴 = 2
⇒ 𝑐𝑜𝑠 𝐴 = 1
⇒ 𝐴 = 0°
(iv) (C) is correct.

""NCERT-Solutions-Class-10-Mathematics-Chapter-8-Introduction-to-Trigonometry-10

Q.3) If 𝑡𝑎𝑛 (𝐴 + 𝐵) = √3 and 𝑡𝑎𝑛 (𝐴 – 𝐵) = 1/√3 ; 0° < 𝐴 + 𝐵 ≤ 90°; 𝐴 > 𝐵, find A and B.
Sol.3) 𝑡𝑎𝑛 (𝐴 + 𝐵) = √3
⇒ 𝑡𝑎𝑛 (𝐴 + 𝐵) = 𝑡𝑎𝑛 60°
⇒ (𝐴 + 𝐵) = 60° ... (i)
𝑡𝑎𝑛 (𝐴 – 𝐵) = 1/√3
⇒ 𝑡𝑎𝑛 (𝐴 − 𝐵) = 𝑡𝑎𝑛 30°
⇒ (𝐴 − 𝐵) = 30° ... (ii)
Adding (i) and (ii), we get
𝐴 + 𝐵 + 𝐴 − 𝐵 = 60° + 30°
2𝐴 = 90°
𝐴 = 45°
Putting the value of A in equation (i)
45° + 𝐵 = 60°
⇒ 𝐵 = 60° − 45°
⇒ 𝐵 = 15°
Thus, 𝐴 = 45° and 𝐵 = 15°

Q.5) State whether the following are true or false. Justify your answer.
(i) 𝑠𝑖𝑛 (𝐴 + 𝐵) = 𝑠𝑖𝑛 𝐴 + 𝑠𝑖𝑛 𝐵.
(ii) The value of 𝑠𝑖𝑛 𝜃 increases as 𝜃 increases.
(iii) The value of 𝑐𝑜𝑠 𝜃 increases as 𝜃 increases.
(iv) 𝑠𝑖𝑛 𝜃 = 𝑐𝑜𝑠 𝜃 for all values of 𝜃.
(v) 𝑐𝑜𝑡 𝐴 is not defined for 𝐴 = 0°.
Sol.5) (i) False.
Let 𝐴 = 30° 𝑎𝑛𝑑 𝐵 = 60°, then
𝑠𝑖𝑛 (𝐴 + 𝐵) = 𝑠𝑖𝑛 (30° + 60°) = 𝑠𝑖𝑛 90° = 1 and,
𝑠𝑖𝑛 𝐴 + 𝑠𝑖𝑛 𝐵 = 𝑠𝑖𝑛 30° + 𝑠𝑖𝑛 60° = 1/2 + √3/2 = 1 + √3/2

(ii) True.
𝑠𝑖𝑛 0° = 0
𝑠𝑖𝑛 30° = 1/2
𝑠𝑖𝑛 45° = 1/√2
𝑠𝑖𝑛 60° = √3/2
𝑠𝑖𝑛 90° = 1
Thus the value of sin θ increases as θ increases.

(iii) False.
𝑐𝑜𝑠 0° = 1
𝑐𝑜𝑠 30° = √3/2
𝑐𝑜𝑠 45° = 1/√2
𝑐𝑜𝑠 60° = 1/2
𝑐𝑜𝑠 90° = 0
Thus the value of cos θ decreases as θ increases.

(iv) True. 
𝑐𝑜𝑡 𝐴 = 𝑐𝑜𝑠 𝐴/sin 𝐴
𝑐𝑜𝑡 0° = 𝑐𝑜𝑠 0°/𝑠𝑖𝑛 0° = 1/0 = undefined.

Exercise 8.3

Q.1) Evaluate : (i) 𝑠𝑖𝑛 18°/𝑐𝑜𝑠 72°
(ii) 𝑡𝑎𝑛 26°/𝑐𝑜𝑡 64°
(iii) 𝑐𝑜𝑠 48° – 𝑠𝑖𝑛 42°
(iv) 𝑐𝑜𝑠𝑒𝑐 31° – 𝑠𝑒𝑐 59°
Sol.1)

""NCERT-Solutions-Class-10-Mathematics-Chapter-8-Introduction-to-Trigonometry-9

(iii) 𝑐𝑜𝑠 48° − 𝑠𝑖𝑛 42°
= 𝑐𝑜𝑠 (90° − 42°) − 𝑠𝑖𝑛 42°
= 𝑠𝑖𝑛 42° − 𝑠𝑖𝑛 42° = 0
(iv) 𝑐𝑜𝑠𝑒𝑐 31° − 𝑠𝑒𝑐 59°
= 𝑐𝑜𝑠𝑒𝑐 (90° − 59°) − 𝑠𝑒𝑐 59°
= 𝑠𝑒𝑐 59° − 𝑠𝑒𝑐 59° = 0

Q.2) Show that :
(i) 𝑡𝑎𝑛 48° 𝑡𝑎𝑛 23° 𝑡𝑎𝑛 42° 𝑡𝑎𝑛 67° = 1
(ii) 𝑐𝑜𝑠 38° 𝑐𝑜𝑠 52° – 𝑠𝑖𝑛 38° 𝑠𝑖𝑛 52° = 0
Sol.2) (i) 𝑡𝑎𝑛 48° 𝑡𝑎𝑛 23° 𝑡𝑎𝑛 42° 𝑡𝑎𝑛 67°
= 𝑡𝑎𝑛 (90° − 42°) 𝑡𝑎𝑛 (90° − 67°) 𝑡𝑎𝑛 42° 𝑡𝑎𝑛 67°
= 𝑐𝑜𝑡 42° 𝑐𝑜𝑡 67° 𝑡𝑎𝑛 42° 𝑡𝑎𝑛 67°
= (𝑐𝑜𝑡 42° 𝑡𝑎𝑛 42°) (𝑐𝑜𝑡 67° 𝑡𝑎𝑛 67°) = 1 × 1 = 1
(ii) 𝑐𝑜𝑠 38° 𝑐𝑜𝑠 52° − 𝑠𝑖𝑛 38° 𝑠𝑖𝑛 52°
= 𝑐𝑜𝑠 (90° − 52°) 𝑐𝑜𝑠 (90° − 38°) − 𝑠𝑖𝑛 38° 𝑠𝑖𝑛 52°
= 𝑠𝑖𝑛 52° 𝑠𝑖𝑛 38° − 𝑠𝑖𝑛 38° 𝑠𝑖𝑛 52° = 0

Q.3) If 𝑡𝑎𝑛 2𝐴 = 𝑐𝑜𝑡 (𝐴 – 18°), where 2𝐴 is an acute angle, find the value of A.
Sol.3) A/q,
𝑡𝑎𝑛 2𝐴 = 𝑐𝑜𝑡 (𝐴 − 18°)
⇒ 𝑐𝑜𝑡 (90° − 2𝐴) = 𝑐𝑜𝑡 (𝐴 − 18°)
Equating angles,
⇒ 90° − 2𝐴 = 𝐴 − 18°
⇒ 108° = 3𝐴
⇒ 𝐴 = 36°

Q.4) If 𝑡𝑎𝑛 𝐴 = 𝑐𝑜𝑡 𝐵, prove that 𝐴 + 𝐵 = 90°.
Sol.4) A/q,
𝑡𝑎𝑛 2𝐴 = 𝑐𝑜𝑡 (𝐴 − 18°)
⇒ 𝑐𝑜𝑡 (90° − 2𝐴) = 𝑐𝑜𝑡 (𝐴 − 18°)
Equating angles,
⇒ 90° − 2𝐴 = 𝐴 − 18°
⇒ 108° = 3𝐴
⇒ 𝐴 = 36°

Q.5) If sec 4A = cosec (A – 20°), where 4𝐴 is an acute angle, find the value of 𝐴.
Sol.5) A/q,
𝑠𝑒𝑐 4𝐴 = 𝑐𝑜𝑠𝑒𝑐 (𝐴 − 20°)
⇒ 𝑐𝑜𝑠𝑒𝑐 (90° − 4𝐴) = 𝑐𝑜𝑠𝑒𝑐 (𝐴 − 20°)
Equating angles, 90° − 4𝐴 = 𝐴 − 20°
⇒ 110° = 5𝐴
⇒ 𝐴 = 22°

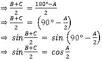
Q.6) If A, B and C are interior angles of a triangle ABC, then show that 𝑠𝑖𝑛 (𝐵 + 𝐶/2) = 𝑐𝑜𝑠 𝐴/2
Sol.6) In a triangle, sum of all the interior angles
𝐴 + 𝐵 + 𝐶 = 180°
⇒ 𝐵 + 𝐶 = 180° − 𝐴

""NCERT-Solutions-Class-10-Mathematics-Chapter-8-Introduction-to-Trigonometry-8

Q.7) Express 𝑠𝑖𝑛 67° + 𝑐𝑜𝑠 75° 𝑖n terms of trigonometric ratios of angles between 0° and 45°.
Sol.7) 𝑠𝑖𝑛 67° + 𝑐𝑜𝑠 75°
= 𝑠𝑖𝑛 (90° − 23°) + 𝑐𝑜𝑠 (90° − 15°)
= 𝑐𝑜𝑠 23° + 𝑠𝑖𝑛 15°

Exercise 8.4

Q.1) Express the trigonometric ratios 𝑠𝑖𝑛 𝐴, 𝑠𝑒𝑐 𝐴 and 𝑡𝑎𝑛 𝐴 in terms of 𝑐𝑜𝑡 𝐴.
Sol.1) 𝑐𝑜𝑠𝑒𝑐2𝐴 − cot2 𝐴 = 1
⇒ 𝑐𝑜𝑠𝑒𝑐2 𝐴 = 1 + cot2 𝐴

""NCERT-Solutions-Class-10-Mathematics-Chapter-8-Introduction-to-Trigonometry-7

Q.2) Write all the other trigonometric ratios of ∠𝐴 in terms of 𝑠𝑒𝑐 𝐴
Sol.2)
We know that,
𝑠𝑒𝑐 𝐴 = 1/cos 𝐴
⇒ 𝑐𝑜𝑠 𝐴 = 1/sec 𝐴
also, cos2 𝐴 + sin2 𝐴 = 1
⇒ sin2 𝐴 = 1 − 𝑐𝑜𝑠2𝐴

""NCERT-Solutions-Class-10-Mathematics-Chapter-8-Introduction-to-Trigonometry-6

(ii) 𝑠𝑖𝑛 25° 𝑐𝑜𝑠 65° + 𝑐𝑜𝑠 25° 𝑠𝑖𝑛 65°
= 𝑠𝑖𝑛(90° − 25°) 𝑐𝑜𝑠 65° + 𝑐𝑜𝑠(90° − 65°) 𝑠𝑖𝑛 65°
= 𝑐𝑜𝑠 65° 𝑐𝑜𝑠 65° + 𝑠𝑖𝑛 65° 𝑠𝑖𝑛 65°
= 𝑐𝑜𝑠 265° + 𝑠𝑖n265° = 1

Q.4) Choose the correct option. Justify your choice.
(i) 9 sec2 𝐴 − 9 𝑡𝑎𝑛 2𝐴 =
(A) 1 (B) 9 (C) 8 (D) 0
(ii) (1 + 𝑡𝑎𝑛 𝜃 + 𝑠𝑒𝑐 𝜃) (1 + 𝑐𝑜𝑡 𝜃 − 𝑐𝑜𝑠𝑒𝑐 𝜃)
(A) 0 (B) 1 (C) 2 (D) - 1
(iii) (𝑠𝑒𝑐𝐴 + 𝑡𝑎𝑛𝐴) (1 − 𝑠𝑖𝑛𝐴) =
(A) sec 𝐴 (B) sin 𝐴 (C) 𝑐𝑜𝑠𝑒𝑐 𝐴 (D) 𝑐𝑜𝑠 𝐴
(iv) 1+tan2 𝐴/1+cot2 𝐴 =
(A) 𝑠𝑒c2𝐴 (B) -1 (C) 𝑐𝑜t2𝐴 (D) 𝑡𝑎n2𝐴
Sol.4) (i) (B) is correct.
9 sec2 𝐴 − 9 tan2 𝐴
= 9 (sec2 𝐴 − tan2 𝐴)
= 9 × 1 = 9 (∵ sec2 𝐴 − tan2 𝐴 = 1)
(ii) (C) is correct
(1 + 𝑡𝑎𝑛 𝜃 + 𝑠𝑒𝑐 𝜃) (1 + 𝑐𝑜𝑡 𝜃 − 𝑐𝑜𝑠𝑒𝑐 𝜃)

""NCERT-Solutions-Class-10-Mathematics-Chapter-8-Introduction-to-Trigonometry-5

""NCERT-Solutions-Class-10-Mathematics-Chapter-8-Introduction-to-Trigonometry-4

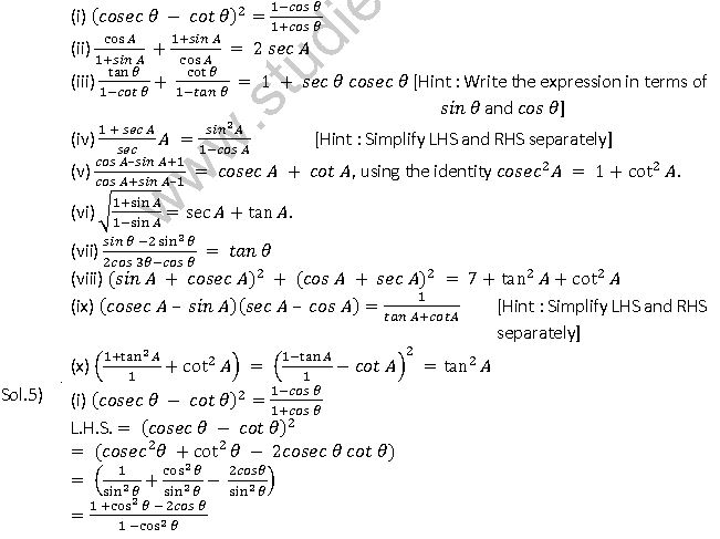
Q.5) Prove the following identities, where the angles involved are acute angles for which the expressions are defined.

""NCERT-Solutions-Class-10-Mathematics-Chapter-8-Introduction-to-Trigonometry-3

""NCERT-Solutions-Class-10-Mathematics-Chapter-8-Introduction-to-Trigonometry-2

""NCERT-Solutions-Class-10-Mathematics-Chapter-8-Introduction-to-Trigonometry-1

L.H.S. = (𝑐𝑜𝑠 𝐴– 𝑠𝑖𝑛 𝐴 + 1)/(𝑐𝑜𝑠 𝐴 + 𝑠𝑖𝑛 𝐴– 1)
Dividing Numerator and Denominator by sin A,
= (𝑐𝑜𝑠 𝐴– 𝑠𝑖𝑛 𝐴 + 1)/𝑠𝑖𝑛 𝐴/(𝑐𝑜𝑠 𝐴 + 𝑠𝑖𝑛 𝐴– 1)/𝑠𝑖𝑛 𝐴
= (𝑐𝑜𝑡 𝐴 − 1 + 𝑐𝑜𝑠𝑒𝑐 𝐴)/(𝑐𝑜𝑡 𝐴 + 1 – 𝑐𝑜𝑠𝑒𝑐 𝐴)
= (𝑐𝑜𝑡 𝐴 − 𝑐𝑜𝑠𝑒𝑐2𝐴 + cot2 𝐴 + 𝑐𝑜𝑠𝑒𝑐 𝐴)/(𝑐𝑜𝑡 𝐴 + 1 – 𝑐𝑜𝑠𝑒𝑐 𝐴)
(using 𝑐𝑜𝑠𝑒𝑐2𝐴 − cot2 𝐴 = 1)
= [(𝑐𝑜𝑡 𝐴 + 𝑐𝑜𝑠𝑒𝑐 𝐴) − (𝑐𝑜𝑠𝑒𝑐2𝐴 − cot2 𝐴)]/(𝑐𝑜𝑡 𝐴 + 1 – 𝑐𝑜𝑠𝑒𝑐 𝐴)
= [(𝑐𝑜𝑡 𝐴 + 𝑐𝑜𝑠𝑒𝑐 𝐴) − (𝑐𝑜𝑠𝑒𝑐 𝐴 + 𝑐𝑜𝑡 𝐴)(𝑐𝑜𝑠𝑒𝑐 𝐴 − 𝑐𝑜𝑡 𝐴)]/(1 – 𝑐𝑜𝑠𝑒𝑐 𝐴 + 𝑐𝑜𝑡 𝐴)
= (𝑐𝑜𝑡 𝐴 + 𝑐𝑜𝑠𝑒𝑐 𝐴)(1 – 𝑐𝑜𝑠𝑒𝑐 𝐴 + 𝑐𝑜𝑡 𝐴)/(1 – 𝑐𝑜𝑠𝑒𝑐 𝐴 + 𝑐𝑜𝑡 𝐴)
= 𝑐𝑜𝑡 𝐴 + 𝑐𝑜𝑠𝑒𝑐 𝐴 = R.H.S.

""NCERT-Solutions-Class-10-Mathematics-Chapter-8-Introduction-to-Trigonometry

NCERT Solutions Class 10 Mathematics Chapter 8 Introduction to Trigonometry

Students can now access the NCERT Solutions for Chapter 8 Introduction to Trigonometry prepared by teachers on our website. These solutions cover all questions in exercise in your Class 10 Mathematics textbook. Each answer is updated based on the current academic session as per the latest NCERT syllabus.

Detailed Explanations for Chapter 8 Introduction to Trigonometry

Our expert teachers have provided step-by-step explanations for all the difficult questions in the Class 10 Mathematics chapter. Along with the final answers, we have also explained the concept behind it to help you build stronger understanding of each topic. This will be really helpful for Class 10 students who want to understand both theoretical and practical questions. By studying these NCERT Questions and Answers your basic concepts will improve a lot.

Benefits of using Mathematics Class 10 Solved Papers

Using our Mathematics solutions regularly students will be able to improve their logical thinking and problem-solving speed. These Class 10 solutions are a guide for self-study and homework assistance. Along with the chapter-wise solutions, you should also refer to our Revision Notes and Sample Papers for Chapter 8 Introduction to Trigonometry to get a complete preparation experience.

Where can I find the latest [current-page:node:field_title] for the 2026-27 session?

The complete and updated is available for free on StudiesToday.com. These solutions for Class 10 Mathematics are as per latest NCERT curriculum.

Are the Mathematics NCERT solutions for Class 10 updated for the new 50% competency-based exam pattern?

Yes, our experts have revised the as per 2026 exam pattern. All textbook exercises have been solved and have added explanation about how the Mathematics concepts are applied in case-study and assertion-reasoning questions.

How do these Class 10 NCERT solutions help in scoring 90% plus marks?

Toppers recommend using NCERT language because NCERT marking schemes are strictly based on textbook definitions. Our will help students to get full marks in the theory paper.

Do you offer [current-page:node:field_title] in multiple languages like Hindi and English?

Yes, we provide bilingual support for Class 10 Mathematics. You can access in both English and Hindi medium.

Is it possible to download the Mathematics NCERT solutions for Class 10 as a PDF?

Yes, you can download the entire in printable PDF format for offline study on any device.